Отражательные свойства активных слоистых сред в условиях генерации второй оптической гармоники
- Авторы: Захарова И.Г.1,2, Лысак Т.М.1,2, Калинович А.А.1, Чайковский Д.А.2
-
Учреждения:
- Федеральное государственное бюджетное образовательное учреждение высшего образования “Московский государственный университет имени М.В. Ломоносова”
- Университет МГУ-ППИ в Шэньчжэне
- Выпуск: Том 87, № 12 (2023)
- Страницы: 1707-1712
- Раздел: Статьи
- URL: https://journal-vniispk.ru/0367-6765/article/view/232528
- DOI: https://doi.org/10.31857/S0367676523702940
- EDN: https://elibrary.ru/QUJWJM
- ID: 232528
Цитировать
Полный текст
Аннотация
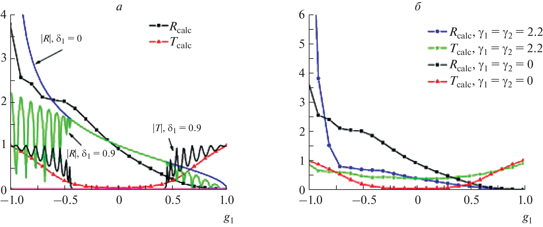
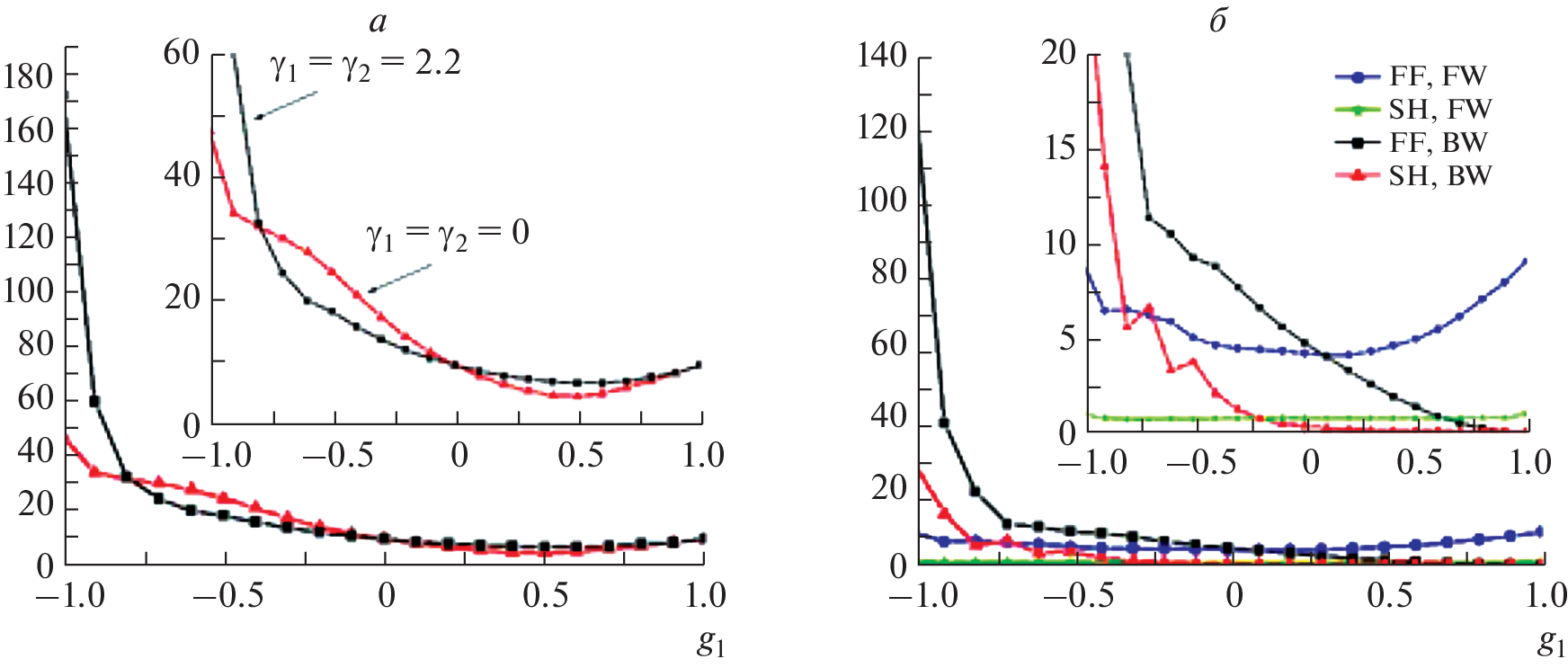
Изучены отражающие свойства активной периодической среды с квадратичной нелинейностью на основе описания генерации второй оптической гармоники в квазиоптическом приближении. С помощью численного моделирования проанализировано влияние ассиметричной брэгговской связи встречных волн на основной частоте на поглощающие/генерирующие и отражающие свойства активной среды.
Об авторах
И. Г. Захарова
Федеральное государственное бюджетное образовательное учреждение высшего образования“Московский государственный университет имени М.В. Ломоносова”; Университет МГУ-ППИ в Шэньчжэне
Автор, ответственный за переписку.
Email: zaharova@physics.msu.ru
Россия, Москва; Китайская Народная Республика, Шэньчжэнь
Т. М. Лысак
Федеральное государственное бюджетное образовательное учреждение высшего образования“Московский государственный университет имени М.В. Ломоносова”; Университет МГУ-ППИ в Шэньчжэне
Email: zaharova@physics.msu.ru
Россия, Москва; Китайская Народная Республика, Шэньчжэнь
А. А. Калинович
Федеральное государственное бюджетное образовательное учреждение высшего образования“Московский государственный университет имени М.В. Ломоносова”
Email: zaharova@physics.msu.ru
Россия, Москва
Д. А. Чайковский
Университет МГУ-ППИ в Шэньчжэне
Email: zaharova@physics.msu.ru
Китайская Народная Республика, Шэньчжэнь
Список литературы
- Makris G., El-Ganainy R., Christodoulides D.N., Musslimani Z.H. // Phys. Rev. Lett. 2008. V. 100. Art. No. 103904.
- Ruter C.E., Makris G., El-Ganainy R. et al. // Nature Phys. 2010. V. 10. P. 192.
- Захарова И.Г., Марченко В.Ф., Неберо М.С., Сухоруков А.П. // Вестн. МГУ. Сер. 3: Физ. Астрон. 2011. Т. 5. № 13. С. 13.
- de Sterke C.M., Sipe J.E. Progress in optics. Chap. 3. Amsterdam: Elsevier, 1994. P. 203.
- Atai J., Malomed B.A., Merhasin I.M. // Opt. Commun. 2006. V. 265. P. 342.
- Akter A., Islam M.J., Atai J. // Appl. Sciences. 2021. V. 11. P. 4833.
- Conti C., Assanto G., Trillo S. // Phys. Rev. Lett. 1997. V. 78. P. 2341.
- Conti C., Assanto G., Trillo S. // Opt. Lett. 1997. V. 22. No. 17. P. 1350.
- Kivshar Yu.S., Agrawal G.P. Optical solitons: from fibers to photonic crystals. Amsterdam: Academic Press, 2003.
- Комиссарова М.В., Захарова И.Г., Лысак Т.М., Калинович А.А. // Изв. РАН. Сер. физ. 2021. Т. 85. № 12. С. 1720; Komissarova M.V., Zakharova I.G., Lysak T.M., Kalinovich A.A. // Bull. Russ. Acad. Sci. Phys. 2021. V. 85. No. 12. P. 1370.
- Komissarova M.V., Lysak T.M., Zakharova I.G., Kalinovich A.A. // J. Phys. Conf. Ser. 2022. V. 2249. Art. No. 012008.
- Карпов С.Ю., Столяров С.Н. // УФН. 1993. Т. 163. № 1. С. 63.
Дополнительные файлы






