Стимулированная электронным пучком люминесценция в облученном ионами гелия гексагональном нитриде бора
- Авторы: Петров Ю.В.1, Вывенко О.Ф.1, Гогина О.А.1, Шаров Т.В.1, Ковальчук С.2, Болотин К.2
-
Учреждения:
- Федеральное государственное бюджетное образовательное учреждение высшего образования “Санкт-Петербургский государственный университет”
- Свободный Университет Берлина
- Выпуск: Том 87, № 10 (2023)
- Страницы: 1423-1429
- Раздел: Статьи
- URL: https://journal-vniispk.ru/0367-6765/article/view/141837
- DOI: https://doi.org/10.31857/S0367676523702484
- EDN: https://elibrary.ru/PIVYRE
- ID: 141837
Цитировать
Полный текст
Аннотация
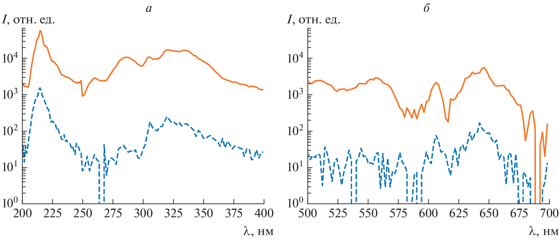
Изучено влияние облучения сфокусированными пучками ионов гелия и электронов на катодолюминесценцию гексагонального нитрида бора. Показано, что облучение ионами гелия приводит к уменьшению интенсивности катодолюминесценции в области 200–700 нм. Последующее продолжительное облучение электронами приводит к увеличению интенсивности полосы 2 эВ.
Об авторах
Ю. В. Петров
Федеральное государственное бюджетное образовательное учреждение высшего образования“Санкт-Петербургский государственный университет”
Email: o_gogina@mail.ru
Россия, Санкт-Петербург
О. Ф. Вывенко
Федеральное государственное бюджетное образовательное учреждение высшего образования“Санкт-Петербургский государственный университет”
Email: o_gogina@mail.ru
Россия, Санкт-Петербург
О. А. Гогина
Федеральное государственное бюджетное образовательное учреждение высшего образования“Санкт-Петербургский государственный университет”
Автор, ответственный за переписку.
Email: o_gogina@mail.ru
Россия, Санкт-Петербург
Т. В. Шаров
Федеральное государственное бюджетное образовательное учреждение высшего образования“Санкт-Петербургский государственный университет”
Email: o_gogina@mail.ru
Россия, Санкт-Петербург
С. Ковальчук
Свободный Университет Берлина
Email: o_gogina@mail.ru
Германия, Берлин
К. Болотин
Свободный Университет Берлина
Email: o_gogina@mail.ru
Германия, Берлин
Список литературы
- Bourrellier R., Meuret S., Tararan A. et al. // Nano Lett. 2016. V. 16. No. 7. P. 4317.
- Castelletto S., Inam F.A., Sato S., Boretti A. // Beilstein J. Nanotechnol. 2020. V. 1. No. 1. P. 740.
- Korona T., Chojecki M. // Int. J. Quant. Chem. 2019. V. 119. No. 14. Art. No. e25925.
- Weston L., Wickramaratne D., Mackoit M. et al. // Phys. Rev. B. 2018. V. 97. No. 21. Art. No. 214104.
- Turiansky M.E., Alkauskas A., Bassett L.C. et al. // Phys. Rev. Lett. 2019. V. 123. No. 12. Art. No. 127401.
- Tran T.T., Kerem Bray, Ford M.J. et al. // Nature Nano-technol. 2016. V. 11. No. 1. P. 37.
- Grosso G., Moon H., Lienhard B. et al. // Nature Commun. 2017. V. 8. No. 1. P. 1.
- Choi S., Tran T.T., Elbadawi C. et al. // ACS Appl. Mater. Interfaces. 2016. V. 8. No. 43. P. 29642.
- Guo N.J., Liu W., Li Z.P. et al. // ACS Omega. 2022. V. 7. No. 2. P. 1733.
- Петров Ю.В., Гогина О.А., Вывенко О.Ф. и др. // ЖТФ. 2022. Т. 92. № 8. С. 1166.
- Ziegler J.F., Ziegler M.D., Biersack J.P. // Nucl. Instrum. Meth. Phys. Res. B. 2010. V. 268. No. 11–12. P. 1818.
- Drouin D., Couture A.R., Joly D. et al. // J. Scan. Microsc. 2007. V. 29. No. 3. P. 92.
- Uddin M.R., Majety S., Li J. et al. // J. Appl. Phys. 2014. V. 115. No. 9. Art. No. 093509.
- Pons D., Bourgoin J.C. // J. Physics C. 1985. V. 18. No. 20. P. 3839.
- Hoffman D.M., Doll G.L., Eklund P.C. // Phys. Rev. B. 1984. V. 30. No. 10. P. 6051.
- Ngwenya T.B., Ukpong A.M., Chetty N. // Phys. Rev. B. 2011. V. 84. No. 24. Art. No. 245425.
Дополнительные файлы










