FeNi nanowires as a promising filler for magnetic sensitive gel
- Authors: Filippova Y.A.1,2,3, Bizhetskiy A.S.2, Papugaeva A.V.1, Panov D.V.1,4,5, Bedin S.A.1,5, Shibaev A.V.2,3, Philippova O.E.2, Razumovskaya I.V.1
-
Affiliations:
- Moscow State Pedagogical University
- Lomonosov Moscow State University
- Karaganda Buketov University, Chemistry Faculty
- National Research University Higher School of Economics
- Federal Scientific Research Centre “Crystallography and Photonics” of the Russian Academy of Sciences
- Issue: Vol 87, No 10 (2023)
- Pages: 1452-1456
- Section: Articles
- URL: https://journal-vniispk.ru/0367-6765/article/view/141842
- DOI: https://doi.org/10.31857/S0367676523702538
- EDN: https://elibrary.ru/PQEEQH
- ID: 141842
Cite item
Full Text
Abstract
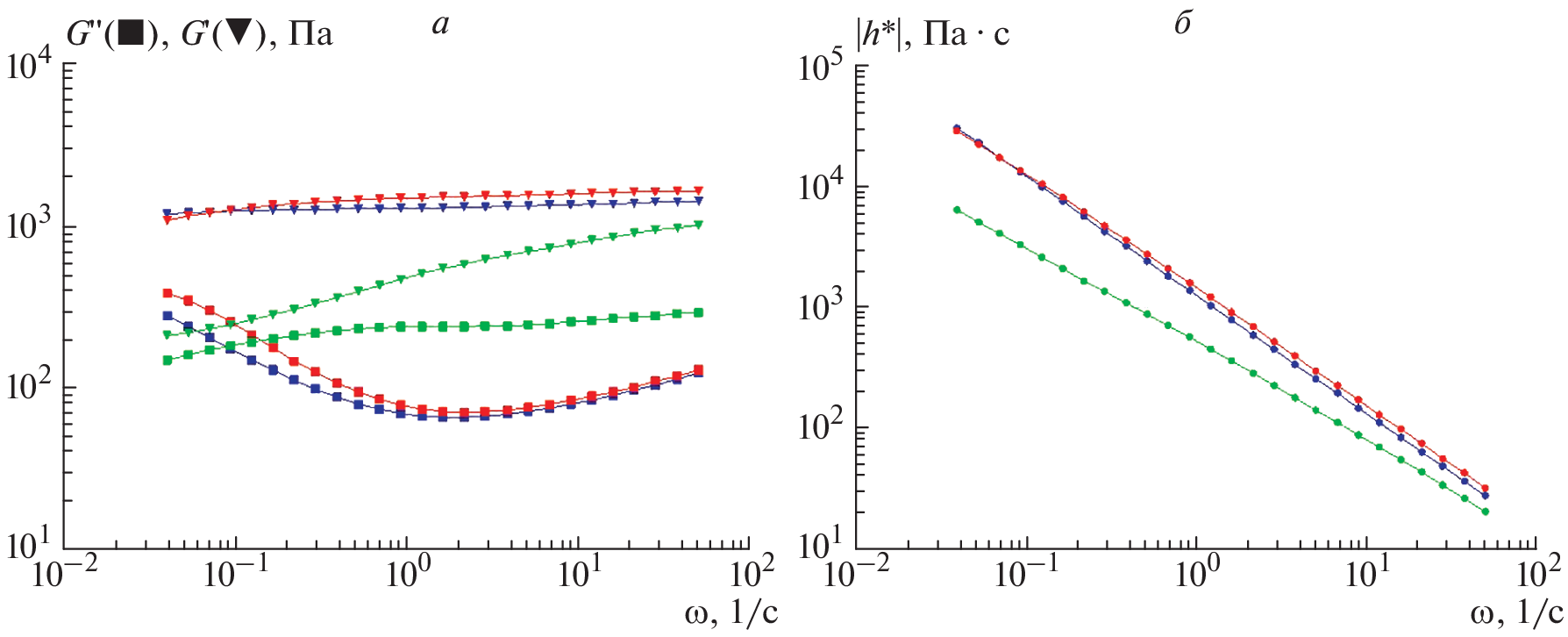
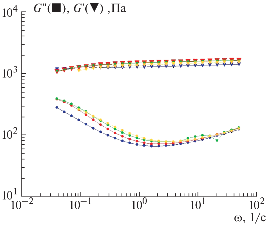
A method for obtaining iron-nickel nanowires 5 μm in length and 100 nm in diameter using template synthesis based on track membranes is described. The actual length of the obtained FeNi nanowires was estimated by scanning electron microscopy, and their elemental composition and structure were studied. The possibility of using the synthesized nanowires to obtain magnetic polymer gels is described.
About the authors
Y. A. Filippova
Moscow State Pedagogical University; Lomonosov Moscow State University; Karaganda Buketov University, Chemistry Faculty
Author for correspondence.
Email: yufi26@list.ru
Russia, 119435, Moscow; Russia, 119991, Moscow; Kazakhstan, Karaganda
A. S. Bizhetskiy
Lomonosov Moscow State University
Email: yufi26@list.ru
Russia, 119991, Moscow
A. V. Papugaeva
Moscow State Pedagogical University
Email: yufi26@list.ru
Russia, 119435, Moscow
D. V. Panov
Moscow State Pedagogical University; National Research University Higher School of Economics; Federal Scientific Research Centre “Crystallography and Photonics” of the Russian Academy of Sciences
Email: yufi26@list.ru
Russia, 119435, Moscow; Russia, 101000, Moscow; Russia, 119333, Moscow
S. A. Bedin
Moscow State Pedagogical University; Federal Scientific Research Centre “Crystallography and Photonics” of the Russian Academy of Sciences
Email: yufi26@list.ru
Russia, 119435, Moscow; Russia, 119333, Moscow
A. V. Shibaev
Lomonosov Moscow State University; Karaganda Buketov University, Chemistry Faculty
Email: yufi26@list.ru
Russia, 119991, Moscow; Kazakhstan, Karaganda
O. E. Philippova
Lomonosov Moscow State University
Email: yufi26@list.ru
Russia, 119991, Moscow
I. V. Razumovskaya
Moscow State Pedagogical University
Email: yufi26@list.ru
Russia, 119435, Moscow
References
- Такетоми С., Тикадзуми С. Магнитные жидкости. М.: Мир, 1993. 272 с.
- Розенцвейг Р. Ферро-гидродинамика. М.: Мир, 1989. 357 с.
- Атанов А.Ю., Целищев В.А., Найгерт К.В. // Вестн. УГАТУ. 2021. Т. 25. № 2(92). С. 24.
- Ravaud R., Lemarquand G., Lemarquand V. // J. Appl. Phys. 2009. No. 106. Art. No. 034911.
- Kole M., Khandekar S. // J. Magn. Magn. Mater. 2021. V. 537. P. 168222.
- Сенатская И.И., Байбуртский Ф.С. // Химия и жизнь. 2002. № 10. С. 43.
- Морозов Н.А., Казаков Ю.Б. Нанодисперсные магнитные жидкости в технике и технологиях. Иван. гос. энерг. ун-т, 2011. 264 с.
- Новопашин С.А., Серебрякова М.А., Хмель С.Я. // Теплофиз. и аэромех. 2015. Т. 22. № 4. С. 411.
- Филиппова Ю.А., Папугаева А.В. // Сб. тр. VIII межд. конф. “Физико-математическое и технологическое образование: проблемы и перспективы развития” (Москва, 2022). С. 1.
- Molchanov V.S., Klepikov I.A., Razumovskaya I.V. et al. // Nanosyst. Phys. Chem. Math. 2018. V. 9(3). No. 3. P. 335.
- Sun M., Tian Ch., Mao L. et al. // Adv. Funct. Mater. 2022. V. 32. No. 26. Art. No. 2112508.
- Bell R., Zimmerman D., Wereley N. // In: Electrodeposited nanowires and their applications. Vienna, 2010. P. 189.
- Prina-Mello A., Diao Z., Coey J.M.D. // J. Nanobiotechnol. 2006. V. 4. No. 1. P. 1.
- Гусев А.И. // УФН. 1998. Т. 168. № 1. С. 55; Gusev A.I. // Phys. Usp. 1998. V. 41. No. 1. P. 49.
- Kawai S., Ueda R.J. // Electrochem. Soc. 1975. V. 112. T. 1. P. 32.
- Dobrev D., Vetter J., Angert N., Neumann R. // Appl. Phys. A. 2001. V. 72. No. 6. P. 729.
- Коротков В.В., Кудрявцев В.H., Загорский Д.Л. и др. // Гальванотехн. и обр. поверхности. 2011. Т. 19. № 4. С. 23.
- Коротков В.В., Кудрявцев В.Н., Кругликов С.С. и др. // Гальванотехн. и обр. поверхности. 2015. Т. 23. № 1. С. 24.
- Долуденко И.М., Загорский Д.Л., Фролов К.В. и др. // ФТТ. 2020. Т. 62. № 9. С. 1474; Doludenko I.M., Zagorskii D.L., Frolov K.V. et al. // Phys. Solid State. 2020. V. 62. No. 9. P. 1639.
Supplementary files






