Accounting for the energy dispersion of free carriers induced by powerful femtosecond laser radiation in dielectrics
- Authors: Lvov K.V.1, Stremoukhov S.Y.1,2
-
Affiliations:
- Lomonosov Moscow State University
- National Research Centre “Kurchatov Institute”
- Issue: Vol 88, No 1 (2024)
- Pages: 54–59
- Section: Wave Phenomena: Physics and Applications
- URL: https://journal-vniispk.ru/0367-6765/article/view/264545
- DOI: https://doi.org/10.31857/S0367676524010102
- EDN: https://elibrary.ru/SAVBFT
- ID: 264545
Cite item
Full Text
Abstract
Dynamics of free carriers in the conduction band of dielectrics induced by femtosecond near infrared laser radiation is analyzed. It is stressed the importance of accounting for the energy dispersion term in the Fokker-Planck equation describing such dynamics.
Full Text
ВВЕДЕНИЕ
Решение целого ряда важных научных задач лазерной физики, таких как генерация мощного когерентного излучения, в том числе генерация гармоник высокого порядка, получение сверхкоротких лазерных импульсов, развитие методов модификации поверхности и объема материалов и других задач, невозможно без теоретического исследования процессов генерации свободных носителей и их динамики в зоне проводимости, вызванной действием мощного фемтосекундного лазерного излучения [1–4]. Теоретические расчеты позволяют, например, проанализировать особенности формирования макроскопического тока свободных носителей [5], определить механизмы передачи лазерной энергии твердому телу [6, 7].
Наиболее корректными с физической точки зрения моделями динамики свободных носителей являются статистические модели, основанные на уравнении Больцмана [8, 9], либо его упрощении — уравнении Фоккера-Планка [10, 11]. Согласно последнему, динамика плотности распределения носителей f (ε,t) в зоне проводимости описывается уравнением:
(1)
где — плотность мощности генерации (или рекомбинации) носителей, E 2(t ) — квадрат огибающей лазерного поля, ε — кинетическая энергия носителей, — проводимость носителей, e — заряд электрона, me — эффективная масса носителей, ν(ε) — эффективная частота столкновений носителей, ω — частота лазерного поля.
Первое слагаемое в правой части уравнения (1) описывает лазерный нагрев свободных носителей, а второе слагаемое — дисперсию плотности распределения носителей по энергии. Второе слагаемое может быть истолковано как диффузия носителей по энергетическому спектру с характерным “коэффициентом диффузии” С физической точки зрения оно означает “расплывание” плотности распределения носителей по энергетическому спектру при наличии локальных градиентов, возникающих, например, при фотоионизации или ударной ионизации.
Помимо статистических моделей динамики носителей разработаны также скоростные модели, описывающие распределение носителей по конечному числу дискретных уровней энергии в зоне проводимости: SRE (Single Rate Equation) [12], MRE (Multiple Rate Equation) [13] и другие модификации [14, 15], учитывающие все более тонкие эффекты.
Ключевой особенностью всех существующих скоростных моделей является учет только первого слагаемого в правой части уравнения (1), описывающего нагрев носителей под действием лазерного излучения.
В данной работе исследуется динамика носителей с учетом энергетического дисперсионного расплывания (второе слагаемое в правой части уравнения (1)), рассчитанная с помощью уравнения Фоккера-Планка. Анализируются особенности энергетического распределения носителей в зоне проводимости диэлектриков под действием фемтосекундного лазерного излучения, а также влияние дисперсионного слагаемого на генерируемую плотность индуцированных носителей и их среднюю кинетическую энергию.
МОДЕЛЬ ФОККЕРА-ПЛАНКА
В уравнении Фоккера-Планка (1) в качестве источника свободных носителей рассматривается фотоионизация, скорость которой зависит от интенсивности лазерного излучения I(t ) и описывается формулой Келдыша [16], а также ударная ионизация vimp(ε):
(2)
Скорость ударной ионизации νimp(ε) отлична от нуля только для тех носителей, чья энергия превышает критическое значение , где mr — приведенная масса электрона и дырки, чьи эффективные массы равны me и mh, Eg — ширина запрещенной зоны. Выражение для νimp(ε) было получено в работе [17]:
(3)
где ρat — плотность атомов, a0 — боровский радиус, Ry — постоянная Ридберга.
Числовой коэффициент β в (2) показывает, во сколько раз уменьшается энергия электрона, участвующего в одном акте ударной ионизации. В предположении параболичности валентной зоны и зоны проводимости значение этого коэффициента напрямую следует из законов сохранения энергии и импульса:
(4)
Нагрев носителей в лазерном поле определяется проводимостью , при этом учитываются только электрон-электронные и электрон-нейтральные столкновения, зависимость частоты которых от энергии носителей задается следующими выражениями [18]:
(5)
где ν — средняя скорость носителей с энергией ε, ∈0 — диэлектрическая постоянная, emean — средняя кинетическая энергия носителей, ρ — полная плотность свободных носителей, — сечение электрон-нейтральных столкновений. При необходимости в выражение частоты столкновений (5) можно добавить и другие типы столкновений, например, электрон-фононные или электрон-ионные.
В данной работе по результатам расчетов динамики плотности распределения носителей в зоне проводимости вычислялись полная плотность свободных носителей ρ(t ):
(6)
и средняя кинетическая энергия носителей εmean(t) :
(7)
Для численного решения уравнения Фоккера-Планка (1) была построена 6-точечная разностная схема, которая является явной по времени и неявной по энергии. На каждом шаге по времени методом прогонки вычислялись значения плотности распределения f (ε,t ) для каждого значения энергии, при этом граничные условия при обеспечивали условие , а граничные условия при ε = 0 — неизменность полной плотности носителей в отсутствие источников носителей (при ).
Уравнение Фоккера-Планка, являющееся приближением уравнения Больцмана, справедливо, если средняя энергия, полученная носителями в электрическом поле за среднее время столкновений, меньше энергии носителей [10]: Из этого условия можно получить оценку максимальной интенсивности лазерного излучения Imax, при которой модель F-Pl остается справедливой:
(8)
где c — скорость света в вакууме, n0 — показатель преломления среды, λ — длина волны лазерного излучения.
РЕЗУЛЬТАТЫ И ОБСУЖДЕНИЕ
В качестве модельной среды нами был выбран фторид кальция CaF2 с шириной запрещенной зоны 12 эВ, эффективной массой носителей me = mh = 9.1·10–31 кг, плотностью атомов ρat = 5.6 · 1022 см–3. Импульсное лазерное излучение имело длительность 170 фс, длину волны λ = 1.24 мкм, что соответствует излучению хром-форстеритового лазера, и флюенс до F = 7 Дж/см2 (условие (8) применимости модели выполнено вплоть до данных значений флюенса). Начальное распределение носителей по зоне проводимости было выбрано экспоненциальным (что оправдано в силу широкозонности выбранного материала), так чтобы полная плотность носителей составляла величину ρ0 = 10–20ρat (что обусловлено возможным наличием примесей и дефектов в решетке диэлектрика), а средняя кинетическая энергия носителей — εmean = 0.04 эВ (что соответствует комнатной температуре).
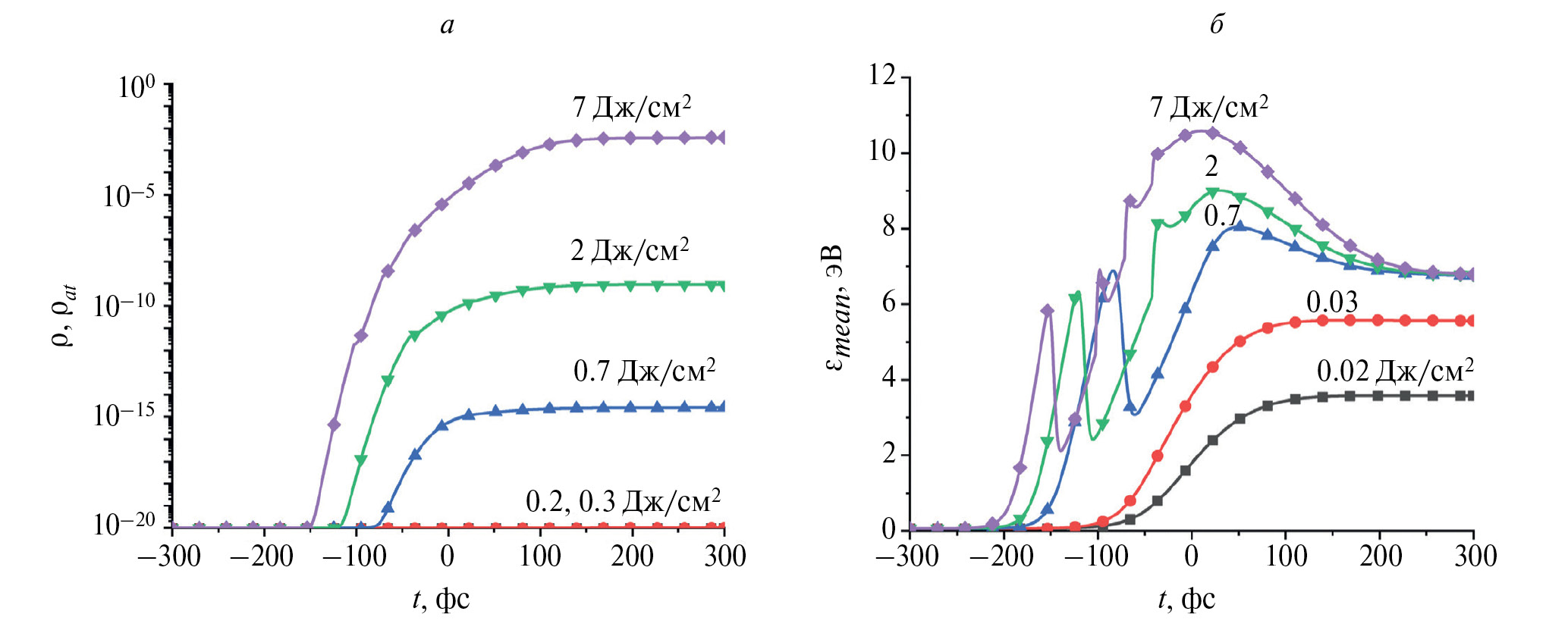
На рис. 1а представлена динамика плотности свободных носителей, индуцированных лазерным излучением, а на рис. 1б — динамика их средней кинетической энергии, рассчитанной по формуле (7). Даже при самом большом значении флюенса F = 7 Дж/см2, использованного в работе, плотность свободных носителей после прохождения импульса составляет не более 0.04 ρat, что свидетельствует о низком уровне возбуждения среды. Поэтому более тонкие факторы, влияющие на динамику носителей, например, изменение ширины запрещенной зоны или Оже-рекомбинацию, можно не учитывать.
Рис. 1. Плотность свободных носителей, сформированных после действия лазерных импульсов с различными флюенсами (а). Динамика средней кинетической энергии носителей при разных флюенсах лазерного излучения (б).
При малых флюенсах лазерного излучения (F < 0.03 Дж/см2) средняя кинетическая энергия носителей монотонно увеличивается по мере прохождения лазерного импульса, а плотность свободных носителей изменяется незначительно, что свидетельствует о постепенном нагреве носителей в лазерном поле. Наибольший рост средней кинетической энергии наблюдается в центре импульса — при наибольшей интенсивности лазерного излучения.
Совершенно другая динамика наблюдается при больших флюенсах (F > 0.3 Дж/см2). По мере нагрева носителей передним фронтом импульса их средняя кинетическая энергия εmean увеличивается. Однако с ростом интенсивности лазерного излучения фотоионизация активнее доставляет в зону проводимости электроны с околонулевой энергией, что резко снижает εmean (кривая t = –100 фс на рис. 2б). Это наглядно продемонстрировано также на рис. 2а, на котором изображены плотности распределения носителей по зоне проводимости при возбуждении лазерным импульсом с флюенсом F = 2 Дж/см2. Плотность распределения носителей при t = –100 фс имеет резко выраженный максимум на 0.5 эВ, что соответствует энергии носителей сразу после фотоионизации. В центре импульса за счет достигнувшей своего максимального значения интенсивности лазерного излучения средняя кинетическая энергия носителей продолжает увеличиваться. Небольшие скачки, заметные на рис. 1б, при F = 2 и 7 Дж/см2 обусловлены изменением порядка многофотонности процесса фотоионизации (см. также рис. 2б) вследствие увеличения эффективной ширины запрещенной зоны [16].
Рис. 2. Плотность распределения носителей по зоне проводимости для разных моментов времени (а). Кривые нормированы на максимальные значения. Сравнение динамики средней кинетической энергии носителей со скоростью их генерации за счет фотоионизации и ударной ионизации (б). Флюенс лазерного излучения F = 2 Дж/см2.
С середины импульса, как только носители достигнут критической энергии (для CaF2 она составляет εcr = 1.5Eg = 18 эВ), и до его окончания активно действует ударная ионизация, создающая высокую плотность носителей с энергией в области 2.1 эВ и понижающая ее в области > 18 эВ (рис. 2а). При этом формируется такое распределение носителей по энергии, что их средняя энергия выходит на значение 6.7 эВ, что составляет Примечательным является тот факт, что данное значение средней кинетической энергии (0.56 Eg) не зависит от параметров лазерного излучения: флюенса (от 0.02 до 7 Дж/см2, рис. 1б), длины волны (от 1.24 до 4.4 мкм), длительности (от 80 до 400 фс), а также ширины запрещенной зоны (от 6 до 12 эВ), что было подтверждено дополнительными расчетами.
Данный факт свидетельствует об одинаковом (с точностью до множителя) распределении носителей по энергии на хвосте лазерного импульса, основной причиной формирования которого является ударная ионизация. Действительно, если потребовать, чтобы при , то, используя формулы (1) и (7), а также полагая , получим:
(9)
где плотность мощности генерации носителей содержит только ударную ионизацию:
(10)
Выражения (9) и (10) задают конечное значение средней кинетической энергии носителей и их распределение по окончании действия лазерного излучения и определяются только зависимостью νimp(ε) и параметром β.
С практической точки зрения указанная выше особенность распределения носителей по энергии указывает на возможность без проведения расчетов полной динамики свободных носителей заряда, возникающей под действием лазерного импульса, использования эффективной частоты столкновений и эффективной энергии носителей (получаемых при усреднении этих величин по энергетическому распределению носителей) для анализа процессов, следующих за фотовозбуждением носителей: электрон-фононной релаксации, люминесценции.
Как было уже отмечено, существующие скоростные модели динамики свободных носителей учитывают только лазерный нагрев носителей, но не дисперсионное расплывание носителей по энергии. Чтобы выяснить важность учета этого слагаемого, была проведена серия расчетов, часть результатов которых приведена на рис. 3. Пренебрежение дисперсионным слагаемым приводит к понижению плотности генерируемых свободных носителей в 6.7 раза (при флюенсе лазерного излучения F = 2 Дж/см2). Причина этого состоит в сниженном действии ударной ионизации (рис. 3б), из-за чего создается меньшее количество носителей, а их средняя кинетическая энергия становится выше: с 0.56 Eg до 0.73 Eg при F = 2 Дж/см2 (рис. 3а). Ошибка в несколько раз в значении созданной после прохождения лазерного импульса плотности носителей и их средней кинетической энергии может негативно сказаться на предсказательной способности теоретических расчетов процессов релаксации запасенной в электронной подсистеме энергии, например, электрон-фононного рассеяния, объемного и поверхностного микроструктурирования вещества, люминесценции.
Рис. 3. Влияние энергетического дисперсионного расплывания носителей на динамику плотности свободных носителей и их средней кинетической энергии (а), скорости генерации носителей за счет фотоионизации и ударной ионизации (б). Флюенс лазерного излучения F = 2 Дж/см2.
ЗАКЛЮЧЕНИЕ
В работе приведены результаты расчетов на основе уравнения Фоккера-Планка динамики свободных носителей и их средней кинетической энергии при воздействии фемтосекундного лазерного излучения ближнего инфракрасного диапазона (1.24 мкм) на диэлектрик CaF2. Показано, что при флюенсах лазерного излучения, превышающих значение 0.3 Дж/см2, по окончании действия лазерного излучения формируется распределение носителей по энергии, не зависящее от параметров лазерного излучения и ширины запрещенной зоны материала, так что средняя кинетическая энергия носителей становится равной 0.56 Eg. Такая особенность позволяет использовать эффективные значения частоты столкновений и энергии носителей при дальнейшем анализе релаксации энергии носителей вместо проведения подробных расчетов динамики возбуждения носителей.
Учет энергетического дисперсионного расплывания носителей в уравнении Фоккера-Планка оказывается важным, поскольку пренебрежение им приводит к занижению получаемых значений плотности носителей в несколько раз.
Работа выполнена при частичной финансовой поддержке РФФИ (проект № 19-29-12030). К. В. Львов является стипендиатом Фонда развития теоретической физики и математики “Базис”.
About the authors
K. V. Lvov
Lomonosov Moscow State University
Author for correspondence.
Email: lvov.kv14@physics.msu.ru
Russian Federation, Moscow
S. Yu. Stremoukhov
Lomonosov Moscow State University; National Research Centre “Kurchatov Institute”
Email: lvov.kv14@physics.msu.ru
Russian Federation, Moscow; Moscow
References
- Ghimire S., DiChiara A.D., Sistrunk E. et al. // Phys. Rev. Lett. 2011. V. 107. Art. No. 167407.
- Goulielmakis E., Brabec T. // Nature Photon. 2022. V. 16. P. 411.
- Стрелков В.В., Платоненко В.Т., Стержантов А.Ф., Рябикин М.Ю. // УФН. 2016. Т. 186. № 5. С. 449; Strelkov V.V., Platonenko V.T., Sterzhantov A.F., Ryabikin M.Yu. // Phys. Usp. 2016. V. 186. No. 5. P. 425.
- Schubert O., Hohenleutner M., Langer F. et al. // Nature Photon. 2014. V. 8. P. 119.
- Стремоухов С.Ю., Андреев А.В., Шутова О.А. // Изв. РАН. Сер. физ. 2016. Т. 80. № 4. С. 500; Stremoukhov S.Yu., Andreev A.V., Shoutova O.A. // Bull. Russ. Acad. Sci. Phys. 2016. V. 80. No. 4. P. 455.
- Mareev E., Pushkin A., Migal E. et al. // Sci. Reports. 2022. V. 12. Art. No. 7517.
- Гершензон Е.М., Гершензон М.Е., Гольцман Г.Н. и др. // Письма в ЖЭТФ. 1987. Т. 46. С. 226; Gershenzon E.M., Gershenzon M.E., Gol’tsman G.N. et al. // JETP Lett. 1987. V. 46. P. 226.
- Епифанов А.С., Маненков А.А., Прохоров А.М. // ЖЭТФ. 1976. Т. 70. С. 728; Epifanov A.S., Manenkov A.A., Prokhorov A.M. // Sov. JETP. 1976. V. 70. P. 728.
- Kaiser A., Rethfeld B., Vicanek M., Simon G. // Phys. Rev. B. 2000. V. 61. P. 437.
- Holway L.H. // J. Appl. Phys. 1974. V. 45. P. 677.
- Stuart B.C., Feit M.D., Herman S. et al. // Phys. Rev. B. 1996. V. 53. P. 1749.
- Stuart B.C., Feit M.D., Rubenchik A.M. et al. // Phys. Rev. Lett. 1995. V. 74. P. 2248.
- Rethfeld B. // Phys. Rev. Lett. 2004. V. 92. Art. No. 18740.
- Lvov K.V., Potemkin F.V., Stremoukhov S.Yu. // Mater. Today Commun. 2023. V. 35. Art. No. 105594.
- Medvedev N., Rethfeld B. // J. Appl. Phys. 2010. V. 108. Art. No. 103112.
- Келдыш Л.В. // ЖЭТФ. 1964. Т. 47. С. 1945; Keldysh L.V. // Sov. JETP. 1965. V. 47. P. 1307.
- Gryziński M. // Phys. Rev. 1965. V. 138. Art. No. A336.
- Balling P., Schou J. // Rep. Progr. Phys. 2013. V. 138. Art. No. 036502.
Supplementary files





