New local magic nucleus 146Gd
- Autores: Boboshin I.N.1
-
Afiliações:
- Lomonosov Moscow State University, Skobeltsyn Institute of Nuclear Physics
- Edição: Volume 87, Nº 8 (2023)
- Páginas: 1186-1190
- Seção: Articles
- URL: https://journal-vniispk.ru/0367-6765/article/view/135470
- DOI: https://doi.org/10.31857/S0367676523702125
- EDN: https://elibrary.ru/ZCTRQK
- ID: 135470
Citar
Texto integral
Resumo
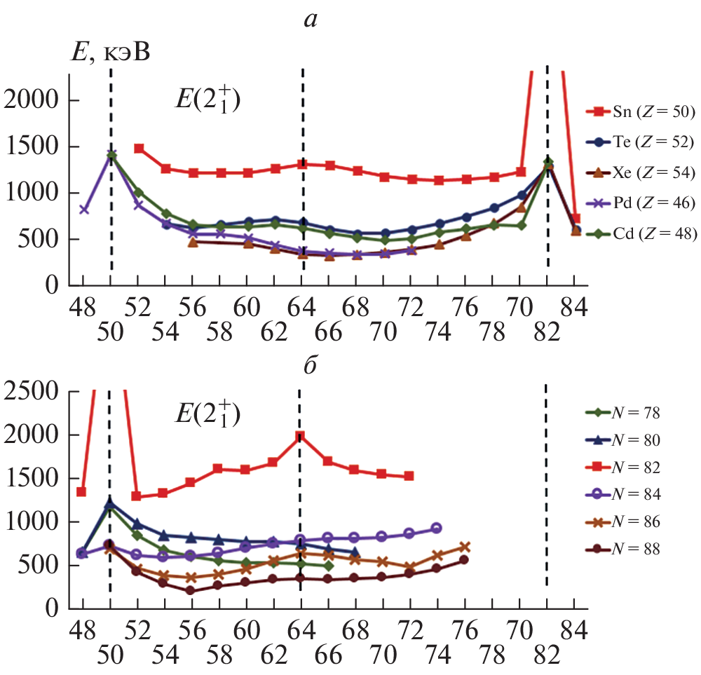
Recently, the existence of a special class of atomic nuclei, local magic nuclei, has been discovered. In the present paper, evidence for the existence of a new local magic nucleus, 146Gd, is presented on the base of experimental data. This nucleus has a magic pair of nucleons (N, Z) = (82, 64). The shell evolution scheme leading to this phenomenon was obtained. It is shown that the tensor proton-neutron force plays a crucial role in this evolution.
Sobre autores
I. Boboshin
Lomonosov Moscow State University, Skobeltsyn Institute of Nuclear Physics
Autor responsável pela correspondência
Email: Boboshin@depni.sinp.msu.ru
Russia, 119991, Moscow
Bibliografia
- Бобошин И. // Препринт НИИЯФ МГУ № 2018-1/892. 2018.
- Boboshin I.N., Varlamov V.V., Ishkhanov B.S., Kapitonov I.M. // Nucl. Phys. 1989. V. A496. P. 93.
- http://www.nndc.bnl.gov/ensdf.
- Meng Wang, Audi G., Kondev F.G. et al. // Chin. Phys. C. 2017. V. 41. No. 3. Art. No. 030003.
- Sorlin O., Porquet M.-G. // Prog. Part. Nucl. Phys. 2008. V. 61. P. 602.
- Povh B., Rith K., Scholz C., Zetsche F. Particles and nuclei. Berlin, Heidelberg, N.Y.: Springer-Verlag, 1995. 340 p.
- Otsuka T., Suzuki T., Fujimoto R. et al. // Phys. Rev. Lett. 2005. V. 95. Art. No. 232502.
- Натаф Р. Модели ядер и ядерная спектроскопия. М.: Мир, 1968. 403 с.
Arquivos suplementares





