Differentiation of optical signals using an integrated metal-dielectric-metal structure
- Authors: Kashapov A.I.1,2, Bezus E.A.1,2, Bykov D.A.1,2, Doskolovich L.L.1,2
-
Affiliations:
- Image Processing Systems Institute, National Research Centre “Kurchatov Institute”
- Samara National Research University
- Issue: Vol 88, No 1 (2024)
- Pages: 5-10
- Section: Wave Phenomena: Physics and Applications
- URL: https://journal-vniispk.ru/0367-6765/article/view/264527
- DOI: https://doi.org/10.31857/S0367676524010015
- EDN: https://elibrary.ru/SBPYGC
- ID: 264527
Cite item
Full Text
Abstract
We consider optical properties of integrated metal-dielectric-metal structures embedded in a dielectric slab waveguide and their application to the problems of first- and second-order optical differentiation of the profile of the incident optical beam in reflection. According to the presented numerical simulation results, the investigated structures enable performing the spatial differentiation operation with high quality. The presented results may find application in novel systems for optical information processing and analog optical computing based on integrated nanophotonic structures.
Full Text
ВВЕДЕНИЕ
Дифференцирование оптических сигналов играет важную роль в аналоговой оптической обработке информации, позволяя извлекать необходимую информацию о пространственной и временной динамике оптических сигналов. В связи с развитием нанотехнологий и растущим интересом к высокоскоростным и компактным оптическим системам обработки информации разработка новых структур нанофотоники для дифференцирования оптических сигналов представляется важной и актуальной задачей.
Преобразование оптического сигнала, которое происходит при его отражении или при прохождении через дифракционную структуру, можно рассматривать как преобразование, осуществляемое линейной системой. Передаточная функция (ПФ) этой системы определяется коэффициентом отражения или пропускания структуры, рассматриваемым как функция угловой и (или) пространственной частоты [1–3]. Поскольку ПФ идеального дифференциатора имеет нуль на центральной (несущей) частоте, то для оптического дифференцирования необходимо, чтобы спектр отражения или пропускания дифракционной структуры содержал нули. Как правило, нули отражения и пропускания обусловлены резонансными эффектами, связанными с возбуждением собственных мод структуры. Именно поэтому для дифференцирования широко используются различные резонансные структуры, в частности, резонансные дифракционные решетки [1, 2] и слоистые структуры [4–7].
Недавние исследования авторов настоящей работы показали, что простые трехслойные структуры “металл-диэлектрик-металл” (МДМ-структуры) позволяют оптически вычислить первую производную по пространственной переменной или во времени в отражении [5, 6]. Также было показано, что “каскадные” МДМ-структуры, состоящие из нескольких одиночных МДМ-структур, позволяют реализовать оптическое вычисление производных n-го порядка [7]. Важно отметить, что в широком диапазоне параметров всегда можно обеспечить требуемый для дифференцирования нуль отражения за счет выбора толщин слоев МДМ-структуры.
В настоящей работе рассмотрено применение интегральных аналогов слоистых МДМ-структур, состоящих из металлических “полос”, “погруженных” в плоскопараллельный волновод, для оптического дифференцирования пучков, распространяющихся в волноводе. Рассмотрено два типа интегральных МДМ-структур. Первый тип — “одиночная” интегральная МДМ-структура, состоящая из двух металлических полос, разделенных “сегментом” волновода, и обладающая нулем отражения первого порядка. Как показано ниже, указанная структура может быть использована для оптического вычисления первой производной от профиля падающего пучка, распространяющегося в волноводе. Второй тип — “двойная” интегральная МДМ-структура, состоящая из двух последовательно расположенных одиночных МДМ-структур. Данная структура обладает нулем второго порядка и позволяет вычислить производную второго порядка профиля падающего пучка.
ОДИНОЧНАЯ ИНТЕГРАЛЬНАЯ МДМ-СТРУКТУРА
Структура для вычисления первой производной состоит из двух металлических полос, “погруженных” в одномодовый плоскопараллельный диэлектрический волновод (рис. 1а), толщина которого для рассматриваемых ниже примеров составляет 100 нм. В рассматриваемых примерах в качестве материала волновода выбран фосфид галлия (GaP), в качестве подложки — диоксид кремния (SiO2), а материала области над структурой — воздух (nsup = 1).
Рис. 1. Геометрия одиночной (а) и “двойной” (б) интегральных МДМ-структур, а также схематическое изображение вычисления первой пространственной производной одиночной МДМ-структурой (а).
В работах [5, 6] исследовались неинтегральные МДМ-структуры, состоящие из двух металлических слоeв, разделенных слоем диэлектрика. Формулы для расчета параметров МДМ-структур из работы [5] могут быть “перенесены” на случай интегральной геометрии при условии отсутствия т.н. “паразитного” рассеяния, которое может быть достигнуто при правильном выборе угла падения волноводной моды с ТЕ-поляризацией [8–10]. Предполагая данное условие выполненным, рассмотрим формулу для расчета ширины первой металлической полосы (при заданной ширине второй металлической полосы) для достижения нулевого отражения [5]:
(1)
где r(w), t(w) — комплексные коэффициенты отражения и пропускания падающей волноводной моды через металлическую полосу шириной w; w1, w2 — ширины первой и второй металлических полос (1). Отметим, что в формуле (1) коэффициенты r(w), t(w) и предполагаются рассчитанными при фиксированных угле падения θ и длине волны λ падающей ТЕ-поляризованной волноводной моды. После нахождения ширины первой металлической полосы w1 ширина диэлектрического сегмента волновода между металлическими полосами, обеспечивающая нулевое отражение, может быть найдена из формулы [5]:
(2)
где k0 — волновое число, neff — эффективный показатель преломления (константа распространения, нормированная на волновое число) волноводной моды.
В настоящей работе будут рассмотрены две одиночные интегральные МДМ-структуры, отличающиеся материалами металлических полос. В первом случае в качестве материала металлических полос используется золото (Au) с показателем преломления nau = 0.1851 + 3.4123i, во втором случае — хром (Cr) с показателем преломления ncr = 3.1451 + 3.3092i. Показатели преломления указаны для длины волны в свободном пространстве (для данной длины волны nwg = 3.3212, nsub = 1.4571) [11, 12].
Для расчета параметров первой интегральной МДМ-структуры (с золотыми металлическими полосами) выберем ширину второй полосы w2 равной 50 нм. Будем рассматривать наклонное падение TE-поляризованной моды волновода (эффективный показатель преломления neff = 2.7567) при угле падения θ = 50o, обеспечивающем отсутствие паразитного рассеяния. Для указанных параметров левая часть (1) рассчитывалась для диапазона значений w (моделирование проводилось в рамках электромагнитной теории дифракции методом [13]), и затем выбиралась ширина w1, обеспечивающая выполнение равенства (1). Таким образом было получено, что равенство (1) достигается при w1 = 28.5 нм. Ширина разделяющего диэлектрического сегмента, найденная по формуле (2), составляет wd = 411 нм. Аналогичным образом были рассчитаны параметры второй структуры (материал металлических полос — хром): w1 = 10.6 нм, wd = 418.9 нм, w2 = 50 нм.
ДВОЙНАЯ ИНТЕГРАЛЬНАЯ МДМ-СТРУКТУРА
Структура, предлагаемая для вычисления второй производной, состоит из двух МДМ-структур, которые разделены сегментом волновода определенной ширины (рис. 1б). Рассмотрим методику и пример расчета двойной МДМ-структуры. В работе [7] приводятся формулы для расчета “каскадных” слоистых МДМ-структур, обладающих нулем отражения заданного порядка. Аналогично предыдущему разделу, данные формулы можно применить и в случае интегральной геометрии. Рассмотрим условие нуля отражения второго порядка
(3)
где ρ1 и ρ2 — коэффициенты при линейных членах разложения в ряд Тейлора коэффициентов отражения для первой и второй одиночных интегральных МДМ-структур, имеющих нули отражения первого порядка, t0 — комплексный коэффициент пропускания для первой структуры, ws — ширина разделяющего сегмента волновода.
Условие (3) может быть записано аналогично (1), (2) в виде двух равенств модулей и аргументов. Метод расчета параметров двойной МДМ-структуры при этом также будет аналогичен описанному выше методу расчета параметров одиночной МДМ-структуры. Отличие заключается в том, что из равенства модулей будут определяться параметры первой МДМ-структуры (параметры второй МДМ структуры предполагаются фиксированными), а из равенства аргументов — ширина сегмента волновода между структурами ws [7]. Отметим, что расчет двойной интегральной МДМ-структуры является гораздо более трудоемким с точки зрения времени вычислений по сравнению со случаем неинтегральных слоистых структур, ориентированных на работу с излучением, распространяющимся в свободном пространстве.
В качестве примера была рассчитана двойная МДМ-структура с золотыми металлическими полосами, ширины металлических и диэлектрических частей которой составляют:
[22.1, 415.5, 28.8, 324.7, 31.7, 408.8, 200.0] нм.(4)
Структура (4), обладающая нулем отражения второго порядка, будет рассмотрена далее для оптического вычисления второй производной.
РЕЗУЛЬТАТЫ ЧИСЛЕННОГО МОДЕЛИРОВАНИЯ
Рассмотрим возможность применения исследуемых интегральных МДМ-структур для дифференцирования оптических сигналов, распространяющихся в волноводе, на примере “волноводного” аналога Гауссова пучка с профилем
(5)
где σ — ширина пучка, заданного в системе координат падающего пучка (рис. 1а). Рассмотрим разложение падающего пучка по волноводным модам различных направлений (с пространственными частотами kx,inc):
(6)
где — спектр падающего пучка, заданный в некоторой области Ω.
Как было отмечено ранее, преобразование падающего пучка рассматриваемой интегральной структурой можно рассматривать как преобразование линейной системой с передаточной функцией [5–7]:
(7)
Таким образом, профиль отраженного пучка в локальной системе координат, связанной с ним (рис. 1а), будет иметь вид
(8)
В случае одиночных МДМ-структур, имеющих нуль отражения первого порядка, ПФ пропорциональна ПФ идеального дифференциатора первого порядка и профиль отраженного пучка будет пропорционален первой производной [5–7]:
(9)
В случае двойной МДМ-структуры с нулем отражения второго порядка профиль отраженного пучка будет пропорционален второй производной [5–7]:
(10)
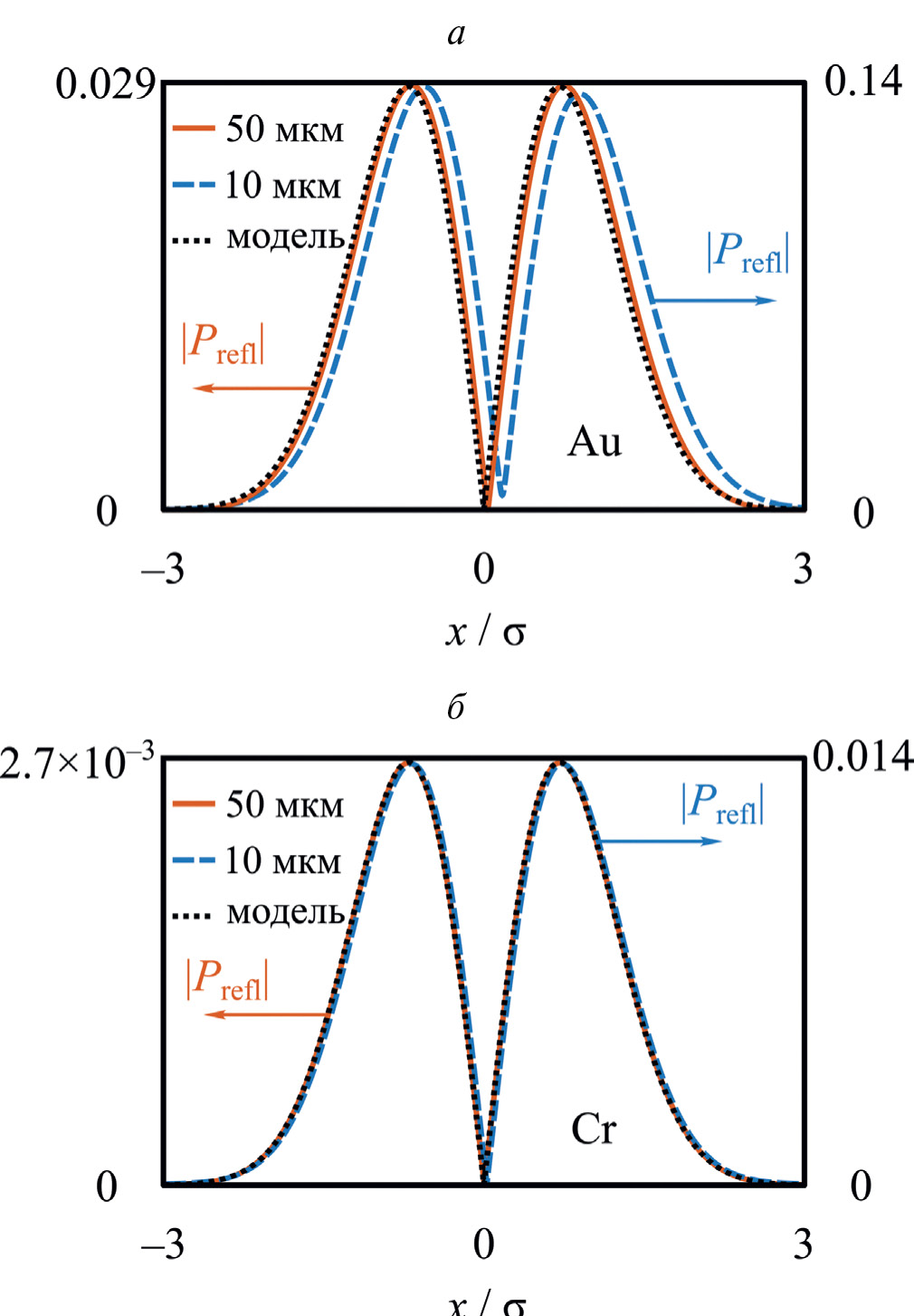
На рис. 2 показаны модули численно рассчитанных профилей пучков, отраженных от рассчитанных МДМ-структур с металлическими полосами из золота (рис. 2а) и хрома (рис. 2б) при σ = 10 мкм и σ = 50 мкм. Данные профили были рассчитаны в рамках электромагнитной теории дифракции с использованием метода [13] и близки к нормированным аналитически рассчитанным первым производным, показанным на рис. 2 черными пунктирными линиями. В табл. 1 приведены численные значения характеризующих качество дифференцирования величин (максимальной амплитуды отраженного пучка и нормированного среднеквадратичного отклонения (СКО) профиля отраженного пучка от аналитически рассчитанной производной), соответствующие рис. 2. При расчете СКО центральные минимумы отраженных пучков и аналитических производных помещались в одну точку. Как видно из табл. 1, при увеличении размера σ падающего пучка снижается СКО, но и уменьшается амплитуда отраженного пучка. При этом выбор материала металлических полос позволяет “управлять” соотношением между указанными характеристиками.
Табл. 1. Численные значения параметров для рис. 2.
Металл | σ, мкм | max | Prefl | | СКО, % |
Cr | 10 | 0.014 | 0.081 |
50 | 0.0027 | 0.055 | |
Au | 10 | 0.14 | 1.95 |
50 | 0.029 | 0.094 |
Рис. 2. Профили пучков при ширине σ = 10 мкм (пунктирная синяя линия) и σ = 50 мкм (сплошная линия), отраженных от интегральной МДМ-структуры с металлическими полосами из золота (а) и хрома (б); аналитическая функция, соответствующая производной (9) (пунктирная черная линия).
Рассмотрим далее возможность оптического вычисления второй производной (10) с помощью двойной МДМ-структуры (4). На рис. 3а представлена ПФ (7) исследуемой структуры, имеющей нуль отражения второго порядка. Как видно из рис. 3а, спектр падающего пучка с σ = 25 мкм лежит преимущественно в “интервале квадратичности” ПФ, в связи с чем можно ожидать хорошего качества вычисления второй производной. На рис. 3б черной сплошной линией показан модуль профиля отраженного пучка, рассчитанного с использованием метода [13], а пунктирной линией показана аналитически рассчитанная вторая производная. Нормированное СКО в этом случае составляет 5.9% (при расчете СКО центральные максимумы пучков помещались в одну точку).
Рис. 3. Модуль ПФ исследуемой двойной интегральной МДМ-структуры (сплошная линия) (4) и нормированный спектр профиля падающего пучка (5) (пунктирная линия) (а); численно рассчитанный профиль отраженного пучка методом [13] (сплошная линия) и аналитическая функция, соответствующая второй производной (10) (пунктирная линия) (б).
ЗАКЛЮЧЕНИЕ
Исследовано оптическое выполнение операций пространственного дифференцирования с помощью МДМ-структур, интегрированных в плоскопараллельный диэлектрический волновод. Рассчитаны одиночные и двойные МДМ-структуры, имеющие нули отражения первого и второго порядков соответственно. Результаты строгого численного моделирования показывают, что рассчитанные структуры позволяют выполнить операции дифференцирования первого и второго порядков с высоким качеством. Полученные результаты могут найти применение при разработке новых систем оптической обработки информации и аналоговых оптических вычислений на основе интегральных структур нанофотоники.
Работа выполнена при поддержке Российского научного фонда (проект № 19-19-00514, исследование интегральных МДМ-структур) и в рамках государственного задания ФНИЦ “Кристаллография и фотоника” РАН (реализация моделирующего программного обеспечения).
About the authors
A. I. Kashapov
Image Processing Systems Institute, National Research Centre “Kurchatov Institute”; Samara National Research University
Author for correspondence.
Email: ar.kashapov@outlook.com
Russian Federation, Samara; Samara
E. A. Bezus
Image Processing Systems Institute, National Research Centre “Kurchatov Institute”; Samara National Research University
Email: ar.kashapov@outlook.com
Russian Federation, Samara; Samara
D. A. Bykov
Image Processing Systems Institute, National Research Centre “Kurchatov Institute”; Samara National Research University
Email: ar.kashapov@outlook.com
Russian Federation, Samara; Samara
L. L. Doskolovich
Image Processing Systems Institute, National Research Centre “Kurchatov Institute”; Samara National Research University
Email: ar.kashapov@outlook.com
Russian Federation, Samara; Samara
References
- Bykov D.A., Doskolovich L.L., Soifer V.A. // Opt. Lett. 2011. V. 36. No. 17. P. 3509.
- Doskolovich L.L., Bykov D.A., Bezus E.A., Soifer V.A. // Opt. Lett. 2014. V. 39. No. 5. P. 1278.
- Zhou Y., Zheng H., Kravchenko I.I., Valentine J. // Nature Photon. 2020. V. 14. P. 316.
- Головастиков Н.В., Досколович Л.Л., Безус Е.А. и др. // ЖЭТФ. 2018. Т. 154. № 2. С. 238; Golovastikov N.V., Doskolovich L.L., Bezus E.A. et al. // JETP. 2018. V. 154. No. 2. P. 202.
- Kashapov A.I., Doskolovich L.L., Bezus E.A. et al. // J. Optics. 2021. V. 23. No. 2. Art. No. 023501.
- Kashapov A.I., Doskolovich L.L., Bykov D.A. et al. // Comp. Opt. 2021. V. 45. No. 3. P. 356.
- Doskolovich L.L., Kashapov A.I., Bezus E.A., Bykov D.A. // Photon. Nanostruct. Fundam. Appl. 2022. V. 52. Art. No. 101069.
- Hammer M., Hildebrandt A., Förstner J. // Opt. Lett. 2015. V. 40. P. 3711.
- Doskolovich L.L., Bezus E.A., Bykov D.A. // Photon. Res. 2018. V. 6. No. 1. P. 61.
- Bezus E.A., Bykov D.A., Doskolovich L.L. // Opt. Lett. 2022. V. 47. No. 17. P. 4403.
- https://refractiveindex.info/.
- Johnson P.B., Christy R.W. // Phys. Rev. B. 1972. V. 6. No. 12. P. 4370.
- Silberstein E., Lalanne P., Hugonin J.-P., Cao Q. // J. Opt. Soc. Amer. A. 2001. V. 18. P. 2865.
Supplementary files






