Fluxes and spectral indices of rare and abundant nuclei of cosmic rays according to the data of the NUCLEON satellite experiment
- Authors: Kudryashov I.A.1, Turundaevskiy A.N.1, Karmanov D.E.1, Kovalev I.M.1, Kurganov A.A.1, Panov A.D.1, Podorozhny D.M.1
-
Affiliations:
- Lomonosov Moscow State University, Skobeltsyn Institute of Nuclear Physics
- Issue: Vol 87, No 7 (2023)
- Pages: 927-930
- Section: Articles
- URL: https://journal-vniispk.ru/0367-6765/article/view/135421
- DOI: https://doi.org/10.31857/S0367676523701612
- EDN: https://elibrary.ru/ONDZKB
- ID: 135421
Cite item
Full Text
Abstract
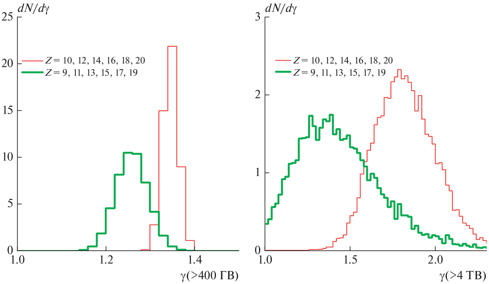
During the processing of the data obtained in the space experiment NUCLEON, results were obtained that were of significant astrophysical importance. Using the GALPROP package, the inverse problem of the propagation of cosmic rays from the source (close Supernovae) to the observer was solved, a component spectrum was calculated at the source. It was shown that a systematic change in the power index (slope of the spectrum) was observed at the source, which can be interpreted as incomplete ionization of cosmic rays now of acceleration at the front of the supernova shock wave. Magnetic rigidity spectra analysis was applied for nitrogen nuclei fluxes and the total spectrum of rare nuclei with odd charges from 9 to 19 (F, Na, Al, P, Cl, K). Ratios of odd and even nuclei fluxes are calculated. It turned out that the spectrum of rare, odd nuclei is more rigid than the spectrum of abundant even nuclei (Z = 10–20) at the magnetic rigidity area 300–10 000 GV.
About the authors
I. A. Kudryashov
Lomonosov Moscow State University, Skobeltsyn Institute of Nuclear Physics
Author for correspondence.
Email: ilya.kudryashov.85@gmail.com
Russia, 119991, Moscow
A. N. Turundaevskiy
Lomonosov Moscow State University, Skobeltsyn Institute of Nuclear Physics
Email: ilya.kudryashov.85@gmail.com
Russia, 119991, Moscow
D. E. Karmanov
Lomonosov Moscow State University, Skobeltsyn Institute of Nuclear Physics
Email: ilya.kudryashov.85@gmail.com
Russia, 119991, Moscow
I. M. Kovalev
Lomonosov Moscow State University, Skobeltsyn Institute of Nuclear Physics
Email: ilya.kudryashov.85@gmail.com
Russia, 119991, Moscow
A. A. Kurganov
Lomonosov Moscow State University, Skobeltsyn Institute of Nuclear Physics
Email: ilya.kudryashov.85@gmail.com
Russia, 119991, Moscow
A. D. Panov
Lomonosov Moscow State University, Skobeltsyn Institute of Nuclear Physics
Email: ilya.kudryashov.85@gmail.com
Russia, 119991, Moscow
D. M. Podorozhny
Lomonosov Moscow State University, Skobeltsyn Institute of Nuclear Physics
Email: ilya.kudryashov.85@gmail.com
Russia, 119991, Moscow
References
- https://galprop.stanford.edu.
- https://www.helmod.org/index.php.
- Турундаевский А.Н., Васильев О.А., Карманов Д.Е. и др. // Изв. РАН. Сер. физ. 2021. Т. 85. № 4. С. 478; Turundaevskiy A.N., Vasiliev O.A., Karmanov D.E. et al. // Bull. Russ. Acad. Sci. Phys. 2021. V. 85. No. 4. P. 353.
- Аткин Э.В., Булатов В.Л., Васильев О.А. и др. // Изв. РАН. Сер. физ. 2019. Т. 83. № 8. С. 1077; Atkin E.V., Bulatov V.L., Vasiliev O.A. et al. // Bull. Russ. Acad. Sci. Phys. 2019. V. 83. No. 8. P. 977.
- Панов А.Д., Аткин Э.В., Булатов В.Л. и др. // Изв. РАН. Сер. физ. 2019. Т. 83. № 8. С. 1080; Panov A.D., Atkin E.V., Bulatov V.L. et al. // Bull. Russ. Acad. Sci. Phys. 2019. V. 83. No. 8. P. 980.
- Панов А.Д., Зацепин В.И., Сокольская Н.В. // Изв. РАН. Сер. физ. 2015. Т. 79. № 3. С. 318; Panov A.D., Zatsepin V.I., Sokolskaya N.V. // Bull. Russ. Acad. Sci. Phys. 2015. V. 79. No. 3. P. 285.
- Кудряшов И.А., Ковалев И.М., Курганов А.А. и др. // Изв. РАН. Сер. физ. 2021. Т. 85. № 4. С. 508; Kudryashov I.A., Kovalev I.M., Kurganov A.A. et al. // Bull. Russ. Acad. Sci. Phys. 2021. V. 85. No. 4. P. 379.
- Ptuskin V., Strelnikova O., Sveshnikova L. // Proc. 31st ICRC (Łodz, 2009). P. 593.
- Boschini M.J., Della Torre S., Gervasi M. et al. // Astrophys. J. 2018. V. 858. P. 61.
- Ohira Y., Ioka K. // Astrophys. J. Lett. 2011. V. 729. P. L13.
- Ohira Y., Kawanaka N., Ioka K. // Phys. Rev. D. 2016. V. 93. Art. No. 083001.
- Malkov M.A. // Phys. Rev. E. 1998. V. 58. P. 4911.
Supplementary files







