Similarity and distinctions of 58, 60Ni photodisintegration processes
- Authors: Varlamov V.V.1, Davydov A.I.2, Orlin V.N.1
-
Affiliations:
- Lomonosov Moscow State University, Skobeltsyn Institute of Nuclear Physics
- Lomonosov Moscow State University, Physics Faculty
- Issue: Vol 87, No 8 (2023)
- Pages: 1166-1175
- Section: Articles
- URL: https://journal-vniispk.ru/0367-6765/article/view/135468
- DOI: https://doi.org/10.31857/S0367676523702101
- EDN: https://elibrary.ru/ZCRHPE
- ID: 135468
Cite item
Full Text
Abstract
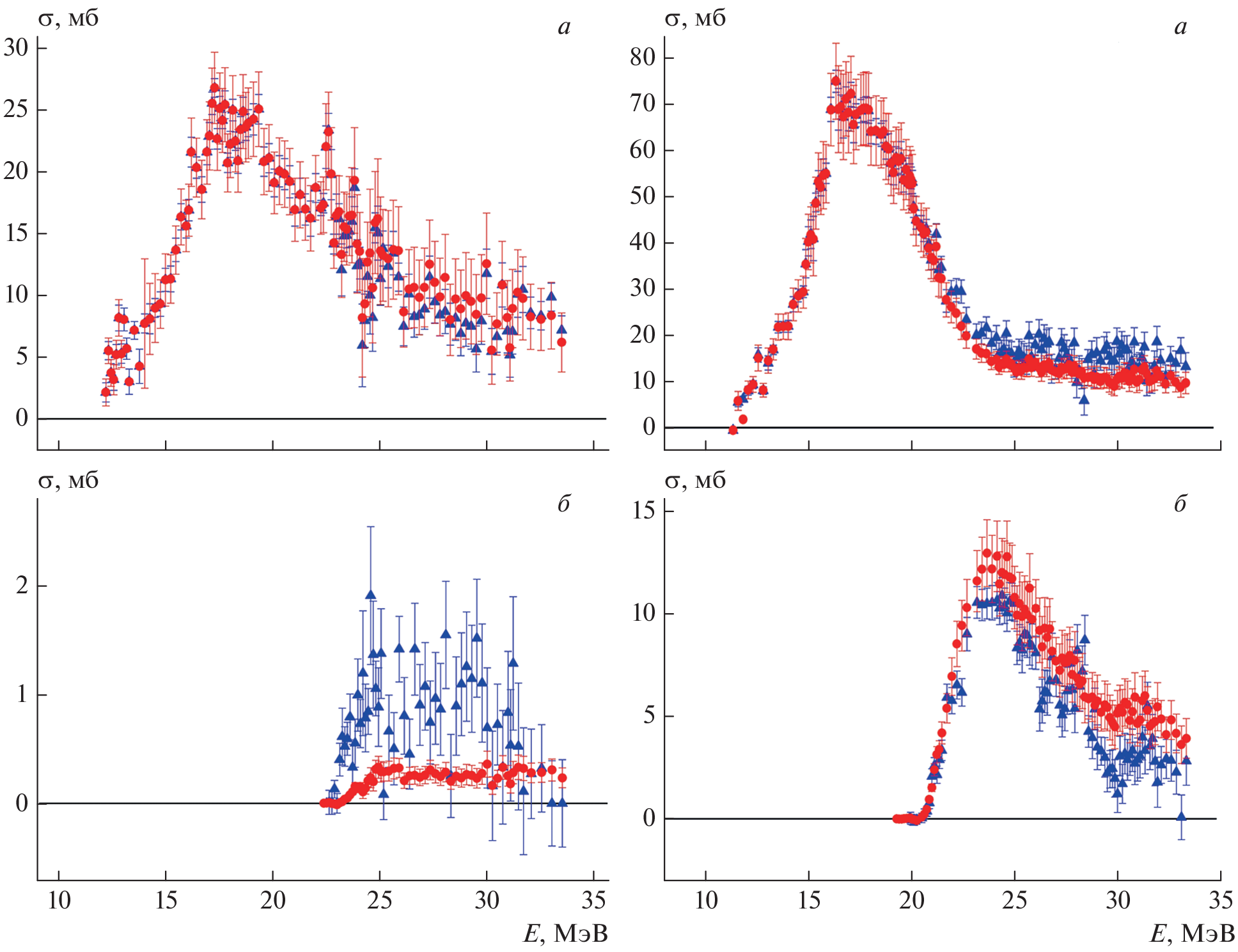
Reliability of (γ, 1n) and (γ, 2n) reactions cross sections for 58, 60Ni obtained in experiments carried out on the beams of bremsstrahlung and quasimonoenergetic annihilation photons was investigated using objective physical criteria. It was found that data of the first type experiment do not satisfy those criteria and definitely are not reliable. At the same time there are serious doubts in reliability of the data obtained in the second type experiment. New partial photoneutron reaction cross sections on 58, 60Ni satisfying physical criteria of data reliability were used for analysis of characteristics of both isotope photodisintegration processes. It was obtained that for neighboring (differ in two neutrons) isotopes because of various type systematic uncertainties there are significant disagreements between evaluated and experimental cross sections of various reactions which for isotopes 58Ni and 60Ni are of significant different character. It was shown that the reasons are not only the differences in energy thresholds and absolute values of cross sections of the (γ, 1n), (γ, 1n1p) and (γ, 2n) reactions on 58Ni and 60Ni but significant differences in specific features of neighboring isotopes shell structure also.
About the authors
V. V. Varlamov
Lomonosov Moscow State University, Skobeltsyn Institute of Nuclear Physics
Author for correspondence.
Email: Varlamov@depni.sinp.msu.ru
Russia, 119991, Moscow
A. I. Davydov
Lomonosov Moscow State University, Physics Faculty
Email: Varlamov@depni.sinp.msu.ru
Russia, 119991, Moscow
V. N. Orlin
Lomonosov Moscow State University, Skobeltsyn Institute of Nuclear Physics
Email: Varlamov@depni.sinp.msu.ru
Russia, 119991, Moscow
References
- Min K., White T.A. // Phys. Rev. Lett. 1968. V. 21. P. 1200.
- Owen D.G., Muirhead E.G., Spicer B.M. // Nucl. Phys. 1970. V. A 140. P. 523.
- Горячев Б.И., Ишханов Б.С., Капитонов И.М. и др. // Письма в ЖЭТФ. 1968. Т. 8. С. 76.
- Горячев Б.И., Ишханов Б.С., Капитонов И.М. и др. // ЯФ. 1970. Т. 11. С. 252; Goryachev B.I., Ishkhanov B.S., Kapitonov I.M. et al. // Sov. J. Nucl. Phys. 1970. V. 11. P. 141.
- Ишханов Б.С., Капитонов И.М., Пискарев И.М. и др. // ЯФ. 1970. Т. 11. С. 485; Ishkhanov B.S., Kapitonov I.M., Piskarev I.M. et al. // Sov. J. Nucl. Phys. 1970. V. 11. P. 272.
- Fultz S.C., Alvarez R.A., Berman B.L., Meyer P. // Phys. Rev. 1974. V. 10. P. 608.
- Ишханов Б.С., Орлин В.Н. // ЯФ. 2008. Т. 71. С. 517; Ishkhanov B.S., Orlin V.N. // Phys. Atom. Nucl. 2008. V. 71. P. 493.
- Blatt J.M., Weisskopf V.F. Theoretical nuclear physics. N.Y.: John Wiley & Sons Inc., 1952.
- Варламов В.В., Давыдов А.И., Орлин В.Н. // ЯФ. 2022. Т. 85. № 4. С. 237; Varlamov V.V., Davydov A.I., Orlin V.N. // Phys. Atom. Nucl. 2022. V. 85. No. 4. P. 316.
- Варламов В.В., Давыдов А.И., Орлин В.Н. // ЯФ. 2022. Т. 85. № 5. С. 316; Varlamov V.V., Davydov A.I., Orlin V.N. // Phys. Atom. Nucl. 2022. V. 85. No. 5. P. 411.
- Варламов В.В., Ишханов Б.С., Орлин В.Н., Четверткова В.А. // Изв. РАН. Сер. физ. 2010. Т. 74. С. 875; Varlamov V.V., Ishkhanov B.S., Orlin V.N., Chetvertkova V.A. // Bull. Russ. Acad. Sci. Phys. 2010. V. 74. P. 833.
- Варламов В.В., Ишханов Б.С., Орлин В.Н., Трощиев С.Ю. // Изв. РАН. Сер. физ. 2010. Т. 74. С. 884; Varlamov V.V., Ishkhanov B.S., Orlin V.N., Troshchiev S.Yu. // Bull. Russ. Acad. Sci. Phys. 2010. V. 74. P. 842.
- Tzara C. // Compt. Rend. Acad. Sci. 1957. V. 245. P. 56.
- Miller J., Schuhl C., Tzara C. // Nucl. Phys. 1962. V. 32. P. 236.
- Варламов В.В., Давыдов А.И. // ЯФ. 2021. Т. 84. С. 370; Varlamov V.V., Davydov A.I. // Phys. Atom. Nucl. 2021. V. 84. P. 603.
- Варламов В.В., Давыдов А.И., Ишханов Б.С. // ЯФ. 2019. Т. 82. С. 16; Varlamov V.V., Davydov A.I., Ishkhanov B.S. // Phys. Atom. Nucl. 2019. V. 82. P. 13.
- Varlamov V.V., Davydov A.I., Ishkhanov B.S., Orlin V.N. // Eur. Phys. J. A. 2018. V. 54. P. 74.
- Varlamov V.V., Davydov A.I., Ishkhanov B.S. // Eur. Phys. J. A. 2017. V. 53. P. 180.
- Варламов В.В., Ишханов Б.С., Орлин В.Н. // ЯФ. 2017. Т. 80. № 6. С. 632; Varlamov V.V., Ishkhanov B.S., Orlin V.N. // Phys. Atom. Nucl. 2017. V. 80. No. 6. P. 1106.
- Варламов В.В., Орлин В.Н., Песков Н.Н. // Изв. РАН. Сер. физ. 2017. Т. 81. № 6. С. 744; Varlamov V.V., Orlin V.N., Peskov N.N. // Bull. Russ. Acad. Sci. Phys. 2017. V. 81. No. 6. P. 670.
- Варламов В.В., Давыдов А.И., Орлин В.Н. // ЯФ. 2021. Т. 84. № 4. С. 278; Varlamov V.V., Davydov A.I., Orlin V.N. // Phys. Atom. Nucl. 2021. V. 84. No. 4. P. 389.
- Koning A.J., Delaroche J.P. // Nucl. Phys. A. 2003. V. 713. P. 231.
- Weizsacker C.F. // Zeitsch. Phys. 1935. V. 96. P. 431.
Supplementary files






