Сегнетоэлектрическая керамика на основе Bi4Ti3O12, предназначенная для экстремальных условий
- Авторы: Мараховский М.А.1, Таланов М.В.2, Панич А.А.1
-
Учреждения:
- Федеральное государственное автономное образовательное учреждение высшего образования “Южный федеральный университет”, Институт высоких технологий и пьезотехники
- Федеральное государственное автономное образовательное учреждение высшего образования “Южный федеральный университет”, Научно-исследовательский институт физики
- Выпуск: Том 87, № 9 (2023)
- Страницы: 1279-1284
- Раздел: Статьи
- URL: https://journal-vniispk.ru/0367-6765/article/view/135484
- DOI: https://doi.org/10.31857/S0367676523702253
- EDN: https://elibrary.ru/KCVYUQ
- ID: 135484
Цитировать
Полный текст
Аннотация
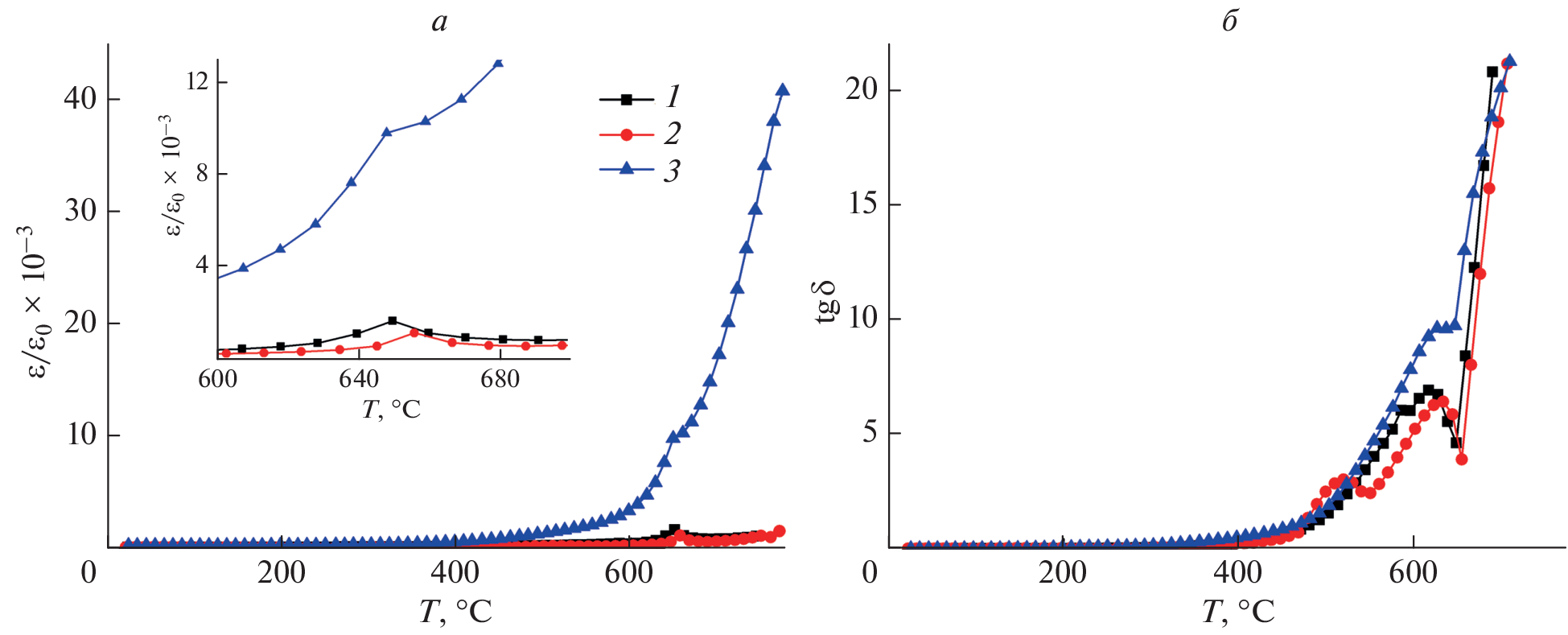
Выполнено сравнительное исследование керамики на основе высокотемпературного сегнетоэлектрика Bi4Ti3O12, которая изготовлена путем применения трех различных методов спекания. Установлены зависимости относительной плотности, микроструктуры, диэлектрических и пьезоэлектрических свойств керамики от метода спекания. Показано, что оптимальным сочетанием функциональных характеристик обладают керамики, спеченные методом горячего прессования.
Об авторах
М. А. Мараховский
Федеральное государственное автономное образовательное учреждение высшего образования“Южный федеральный университет”, Институт высоких технологий и пьезотехники
Автор, ответственный за переписку.
Email: marmisha@mail.ru
Россия, Ростов-на-Дону
М. В. Таланов
Федеральное государственное автономное образовательное учреждение высшего образования“Южный федеральный университет”, Научно-исследовательский институт физики
Email: marmisha@mail.ru
Россия, Ростов-на-Дону
А. А. Панич
Федеральное государственное автономное образовательное учреждение высшего образования“Южный федеральный университет”, Институт высоких технологий и пьезотехники
Email: marmisha@mail.ru
Россия, Ростов-на-Дону
Список литературы
- Dorrian J.F., Newnham R.E., Smith D.K. et al. // Ferroelectrics. 1972. V. 3. P. 17.
- Hervoches C.H., Lightfoot P. // Chem. Mater. 1999. V. 11. P. 3359.
- Rae A.D., Thompson J.G., Withers R.L. et al. // Acta Cryst. 1990. V. B46. P. 474.
- Ломанова Н.А. // ЖНХ. 2022. Т. 67. № 6. С. 665; Lomanova N.A. // Russ. J. Inorg. Chem. 2022. V. 67. P. 741.
- Shirokov V.B., Talanov M.V. // Acta Cryst. 2019. V. B75. P. 978.
- Park B.H., Kang B.S., Bu S.D. et al. // Nature. 1999. V. 401. P. 682.
- Kalinkin A.N., Kozhbakhteev E.M., Polyakov A.E., Skorikov V.M. // Inorg. Mater. 2013. V. 49. P. 1031.
- Slavov S.S., Soreto Teixeira S., Graca M.P.F. et al. // Int. J. Appl. Glass Sci. 2019. V. 10. P. 202.
- Searfass C.T., Pheil C., Sinding K. et al. // IEEE Trans. Ultrason. Ferroelectr. Freq. Control. 2016. V. 63. P. 139.
- Cheng T., Ma Q., Gao H. et al. // Mater. Today Chem. 2022. V. 23. Art. No. 100750.
- Megriche A., Lebrun L., Troccaz M. // Sens. Actuators. A. 1999. V. 78. P. 88.
- Jiang A.Q., Hu Z.X., Zhang L.D. // Appl. Phys. Lett. 1999. V. 74. P. 114.
- Jovalekic C., Pavlovic M., Osmokrovic P. et al. // Appl. Phys. Lett. 1998. V. 72. P. 1051.
- Xie X., Zhou Z., Liang R. et al. // Adv. Electron. Mater. 2022. V. 8. Art. No. 2101266.
- Shulman H. S., Damjanovic D., Setter N. // J. Amer. Ceram. Soc. 2000. V. 83. P. 528.
- Мараховский М.А., Панич А.А., Таланов М.В. и др. // Изв. РАН. Сер. физ. 2020. Т. 84. № 11. С. 1667; Marakhovsky M.A., Panich A.A., Talanov M.V. et al. // Bull. Russ. Acad. Sci. Phys. 2020. V. 84. No. 11. P. 1419.
- Marakhovsky M.A., Panich A.A., Talanov M.V. et al. // Ferroelectrics. 2020. V. 560. No. 1. P. 1.
- Мараховский М.А., Панич А.А., Мараховский В.А. // Фунд. пробл. радиоэлектрон. приборостр. 2018. Т. 18. № 2. С. 430.
- Мараховский М.А., Панич А.А. // Изв. ЮФУ. Техн. науки. 2017. Т. 191. № 6. С. 242.
- Marakhovsky M.A., Panich A.A., Talanov M.V. et al. // Ferroelectrics. 2021. V. 575. No. 1. P. 43.
- Kan Y., Wang P., Xu W.T. et al. // J. Amer. Ceram. Soc. 2005. V. 88. No. 6. P. 1631.
- Вусевкер Ю.А., Файнридер Д.Э., Панич А.Е. и др. Пьезоэлектрический керамический материал. Патент РФ № 2139840, кл. C04B 35/00. 1999.
- Esquivel-Elizondo J.R., Hinojosa B.B., Nino J.C.J. // Chem. Mater. 2011. V. 23. No. 22. P. 4965.
- Kargin Yu.F., Ivicheva S.N., Volkov V.V. // Russ. J. Inorg. Chem. 2015. V. 60. No. 5. P. 619.
- Patri T., Rao T.D., Chandra Sekhar K.S.K.R. et al. // Phys. Stat. Sol. B. 2022. Art. No. 2200223.
- Long C., Fan H., Ren W. et al. // J. Europ. Ceram. Soc. 2019. V. 39. P. 4103.
- Xie X., Wang T., Zhou Z. et al. // J. Europ. Ceram. Soc. 2019. V. 39. P. 957.
- Chen Y., Xie S., Wang H. et al. // J. Alloys Compounds. 2017. V. 696. P. 746.
- Bush A.A., Talanov M.V., Stash A.I. et al. // Cryst. Growth Des. 2020. V. 20. No. 2. P. 824.
Дополнительные файлы







