Electron gun with an auto-emission cathode based on carbon nanotubes for a powerful millimeter-range extended interaction klystron
- Authors: Rodyakin V.E.1, Aksenov V.N.2
-
Affiliations:
- Institute on Laser and Information Technologies – Branch of the Federal Scientific Research Centre “Crystallography and Photonics” of the Russian Academy of Sciences
- Lomonosov Moscow State University
- Issue: Vol 88, No 1 (2024)
- Pages: 85-88
- Section: Wave Phenomena: Physics and Applications
- URL: https://journal-vniispk.ru/0367-6765/article/view/264553
- DOI: https://doi.org/10.31857/S0367676524010158
- EDN: https://elibrary.ru/SABDGW
- ID: 264553
Cite item
Full Text
Abstract
The possibilities of using auto-emission cathode-grided module in an electron-optical system of extended interaction klystron of the millimeter wavelength range are investigated. The results of a theoretical analysis of the developed design of an electron gun with high compression ratio are presented. The limits of the angular spread of electrons on the grid, which ensures the complete electron beam transmission through the interaction system of the device, are determined.
Full Text
ВВЕДЕНИЕ
Полевая эмиссия холодных катодов является ведущим кандидатом на замену действующих термоэлектронных источников электронов в компактных терагерцовых электровакуумных усилителях и генераторах. Основой развития современных компактных вакуумных микроэлектронных систем являются холодные автоэлектронные катоды на основе массивов углеродных нано-трубок (УНТ), которые имеют несколько преимуществ перед термокатодами: отсутствие цепи накала, безинерционность, малые размеры, малый разброс эмитируемых электронов по энергиям. Тем не менее все еще существуют различные проблемы, мешающие созданию вакуумных устройств с холодным катодом из УНТ. Основной из них является трудность достижения стабильной плотности тока с протяженных катодов выше 1 А‧см–2. Однако в работе [1] сообщается о разработке катода на УНТ с плотностью тока 4.5 А‧см–2.
В обычных сеточных триодах с плоским холодным катодом из УНТ неоднородные распределения электрического поля часто появляются на поверхности катода. Такие устройства демонстрируют большие плотности эмиссионного тока непосредственно под сеткой из-за более высокого локального электрического поля с уменьшенным током эмиссии в центре отверстий сетки из-за более низкого эффективного электрического поля. В результате возникает большой ток перехвата и, следовательно, потеря электронов. Экспериментальные результаты показали, что низкая прозрачность луча может привести к малому току эмиссии, высоким потерям сетки, образованию дуг и нежелательной деформации сетки [2, 3].
В работе [4] была предложена новая архитектура с полевой эмиссией и двумя сетками на основе холодного катода УНТ. УНТ синтезируются непосредственно на поверхности катода. Первая разделительная сетка прикреплена к поверхности катода УНТ для формирования катодной матрицы УНТ. Вторая разделительная сетка отвечает за контролируемое извлечение электронов из эмиттеров УНТ. Распределение электрического поля на поверхности катода значительно лучше по сравнению с обычными плоскими катодами. Такие триодные катоды являются весьма перспективными для использования в электронных пушках электровакуумных микроэлектронных приборов.
В настоящей работе представлены результаты теоретического исследования конструкции и достижимых параметров электронной пушки с триодным катодом на основе УНТ для мощного клистрона с распределенным взаимодействием (КРВ) на частоту 105 ГГц при ускоряющем напряжении 15 кВ. Численные исследования проводились с использованием программного комплекса PARS [5]. В результате исследований и оптимизации параметров была разработана конструкция электронно-оптической системы прибора, обеспечивающая формирование электронного потока силой тока 200 мА и его дальнейшую транспортировку с коэффициентом токопрохождения 100% через систему взаимодействия КРВ.
КОНСТРУКЦИЯ ЭЛЕКТРОННОЙ ПУШКИ
Для детального исследования электронно-оптической системы с катодом на основе УНТ необходим весьма трудоемкий численный анализ с помощью трехмерных программ, позволяющий смоделировать как сам процесс автоэлектронной эмиссии, так и последующую динамику эмитированных электронов в приборе в условиях магнитной фокусировки. Однако для проведения оценочных расчетов можно разделить электронно-оптическую систему на два отдельных модуля. В качестве первого модуля будем рассматривать диодную часть прибора, которая состоит из непосредственно матричного УНТ катода и двух сеток, подобно той конструкции, что была описана в работе [4]. В качестве второго модуля будем рассматривать остальную часть прибора, включающую фокусирующий электрод, анод, магнитно-фокусирующую систему и систему взаимодействия. За счет экранирующего действия сеток первый модуль можно рассматривать отдельно, считая, что электростатические поля из второго модуля не проникают в область первого и не оказывают заметного влияния на движение электронов и автоэлектронную эмиссию в первом модуле. Характеристики электронов на второй сетке диодной пушки, включая плотность тока эмиссии и угловой разброс, могут быть получены либо в результате 3D численного анализа, либо по результатам экспериментальных измерений. В качестве левой границы второго модуля выступает вторая сетка триода, с границы которой эмитируются электроны с заданными плотностью тока и угловым разбросом.
Электронно-оптическая система выбранного для оценки прибора должна обеспечить транспортировку сплошного цилиндрического электронного пучка с током 200 мА в пролетном канале с радиусом 200 мкм. Поскольку требование компактности разрабатываемого КРВ ограничивает применение мощных соленоидов, то для фокусировки сформированного электронного пучка предполагается использовать систему на постоянных магнитах с индукцией магнитного поля на оси прибора Bz = 0.9 Тл. Плотность тока в таком электронном пучке должна составлять около 200 А‧см–2. При расчетах предполагалось, что катодный модуль обеспечивает плотность тока 2 А‧см–2. Поэтому разрабатываемая электронная пушка должна формировать электронный пучок с коэффициентом компрессии 120. Помимо очень высокой компрессии сложность задачи состояла в том, что катодно-сеточный узел имеет плоскую форму и не позволяет использовать классическую сходящуюся оптику пушки Пирса. Также при продвижении в миллиметровый и субмиллиметровый диапазоны проблемы формирования и фокусировки плотных электронных потоков усложняются значительным уменьшением размеров электронно-оптических систем, что затрудняет изготовление электродов электронной пушки с необходимой точностью. По этой причине в конструкции электронной пушки не использовались элементы со сложной для изготовления конфигурацией. Форма электродов пушки и осевое распределение магнитного поля были оптимизированы в результате многочисленных расчетов с помощью программы PARS. В силу аксиальной симметрии конструкции расчеты проводились в квазитрехмерном приближении с учетом радиальной и продольной компонент фокусирующего магнитного поля и электрических полей, а также с учетом всех трех компонент импульса электронов. При этом учитывалось влияние собственного пространственного заряда электронного пучка. При расчетах потенциал фокусирующего электрода и второй сетки, с поверхности которой осуществляется эмиссия электронов, относительно катода составлял 750 В.
РЕЗУЛЬТАТЫ ЧИСЛЕННЫХ ИССЛЕДОВАНИЙ
На рис. 1 представлены продольное распределение осевого магнитного поля (а), конструкция электронной пушки, эквипотенциали и траектории электронов при начальном нулевом угловом разбросе электронов, эмитированных с катодно-сеточного узла. Катодно-сеточный узел частично экранирован от фокусирующего магнитного поля. Величина индукции продольной компоненты магнитного поля на поверхности второй сетки равна 6.5 мТл. При данных параметрах обеспечивается формирование электронного пучка с максимальным радиусом 170 мкм и его 100% токопрохождение через канал транспортировки прибора.
Рис. 1. Распределение продольной компоненты фокусирующего магнитного поля на оси (а). Рассчитанные в программе PARS эквипотенциали и траектории электронов при нулевом угловом разбросе эмитированных электронов (б).
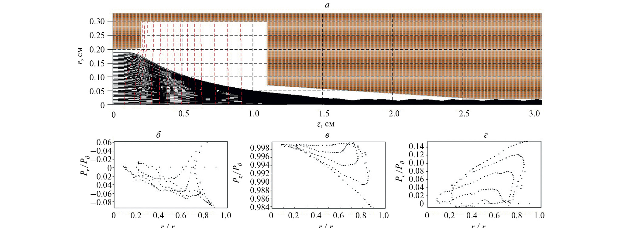
Данная конструкция была исследована на устойчивость фокусировки к угловому разбросу эмитированных с катодно-сеточного узла электронов. При этом предполагалось, что угловое распределение является однородным, что соответствует результатам, полученным в работе [6]. В результате исследований было установлено, что конструкция позволяет обеспечить 100% токопрохождение в приборе при условии, что начальный угловой разброс эмитированных электронов не превышает 2°. Большой коэффициент компрессии в данной конструкции приводит к сильному влиянию аберрации со стороны электродов электронной пушки и снижает стабильность фокусировки. На рис. 2а приведены результаты расчета траекторий электронов пучка для случая углового разброса эмитированных электронов 2°. Максимальный радиус сформированного электронного пучка составляет 190 мкм. Также на рис. 2 представлены распределения радиальной (б), продольной (в), и угловой (г) компонент импульсов электронов в выходном сечении электронной пушки. Величина поперечного эмиттанса пучка, характеризующего его фазовый объем, в этом сечении составляет 40 мрад‧мм.
Рис. 2. Рассчитанные в программе PARS эквипотенциали и траектории электронов (а), распределения продольной (б), поперечной (в) и угловой (г) компонент импульсов электронов в электронном пучке в выходном сечении электронной пушки при угловом разбросе эмитированных электронов 2°.
Для проверки полученных с помощью комплекса программ PARS результатов расчета был проведен трехмерный численный анализ формирования и транспортировки электронного пучка через систему взаимодействия с помощью программы CST Studio Suite [7]. Для этого в среде этой программы была построена теоретическая модель разработанной электронной пушки. На рис. 3а представлен разрез модели электронной пушки без магнитной фокусирующей системы. Траектории электронов, установившиеся в результате итераций по пространственному заряду, для случая начального углового разброса 2° представлены на рис. 3б. Изображенные на рисунке траектории показывают, что в статическом режиме в системе взаимодействия клистрона не происходит оседания электронов на стенки трубы дрейфа. Максимальный радиус сформированного электронного пучка составил 190 мкм, что полностью согласуется с результатами, полученными с помощью программы PARS.
Рис. 3. Конструкция электронной пушки (а) и траектории электронов, рассчитанные с помощью программы CST Studio (б).
ЗАКЛЮЧЕНИЕ
В результате исследований разработана конструкция частично магнитно-экранированной электронной пушки с катодом на УНТ с коэффициентом компрессии, равным 120, обеспечивающая формирование и 100% токопрохождение электронного потока с силой тока 200 мА через систему взаимодействия прибора в статическом режиме. Значение полной энергии полученного электронного потока, равное 3 кВт, при разработке эффективной конструкции системы взаимодействия КРВ позволит получить выходную мощность клистрона от 300 до 800 Вт.
Работа выполнена в рамках темы государственного задания ФНИЦ “Кристаллография и фотоника” РАН (в части “Эффективные мультиспектральные источники излучения и технологии на их основе”).
About the authors
V. E. Rodyakin
Institute on Laser and Information Technologies – Branch of the Federal Scientific Research Centre “Crystallography and Photonics” of the Russian Academy of Sciences
Author for correspondence.
Email: vrodyakin@mail.ru
Russian Federation, Shatura
V. N. Aksenov
Lomonosov Moscow State University
Email: vrodyakin@mail.ru
Physics Department and International Laser Center
Russian Federation, MoscowReferences
- Wei W., Yixiong Z., Xinyu Y. et al. // Proc. IVEC-2015. (Beijing, 2015) P. 1.
- Chen Q., Yuan X., Zhang Y. et al. // J. Nanoelectron. Optoelectron. 2018. V. 13. P. 1265.
- Yuan X., Zhang Y., Yang H. et al. // IEEE Electron Device Lett. 2015. V. 36. P. 399.
- Field M., Kimura T., Atkinson J. et al. // IEEE Trans. Electron Devices. 2018. V. 65. No. 6. P. 2122.
- Родякин В.Е., Пикунов В.М., Аксенов В.Н. // Журн. радиоэлектрон. 2019. № 6. С. 21.
- Iacobucci S., Fratini M., Rizzo A. et.al. // J. Appl. Phys. 2016. V. 120. Art. No. 164305.
- https://www.3ds.com/products-services/simulia/products/cst-studio-suite.
Supplementary files






