Астрофизический S-фактор в модели прямоугольной потенциальной ямы
- Авторы: Торилов С.Ю.1, Мальцев Н.А.1, Жеребчевский В.И.1
-
Учреждения:
- Федеральное государственное бюджетное образовательное учреждение высшего образования “Санкт-Петербургский государственный университет”
- Выпуск: Том 87, № 8 (2023)
- Страницы: 1210-1213
- Раздел: Статьи
- URL: https://journal-vniispk.ru/0367-6765/article/view/135473
- DOI: https://doi.org/10.31857/S0367676523702150
- EDN: https://elibrary.ru/ZDJLDG
- ID: 135473
Цитировать
Полный текст
Аннотация
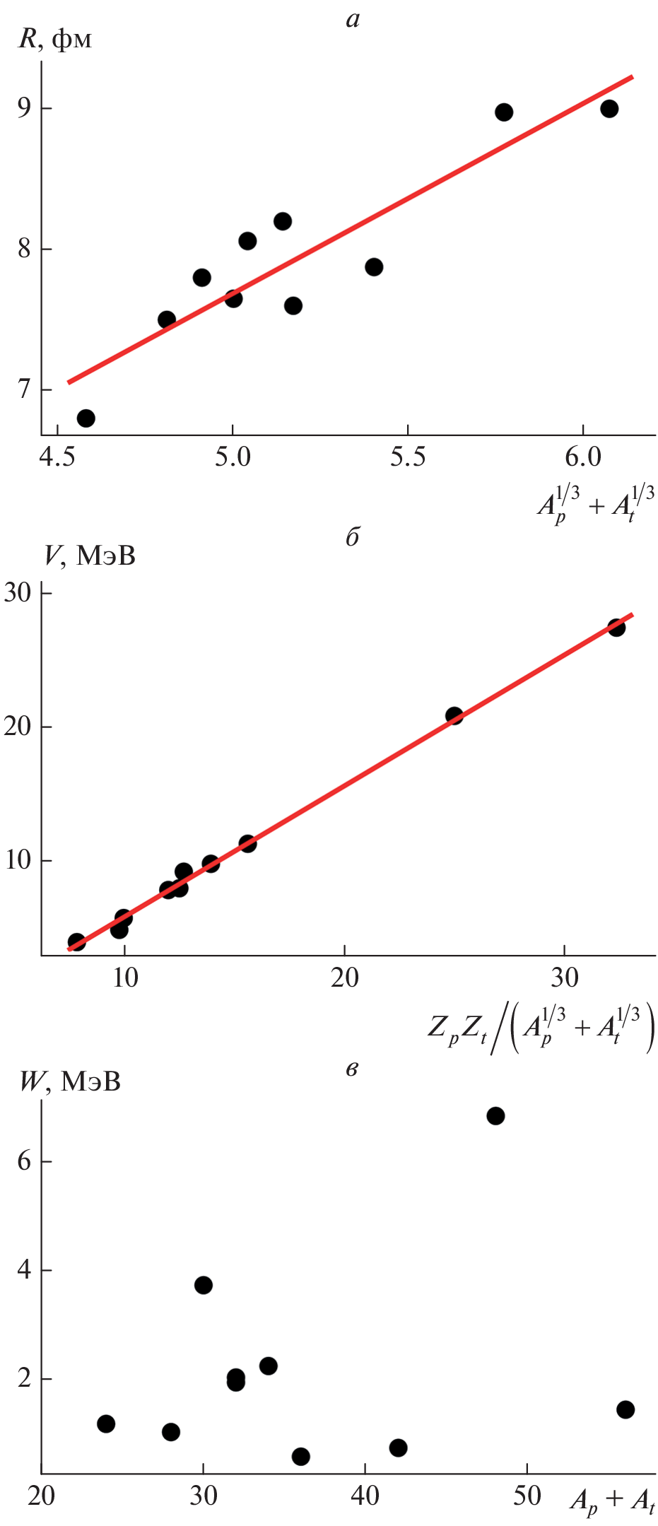
Выполнен анализ астрофизического S-фактора для слияния легких ядер, имеющих важное значение в реакциях звездного нуклеосинтеза, в рамках модели с прямоугольным потенциалом. Данная модель позволила получить хорошее описание экспериментальных данных в подбарьерной области энергий для известных на сегодняшний день реакций слияния четно-четных ядер с массовым числом в диапазоне 12 ≤ А ≤ 28. Получены функциональные зависимости для систематики параметров потенциала.
Об авторах
С. Ю. Торилов
Федеральное государственное бюджетное образовательное учреждение высшего образования“Санкт-Петербургский государственный университет”
Автор, ответственный за переписку.
Email: s.torilov@spbu.ru
Россия, Санкт-Петербург
Н. А. Мальцев
Федеральное государственное бюджетное образовательное учреждение высшего образования“Санкт-Петербургский государственный университет”
Email: s.torilov@spbu.ru
Россия, Санкт-Петербург
В. И. Жеребчевский
Федеральное государственное бюджетное образовательное учреждение высшего образования“Санкт-Петербургский государственный университет”
Email: s.torilov@spbu.ru
Россия, Санкт-Петербург
Список литературы
- Jiang C.L., Back B.B., Rehm K.E. et al. // Eur. Phys. J. A. 2021. V. 57. Art. No. 235.
- Jiang C.L. // Eur. Phys. J. A. 2022. V. 58. Art. No. 72.
- Hagino K., Rowley N., Kruppa A T. // Comput. Phys. Commun. 1999. V. 123. P. 143.
- Торилов С.Ю., Мальцев Н.А., Жеребчевский В.И. // Изв. РАН. Сер. физ. 2021. Т. 85. № 5. С. 710; Torilov S.Yu., Maltsev N.A., Zherebchevsky V.I. // Bull. Russ. Acad. Sci. Phys. 2021. V. 85. No. 5. P. 548.
- Торилов С.Ю., Мальцев Н.А., Жеребчевский В.И. // Изв. РАН. Сер. физ. 2022. Т. 86. № 8. С. 1166; Torilov S.Yu., Maltsev N.A., Zherebchevsky V.I. // Bull. Russ. Acad. Sci. Phys. 2022. V. 86. No. 8. P. 966.
- Торилов С.Ю., Мальцев Н.А., Жеребчевский В.И. // ЭЧАЯ. 2022. Т. 53. № 2. С. 358; Torilov S.Yu., Maltsev N.A., Zherebchevsky V.I. et al. // Phys. Part. Nucl. 2022. V. 53. No. 2. P. 403.
- Kocak G., Karakoc M., Boztosun I., Balantekin A.B. // Phys. Rev. C. 2010. V. 81. Art. No. 024615.
- Chamon L.C., Carlson B.V., Gasques L.R. // Comput. Phys. Commun. 2021. V. 267. P. 108061.
- Michaud G., Fowler W.A. // Phys. Rev. C. 1970. V. 2. P. 2041.
- Ogura R., Hagino K., Bertulani C.A. // Phys. Rev. C. 2019. V. 99. Art. No. 065808.
- Fowler W.A., Caughlan G.R., Zimmerman B.A. // Annu. Rev. Astron. Astrophys. 1975. V. 13. P. 69.
- Michaud G., Scherk L., Vogt E. // Phys. Rev. C. 1970. V. 1. P. 864.
- Salvat F., Fernández-Varea J.M. // Comput. Phys. Commun. 2019. V. 240. P. 165.
- https://www-nds.iaea.org/exfor.
- Gasques L.R., Brown E.F., Chieffi A. et al. // Phys. Rev. C. 2007. V. 76. Art. No. 035802.
- Montagnoli G., Stefanini A.M., Jiang C.L. et al. // Phys. Rev. C. 2020. V. 101. Art. No. 044608.
Дополнительные файлы




