Fluorescent ratiometric thermometers based on dyads of tetraphenyl porphyrin and zinc-metallated tetraphenyl porphyrin
- Authors: Povolotskiy A.V.1, Smirnova O.S.1, Soldatova D.A.1, Lukyanov D.A.1
-
Affiliations:
- Saint-Petersburg State University
- Issue: Vol 87, No 11 (2023)
- Pages: 1631-1636
- Section: Articles
- URL: https://journal-vniispk.ru/0367-6765/article/view/232503
- DOI: https://doi.org/10.31857/S0367676523702824
- EDN: https://elibrary.ru/FFIAPS
- ID: 232503
Cite item
Full Text
Abstract
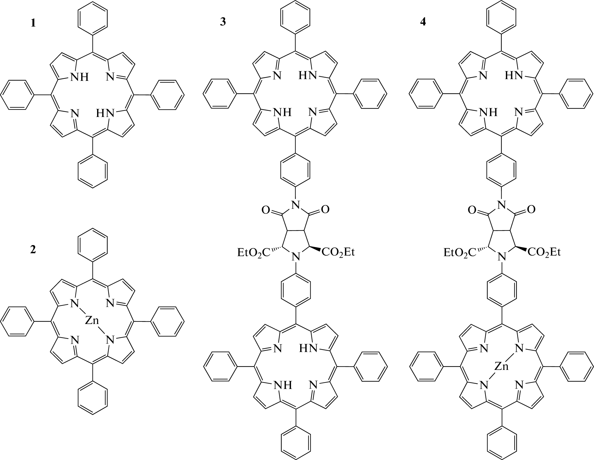
Porphyrins and their derivatives are known for their ability to emit two fluorescence bands. We presented the results of the investigation of the intensity ratio dependence for these bands on temperature in the range of 25–75°C for non-metaled and metal-plated with zinc porphyrins, as well as porphyrin dyads in solutions of 1,2-dichloroethane. A comparative analysis of thermometric parameters of these molecules was carried out.
About the authors
A. V. Povolotskiy
Saint-Petersburg State University
Author for correspondence.
Email: alexey.povolotskiy@spbu.ru
Russia, 198504, Saint-Petersburg
O. S. Smirnova
Saint-Petersburg State University
Email: alexey.povolotskiy@spbu.ru
Russia, 198504, Saint-Petersburg
D. A. Soldatova
Saint-Petersburg State University
Email: alexey.povolotskiy@spbu.ru
Russia, 198504, Saint-Petersburg
D. A. Lukyanov
Saint-Petersburg State University
Email: alexey.povolotskiy@spbu.ru
Russia, 198504, Saint-Petersburg
References
- Lupton J.M. // Appl. Phys. Lett. 2002. V. 81. No. 13. P. 2478.
- Wang C., Jin Y., Zhang R. et al. // J. Alloys Compounds. 2022. V. 894. Art. No. 162494.
- Bigdeli A., Ghasemi F., Abbasi-Moayed S. et al. // Analyt. Chim. Acta. 2019. V. 1079. P 30.
- Шилов И.П., Румянцева В.Д., Алексеев Ю.В., Иванов А.В. // Изв. РАН. Сер. физ. 2020. Т. 84. № 11. С. 1643.
- Nurhayati, Suendo V., Alni A. et al. // J. Phys. Chem. A. 2020. V. 124. No. 13. P. 2672.
- Старухин А.С., Горский А.В., Добковский Я.З. // Изв. РАН. Сер. физ. 2020. Т. 84. № 3. С. 345; Starukhin A.S., Gorski A.V., Dobrovski Y.Z. // Bull. Russ. Acad. Sci. Phys. 2020. V. 84. No. 3. P. 267.
- Zhao B., Li Y., Zhao Y. et al. // Spectrochim. Acta A. 2022. V. 281. Art. No. 121592.
- Евдокимова М.Г., Конев А.С., Поволоцкая А.В. и др. // Изв. РАН. Сер. физ. 2017. Т. 81. № 12. С. 1576; Evdokimova M.G., Konev A.S., Kazakova A.V. et al. // Bull. Russ. Acad. Sci. Phys. 2017. V. 81. No. 12. P. 1391.
- Taniguchi M., Lindsey J.S., Bocian D.F., Holten D. // J. Photochem. Photobiol. C. 2021. V. 46. Art. No. 100 401.
- Santos L.J., CarvalhoDa-Silva D., Rebouças J.S. et al. // Tetrahedron. 2011. V. 67. No. 1. P. 228.
- Лукьянов Д.А. Синтез и исследование новых гетероциклических фотокатализаторов для превращения молекулярного кислорода в перекись водорода. Дис. … канд. хим. наук. СПб: СПбГУ, 2019.
- Liao M.-S., Scheiner S. // J. Chem. Phys. 2002. V. 117. No. 1. P. 205.
- Аскаров К.А., Березин Б.Д., Быстрицкая Е.В. Порфирины: спектроскопия, электрохимия, применение. М.: “Наука”, 1987, 384 с.
- Birks J.B. // Chem. Phys. Lett. 1972. V. 17. No. 3. P. 370.
- Bartocci G., Mazzucato U., Spalletti A., Elisei F. // Spectrochim. Acta A. 1990. V. 46. No. 3. P. 413.
- Dramićanin M.D. // Meth. Appl. Fluoresc. 2016. V. 4. No. 3. Art. No. 042001.
Supplementary files






