Структура и электрические свойства многослойных наноструктур (Mg/ZrO2)52
- Авторы: Стогней О.В.1, Смирнов А.Н.1, Ситников А.В.1, Волочаев М.Н.2
-
Учреждения:
- Федеральное государственное бюджетное образовательное учреждение высшего образования “Воронежский государственный технический университет”
- Институт физики имени Л.В. Киренского Сибирского отделения Российской академии наук – обособленное подразделение Федерального государственного бюджетного научного учреждения Федеральный исследовательский центр “Красноярский научный центр Сибирского отделения Российской академии наук”
- Выпуск: Том 87, № 9 (2023)
- Страницы: 1348-1354
- Раздел: Статьи
- URL: https://journal-vniispk.ru/0367-6765/article/view/135496
- DOI: https://doi.org/10.31857/S036767652370237X
- EDN: https://elibrary.ru/GKJBXR
- ID: 135496
Цитировать
Полный текст
Аннотация
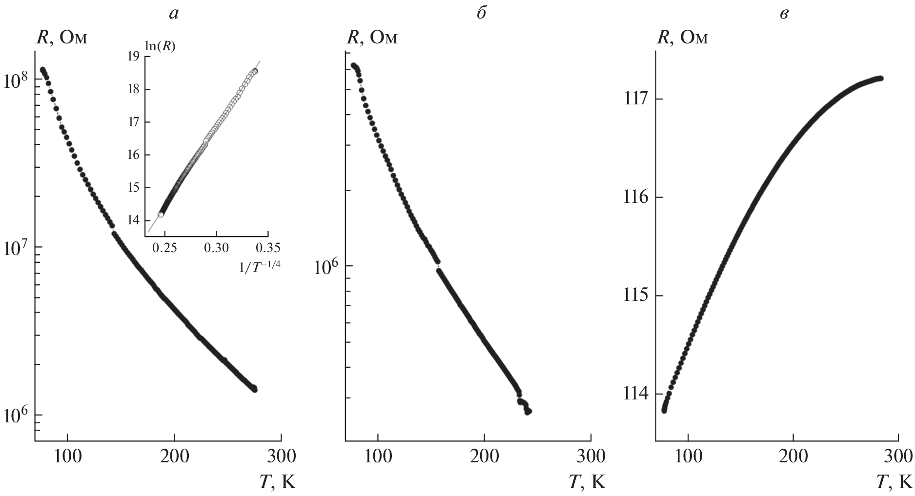
Методом ионно-лучевого распыления двух мишеней в среде аргона получены многослойные наноструктуры (Mg/ZrO2)52 отличающиеся друг от друга толщиной слоев Mg при одинаковой толщине слоев из ZrO2. Толщина одного бислоя (Mg + ZrO2) меняется от 3.6 до 8.5 нм. Установлено, что применение диоксида циркония предотвратило окисление фазы магния. Обнаружено наличие электрического порога перколяции при изменении морфологии магниевых слоев (переход от дискретной к сплошной морфологии) в результате увеличения толщины бислоя. Установлено изменение механизма электропереноса в многослойных наноструктурах (Mg/ZrO2)52 при переходе через порог перколяции.
Об авторах
О. В. Стогней
Федеральное государственное бюджетное образовательное учреждение высшего образования“Воронежский государственный технический университет”
Автор, ответственный за переписку.
Email: sto.sci.vrn@gmail.com
Россия, Воронеж
А. Н. Смирнов
Федеральное государственное бюджетное образовательное учреждение высшего образования“Воронежский государственный технический университет”
Email: sto.sci.vrn@gmail.com
Россия, Воронеж
А. В. Ситников
Федеральное государственное бюджетное образовательное учреждение высшего образования“Воронежский государственный технический университет”
Email: sto.sci.vrn@gmail.com
Россия, Воронеж
М. Н. Волочаев
Институт физики имени Л.В. Киренского Сибирского отделения Российской академии наук –обособленное подразделение Федерального государственного бюджетного научного учреждения
Федеральный исследовательский центр “Красноярский научный центр Сибирского отделения
Российской академии наук”
Email: sto.sci.vrn@gmail.com
Россия, Красноярск
Список литературы
- Murray P., Orehounig D., Grosspietsch K., Carmeliet J. // Appl. Energy. 2018. V. 231. P. 1285.
- Lin X., Zhu Q., Leng H. et al. // Appl. Energy. 2019. V. 250. P. 1065.
- Stognei O.V., Smirnov A.N., Sitnikov A.V., Semenenko K.I. // Solid State Commun. 2021. V. 330. Art. No. 114251.
- Liu Jiangwen, Fu Yiyuan, Huang Wencheng // Phys. Chem. C. 2020. V. 124. P. 6571.
- Зубарев Е.Н. // УФН. 2011. Т. 181. № 5. С. 491; Zubarev E.N. // Phys. Usp. 2011. V. 54. No. 5. P. 473.
- Sponchia G. et al. // J. Eur. Ceram. Soc. 2017. V. 37. P. 3393.
- Francisco L., Sponchia G., Benedetti A. et al. // Ceram. Int. 2018. V. 44. No. 9. P. 10362.
- Trolliard G., Benmechta R., Mercurio D. // Acta Materialia. 2007. V. 55. P. 6011.
- Головин Ю.И. Керамические материалы на основе диоксида циркония. М.: Техносфера, 2018. 358 с.
- Thornton J.A. // J. Vac. Sci. Tech. 1986. V. 6. No. 4. P. 3059.
- Ceresoli D., Vanderbilt D. // Phys. Rev. B. 2006. V. 74. Art. No. 125108.
- Platzer-Björkman C., Mongstad T., Karazhanov S. et al. // Mater. Res. Soc. Symp. Proc. 2009. V. 1210. Art. No. 315.
- Ouyang L.Z., Ye S.Y., Dong H.W., Zhu M. // Appl. Phys. Lett. 2007. V. 90. Art. No. 021917.
- Ouyang L., Qin F.X., Zhu M. et al. // J. Appl. Phys. 2008. V. 104. Art. No. 016110.
- Pasturel M., Slaman M., Schreuders H. et al. // J. Appl. Phys. 2006. V. 100. Art. No. 023515.
- Гриднев С.А., Калинин Ю.Е., Ситников А.В., Стогней О.В. Нелинейные явления в нано- и микрогетерогенных системах. М.: БИНОМ. Лаборатория знаний, 2012. 352 с.
- Мотт Н., Дэвис Э. Электронные процессы в некристаллических веществах. Т. 1. М.: Мир, 1982. 368 с.
Дополнительные файлы







