The effects of e-beam irradiation with doses up to 1 GGy on the propertie of titanium foil
- Авторлар: Sergeev P.B.1, Kovalets N.P.1,2, Kozhina E.P.1, Bedin S.A.1,2
-
Мекемелер:
- Lebedev Physical Institute of the Russian Academy of Sciences, Troitsk Division
- Moscow State Pedagogical University
- Шығарылым: Том 87, № 12 (2023)
- Беттер: 1819-1822
- Бөлім: Articles
- URL: https://journal-vniispk.ru/0367-6765/article/view/232557
- DOI: https://doi.org/10.31857/S0367676523703131
- EDN: https://elibrary.ru/QIXXOK
- ID: 232557
Дәйексөз келтіру
Толық мәтін
Аннотация
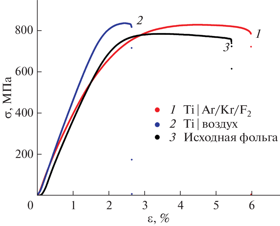
The properties of titanium foils that have been used for a long time in electron guns of e-beam-pumped excimer lasers have been studied. The tensile strength of these foils did not change when irradiated with e-beam pulses (300 keV) with doses up to 1 GGy. On the surface of Ti foils in contact with a fluorine-containing gas mixture during irradiation by e-beam, peaks corresponding to TiO2, TiN, and TiF were detected by Raman scattering.
Негізгі сөздер
Авторлар туралы
P. Sergeev
Lebedev Physical Institute of the Russian Academy of Sciences, Troitsk Division
Хат алмасуға жауапты Автор.
Email: sergeevpb@lebedev.ru
Russia, 119991, Moscow
N. Kovalets
Lebedev Physical Institute of the Russian Academy of Sciences, Troitsk Division; Moscow State Pedagogical University
Email: sergeevpb@lebedev.ru
Russia, 119991, Moscow; Russia, 119991, Moscow
E. Kozhina
Lebedev Physical Institute of the Russian Academy of Sciences, Troitsk Division
Email: sergeevpb@lebedev.ru
Russia, 119991, Moscow
S. Bedin
Lebedev Physical Institute of the Russian Academy of Sciences, Troitsk Division; Moscow State Pedagogical University
Email: sergeevpb@lebedev.ru
Russia, 119991, Moscow; Russia, 119991, Moscow
Әдебиет тізімі
- Sergeev P.B. // J. Russ. Laser Res. 1993. V. 14. No 4. P. 237.
- Егоров И.С., Кайканов М.И., Ремнев Г.Е. // Изв. Томск. политехн. ун-та. 2013. Т. 322. № 2. С. 91.
- Sergeev P.B., Sergeev A.P. // Изв. вузов. Физика. 2006. № 11. (Приложение). С. 332.
- Сергеев П.Б., Морозов Н.В. // Опт. и спектроск. 2019. Т. 126. № 3. С. 280; Sergeev P.B., Morozov N.V. // Opt. Spectrosс. 2019. V. 126. No. 3. P. 200.
- Комаров Д.В., Коновалов С.В., Жуков Д.В. и др. // Ползуновский вестник. 2021. № 4. С. 129.
- Blanco-Pinzon C., Liu Z., Voisey K. et al. // Corrosion Sci. 2005. V. 47. P. 1251.
- Kiselyova E.S., Sypchenko V.S., Nikitenkov N. et al. // Lett. Materials. 2017. V. 7. No. 2. P. 117.
- Hardcastle F.D. // J. Arkansas Acad. Sci. 2011. V. 65. Art. No. 9.
- Gerasimova Y.V., Krylov A.S., Vtyurin A.N. et al. // Ferroelectrics. 2020. V. 568. P. 185.
- Gerasimova Y.V., Oreshonkov A.S., Laptash N.M. et al. // J. Raman Spectrosc. 2018. V. 49. No. 7. P. 1230.
- Wang Q.Z., Zhou F., Zhou Z.F. et al. // Surf. Coat. Technol. 2012. V. 206. P. 3777.
- Spengler W., Kaiser R., Christensen A.N. et al. // Phys. Rev. B. 1978. V. 17. No. 3. P. 1095.
- Tuschel D. // Spectroscopy. 2019. V. 34. No. 3. P. 10.
- Palliyaguru L., Kulathunga S.U., Jayarathna L.I. et al. // Int. J. Miner. Metall. Mater. 2020. V. 27. No. 6. P. 846.
- Hanaor D.A.H., Sorrell C.C. // J. Mater. Sci. 2011. V. 46. P. 855.
Қосымша файлдар







