Phase transitions in rare-earth ferrimagnets with surface anisotropy near the magnetization compensation point
- Авторлар: Yurlov V.V.1,2, Zvezdin K.A.1,2,3, Zvezdin A.K.1,2,3
-
Мекемелер:
- Moscow Institute of Physics and Technology
- New Spintronic Technologies LLC
- Prokhorov General Physics Institute of the Russian Academy of Sciences
- Шығарылым: Том 88, № 1 (2024)
- Беттер: 112-118
- Бөлім: Wave Phenomena: Physics and Applications
- URL: https://journal-vniispk.ru/0367-6765/article/view/264561
- DOI: https://doi.org/10.31857/S0367676524010202
- EDN: https://elibrary.ru/RZMNHT
- ID: 264561
Дәйексөз келтіру
Толық мәтін
Аннотация
Theoretical model is proposed for calculating the phase H-T diagrams of a rare-earth ferrimagnet, considering the effects of each of the magnetic sublattices and surface anisotropy. Magnetic phase diagrams are numerically calculated. The presence of surface anisotropy leads to blurring of the second-order phase transition lines between the collinear and angular phases, displacement of the tricritical point, as well as the possibility of the formation of new phase transition lines.
Негізгі сөздер
Толық мәтін
ВВЕДЕНИЕ
Соединения типа редкоземельный ион-переходный металл (РЕ – ПМ) – это класс магнитных материалов, который привлекает все больше и больше внимания в широком спектре областей, таких как спинтроника [1, 2], оптоспинтроника [3], сверхбыстрый магнетизм [4] и многие другие. Данный интерес связан прежде всего с тем фактом, что характерные скорости спиновой динамики в ферримагнетиках заметно превышают аналогичные физические параметры в ферромагнитных пленках. Этот факт делает данные материалы перспективными с точки зрения создания новых логических запоминающих устройств [5] или иных приборов современной спинтроники [6—8].
В зависимости от состава ферримагнитные пленки могут иметь точку компенсации намагниченности TM, где антиферромагнитно-связанные намагниченности РЕ и ПМ подрешеток компенсируют друг друга [9]. Вблизи данной критической точки особенности динамики намагниченности и спин-ориентационные переходы наблюдаются особенно ярко [10—12]. Так, например, недавние эксперименты с ферримагнетиками, такими как GdFeCo, GdCo и TbFe, демонстрируют аномальные петли гистерезиса вблизи точки компенсации намагниченности [13—17]. В частности, в ферримагнетике GdFeCo наблюдаются тройные петли гистерезиса выше температуры компенсации намагничивания [13]. В то же время, эксперименты с TbFeCo, поверхность которого модифицирована слоем Ta, показывают, что тройные петли могут появляться слева от точки компенсации [15].
Чтобы объяснить подобные экспериментальные результаты, были построены теоретические модели [16], в которых приповерхностные обменные взаимодействия и анизотропии обеих магнитных подрешеток приводили к модификации фазовых диаграмм. Однако, толщина и финитный размер ферримагнитной пленки также могут оказывать влияние на спин-ориентационные переходы и изменять фазовую диаграмму. Теоретические [18, 19] и экспериментальные исследования [20] влияния поверхности на динамику намагниченности были проведены, например, для нанопроволок [21] и различных ферримагнитных материалов [22, 23]. Однако, учитывая новые экспериментальные и теоретические результаты, эта область требует дальнейшего изучения. И одним из возможных направлений является более подробное изучение влияния поверхностных эффектов на фазовые диаграммы.
В данной работе были изучены магнитные фазовые диаграммы для ферримагнитной пленки с учетом анизотропии обеих магнитных подрешеток и наведенной поверхностной анизотропии, возникающей как следствие приповерхностных взаимодействий или сильной поверхностной неоднородности магнитной пленки. С использованием значений свободной энергии двухподрешеточного ферримагнетика, были получены линии потери устойчивости коллинеарных фаз для двух различных направлений внешнего магнитного поля относительно легкой оси ферримагнетика. Влияние поверхностной анизотропии может быть учтено путем введения безразмерного параметра, который изменяет эффективную анизотропию ферримагнетика. С помощью численных методов были получены магнитные фазовые диаграммы для двух направлений внешнего магнитного поля: параллельного и перпендикулярного относительно легкой оси. В том случае, когда магнитное поле направлено вдоль легкой оси, было показано, что наличие поверхностной анизотропии приводит к смещению трикритической точки в область низких магнитных полей и сближению с линией фазового перехода первого рода между коллинеарными фазами. В случае, когда магнитное поле приложено перпендикулярно легкой оси, поверхностная анизотропия может обеспечить наличие фазового перехода первого рода между двумя коллинеарными фазами.
МОДЕЛЬ И ОСНОВНЫЕ УРАВНЕНИЯ
Для получения магнитной фазовой диаграммы ферримагнетика с поверхностной анизотропией мы воспользуемся эффективным термодинамическим потенциалом в предположении, что переходный металл (d-подрешетка или железная подрешетка) намагничен до насыщения (обменное поле взаимодействия железной подсистемы d-d составляет порядка Э), а редкоземельный ион (f-подрешетка или редкоземельная подрешетка) рассматривается как парамагнетик, помещенный в эффективное магнитное поле, создаваемое железной подрешеткой и внешним магнитным полем. Применимость этой модели обосновывается иерархией обменных взаимодействий в ферримагнитных материалах. Таким образом, эффективный термодинамический потенциал без учета поверхностной анизотропии можно записать в виде [16, 17]:
(1)
где – намагниченность железной подрешетки, – намагниченность редкоземельной подрешетки, – эффективное магнитное поле, λ – константа обменного f-d взаимодействия, – внешнее магнитное поле, – энергия магнитной анизотропии и – энергия неоднородного обмена. Выбранная нами модель описания ферримагнитной системы позволяет записать намагниченность f-подрешетки как функцию Бриллюэна , где – g-фактор Ланде, – полный угловой момент редкоземельных ионов, – магнетон Бора. Энергия анизотропии ферримагнитной пленки записывается в виде:
(2)
где Кd и Кf – константы одноосной анизотропии d- и f-подрешеток соответственно, Ψ – угол между намагниченностью d-подрешетки и легкой осью пленки. Энергия неоднородного обмена может быть записана как , где А – константа неоднородного обмена.
Теперь мы должны принять во внимание поверхностные эффекты. Предположим, что в результате неидеальности технологического производства или иных поверхностных взаимодействий в рамках магнитных гетероструктур происходит закрепление спинов на поверхности магнитной пленки. Одним из возможных следствий закрепления спинов на поверхности пленки может быть появление наведенной поверхностной анизотропии, что будет выражаться в модификации краевых условий на поверхности пленки. Прежде чем записать вид данной энергии, сделаем ряд предположений для дальнейшего описания задачи. Рассмотрим пленку толщиной , причем наведенная поверхностная анизотропия одинакова на краях пленки и , где и – константы поверхностной магнитной анизотропии d- и f-подрешеток. Для простоты будем считать, что намагниченность равномерно распределена в плоскости пленки. Данные предположения применимы для большинства экспериментальных материалов большого размера. Таким образом, можно отметить, что при наличии неоднородности вдоль оси z симметричное распределение является наиболее выгодным и . После сделанных предположений запишем выражение для свободной энергии поверхностной анизотропии в виде где – величина угла Ψ на поверхности пленки. Наконец, запишем свободную энергию ферримагнетика путем интегрирования (1) по оси z:
(3)
Свободная энергия, записанная в виде (3), описывает различные состояния ферримагнитной системы в зависимости от температуры, внешнего магнитного поля, а также поверхностной анизотропии.
МАГНИТНЫЕ ФАЗОВЫЕ ДИАГРАММЫ
Воспользуемся выражением свободной энергии ферримагнитной пленки (2) для того, чтобы аналитически получить линии потери устойчивости коллинеарных фаз с учетом поверхностных эффектов. Мы рассмотрим два случая с разными направлениями внешнего магнитного поля : (а) магнитное поле приложено вдоль легкой оси и (б) магнитное поле перпендикулярно легкой оси. Для случая (a) справедливо, что , а для случая (б) где θ – угол между намагниченностью d-подрешетки и легкой осью ферримагнетика. Не теряя общности, мы рассмотрим только случай (а), когда магнитное поле направлено вдоль легкой оси. Для случая (б) выводы, приведенные ниже, можно провести аналогичным образом.
В результате варьирования свободной энергии (3) получим уравнения Эйлера-Лагранжа и граничные условия для данной вариационной задачи:
(4)
где индекс s во втором уравнении используется в качестве обозначения границ пленки по оси z. В нулевом приближении, которое выражается в отсутствии поверхностной анизотропии, фазовая диаграмма ферримагнетика выделяет коллинеарные (намагниченности подрешеток параллельны друг другу) и неколлинеарную области, отделенные друг от друга линиями потери устойчивости. Данные линии в нулевом приближении отвечают углам и которые являются минимумами эффективного термодинамического потенциала в коллинеарных областях диаграммы. В связи с этим линеаризуем уравнения (4) вблизи линий потери устойчивости. Приведем аналитические выражения только для случая Далее попытаемся отыскать решение линеаризованных уравнений в виде:
(5)
где – вектор, лежащий в плоскости магнитной пленки. После подстановки (5) в линеаризованные уравнения Эйлера-Лагранжа (4) мы получим краевую задачу на собственные значения типа Штурма-Лиувилля. В результате некоторых математических преобразований легко получить трансцендентное выражение на вектор :
(6)
где . Условием устойчивости коллинеарных фаз (когда намагниченности обеих подрешеток параллельны и θ = 0 или θ = π) является то, что уравнение (6) не имеет действительных решений. Принимая это во внимание, а также что правая часть уравнения не зависит от , можем переписать уравнение устойчивости как где введены следующие параметры: – величина, характеризующая отношение толщины пленки d к длине локализации неоднородности , где – величина, выражающая собой некоторую характеристику материала, связанную с его поверхностью, ; – параметр, который определяется уравнением устойчивости. Таким образом, легко выразить линии потери устойчивости через эффективный параметр для θ = 0 через выражение для . Причем появление данного параметра есть следствие наличия приповерхностной анизотропии. Проводя аналогичные рассуждения для θ = π, получим линии потери устойчивости коллинеарных фаз:
(7)
Аналогично можно получить линии потери устойчивости для случая, когда внешнее магнитное поле перпендикулярно легкой оси ферримагнетика:
(8)
Здесь мы должны отметить, что данная теория применима в микроскопическом диапазоне для толщин пленок м. В наноразмерном диапазоне поверхностные эффекты несущественно влияют на фазовую диаграмму, что легко получить из (3) путем усреднения по характерному объему элементарной ячейки.
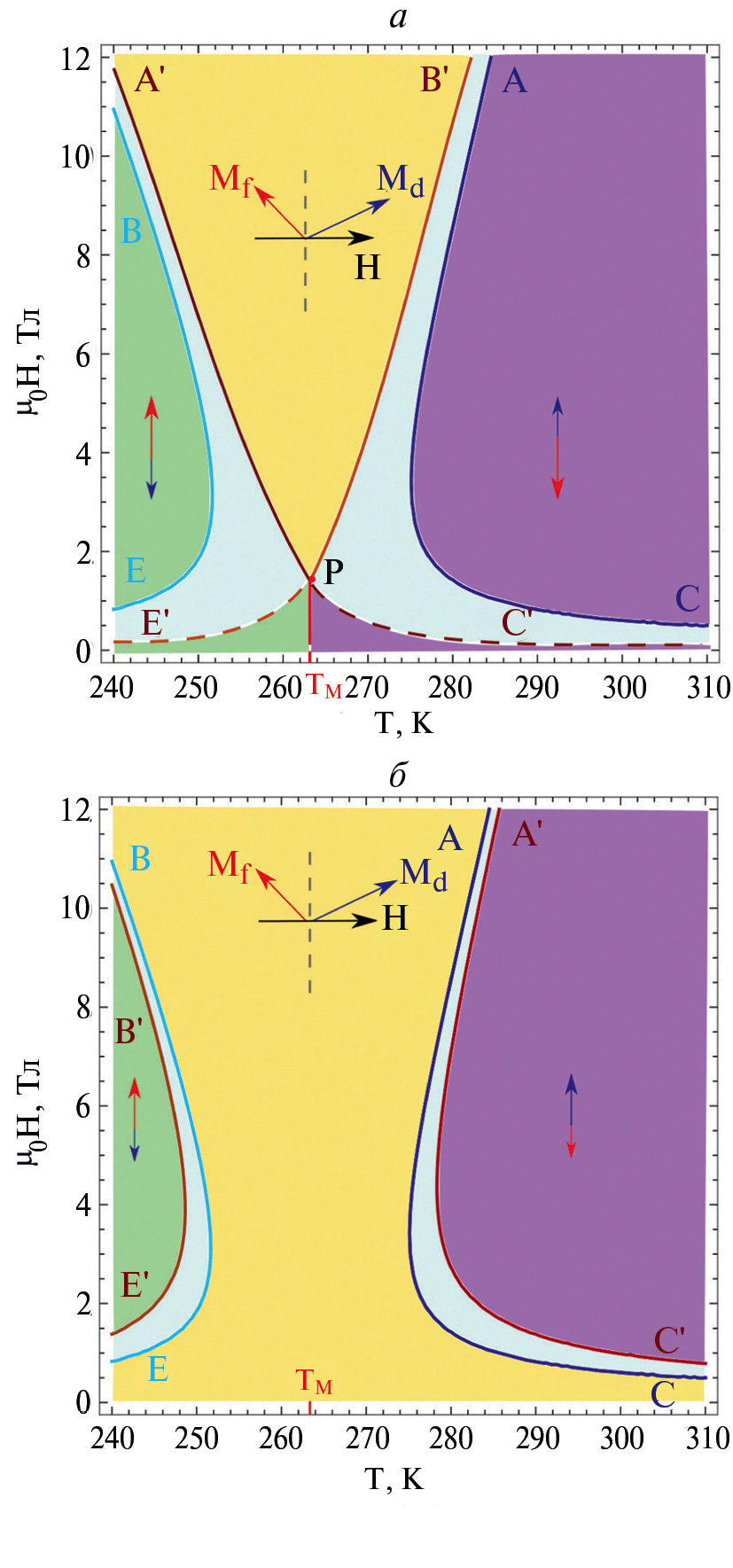
Используя уравнения (7), уравнения Эйлера-Лагранжа (4), свободную энергию (3), получим магнитную фазовую H-T диаграмму ферримагнитной пленки, модифицированную наведенной поверхностной анизотропией. Для численных расчетов мы используем параметры GdFeCo: ион, ион, эрг/см3, эрг/ см3, Э, К. Здесь стоит отметить значимость того факта, что анизотропия редкоземельной подрешетки может быть больше, чем анизотропия железной подрешетки [16]. На практике это проявляется в появлении фазового перехода первого рода между коллинеарной и угловой фазами справа от точки компенсации. На рис. 1 и 2 представлены магнитные фазовые диаграммы ферримагнетика, учитывающие наличие поверхностной анизотропии. Области, где θ = 0 (фиолетовая область на рис. 1 и 2) и θ = π (зеленая область на рис. 1 и 2), отвечают коллинеарным фазам ферримагнетика, неколлинеарная фаза на рис. 1 и 2 выделена желтым цветом. Синяя область на рис. 1 и 2 показывает смещение линий фазового перехода второго рода при включении поверхностной анизотропии.
Рис. 1. Фазовая H-T диаграмма ферримагнетика в магнитном поле, приложенном вдоль легкой оси в широком диапазоне полей; сплошные линии и штриховые линии обозначают фазовый переход второго рода между коллинеарной и угловой фазами и фазовый переход второго рода между коллинеарными фазами соответственно (а). Увеличенная фазовая диаграмма вблизи трикритических точек Р и Р'; прямая TMR'P' показывает фазовый переход первого рода между коллинеарными фазами, кривые RP и R'P' показывают фазовый переход первого рода между угловой и коллинеарной фазами (б). Уменьшенная фазовая диаграмма вблизи температуры компенсации намагничивания TM (в). AC и BE – линии потери устойчивости в условии отсутствия поверхностной анизотропии; A'C' и B'E' – линии потери устойчивости при наличии анизотропии поверхности. Все диаграммы построены для .
Рис. 2. Фазовая H-T диаграмма ферримагнетика в магнитном поле, направленном перпендикулярно легкой оси вблизи точки компенсации намагниченности; сплошные линии показывают фазовый переход второго рода между коллинеарной и угловой фазами, штриховые линии показывают фазовый переход второго рода между коллинеарными фазами; AC и BE – линии потери устойчивости при нулевой поверхностной анизотропии; A'C' и B'E' – линии потери стабильности при наличии поверхностной анизотропии; диаграмма построена при (а). Магнитная фазовая диаграмма вблизи температуры компенсации TM; диаграмма построена при (б).
ОСНОВНЫЕ РЕЗУЛЬТАТЫ
Магнитные фазовые диаграммы на рис. 1 и 2 демонстрируют три основные области, отвечающие разным взаимным ориентациям намагниченности двух подрешеток. Этими фазами являются: коллинеарная фаза в области высоких температур (θ = 0 фиолетовая область), коллинеарная фаза в области низких температур (θ = π зеленая область) и неколлинеарная фаза которая обозначается желтым цветом.
Для начала обсудим случай (а), когда внешнее магнитное поле параллельно легкой оси ферримагнетика. На рис. 1a изображена фазовая диаграмма в широком диапазоне магнитных полей. Штриховыми линиями обозначается фазовый переход второго рода между двумя коллинеарными фазами. На рис. 1б и 1в демонстрируется область фазовой диаграммы вблизи температуры компенсации намагниченности. Линии AC и BE являются линиями потери устойчивости коллинеарных фаз в отсутствие поверхностных эффектов (). Обратим внимание, что сплошные линии обозначают фазовый переход второго года между коллинеарной и угловой фазами. Штриховые линии указывают на фазовый переход между двумя коллинеарными фазами, причем область под штриховой линей отвечает области сосуществования двух коллинеарных фаз. Выделенная зеленым цветом линия на рис. 1а демонстрирует ситуацию, когда . При пересечении данной линии наиболее выгодным становится ферромагнитное упорядочивание подрешеток. При включении поверхностных эффектов эффективная анизотропия изменяется, как следует из (7), и линии AC и BE превращаются в A'C' и B'E'. На рис. 1б и 1в синий цвет указывает на разницу между двумя случаями, описанными выше. С увеличением величины магнитного поля линии AC, BE и A'C', B'E' быстро приближаются друг к другу, переходя друг в друга. Прямая на рис. 1б показывает линию фазового перехода первого рода между коллинеарными фазами, где Линия RP является линией фазового перехода первого рода между угловой и коллинеарной фазами θ = 0. Символом P обозначается трикритическая точка ферримагнетика. Обращаем внимание, что данная точка расположена справа от точки компенсации намагниченности TM из-за влияния анизотропии редкоземельной подрешетки. Линия RP преобразуется в R'P' из-за наведенной поверхностной анизотропии и, как следствие, область фазового перехода первого рода между коллинеарной и угловой фазами существенно сокращается, а трикритическая точка стремится к линии фазового перехода первого рода между коллинеарными фазами. Таким образом, рис. 1б и 1в показывают, что анизотропия поверхности играет значительную роль вблизи магнитного поля, – критическое поле в окрестности точки компенсации намагниченности. В результате наведенные поверхностные эффекты способны перемещать трикритическую точку как в высокотемпературную, так и в низкотемпературную области. В частности, поверхностные явления позволяют наблюдать трикритическую точку слева от точки компенсации при учете влияния поверхностных обменных взаимодействий, что продемонстрировано в работе [15]. Однако, учитывая возможную связь параметров анизотропии и констант поверхностной анизотропии, можно сделать вывод о том, что трикритическая точка может перемещаться в низкотемпературную область фазовой диаграммы под воздействием иных поверхностных эффектов.
Аналогичная ситуация имеет место в случае (б), когда магнитное поле перпендикулярно легкой оси ферримагнетика. Рисунок 2б показывает, что область угловой фазы расширяется из-за наличия поверхностной анизотропии в случае, когда . Однако наиболее интересный эффект можно увидеть, если . В этом случае спины жестко закрепляются на поверхности магнетика, что может приводить к образованию зародышей новых фаз. В результате переход между коллинеарными фазами в области низких полей может происходить посредством фазового перехода первого рода. Этот эффект продемонстрирован на рис. 2а. В случае, описанном выше, линии AC и BE превращаются в A'C' и B'E'. Также следует отметить, что если анизотропия d-подрешетки выше анизотропии f-подрешетки, то возможен фазовый переход первого порядка между коллинеарной фазой θ = π и угловой фазой, поскольку трикритическая точка в этом случае будет расположена ниже температуры компенсации.
ЗАКЛЮЧЕНИЕ
Изучена магнитная фазовая диаграмма ферримагнетика GdFeCo при наличии поверхностной магнитной анизотропии для двух различных случаев: внешнее магнитное поле параллельно и перпендикулярно легкой оси ферримагнетика. Линии потери устойчивости получены из свободной энергии ферримагнетика в предположении, что анизотропия f-подрешетки больше, чем анизотропия d-подрешетки. В данном конкретном случае трикритическая точка находится выше температуры компенсации. Численными методами была получена фазовая диаграмма ферримагнетика, а также проанализированы возможные фазовые переходы в магнитном материале. Мы показали, что в случае, когда магнитное поле параллельно легкой оси, линии потери устойчивости и трикритическая точка движутся в сторону низких полей из-за наличия поверхностной анизотропии. Более того, область фазового перехода первого рода между угловой и коллинеарной фазами сужается из-за поверхностных эффектов. В другом случае, когда магнитное поле перпендикулярно легкой оси, мы продемонстрировали возможность реализации фазового перехода первого рода между коллинеарными фазами из-за наличия поверхностных эффектов. Данные результаты могут быть полезны для теоретического и экспериментального изучения спин-ориентационных переходов в ферримагнитных пленках.
Это исследование было поддержано Российским научным фондом (проект № 22-12-00367).
Авторлар туралы
V. Yurlov
Moscow Institute of Physics and Technology; New Spintronic Technologies LLC
Хат алмасуға жауапты Автор.
Email: yurlov.vv@phystech.edu
Ресей, Dolgoprudny; Moscow
K. Zvezdin
Moscow Institute of Physics and Technology; New Spintronic Technologies LLC; Prokhorov General Physics Institute of the Russian Academy of Sciences
Email: yurlov.vv@phystech.edu
Ресей, Dolgoprudny; Moscow; Moscow
A. Zvezdin
Moscow Institute of Physics and Technology; New Spintronic Technologies LLC; Prokhorov General Physics Institute of the Russian Academy of Sciences
Email: yurlov.vv@phystech.edu
Ресей, Dolgoprudny; Moscow; Moscow
Әдебиет тізімі
- Žutić I., Fabian J., Das Sarma S. // Rev. Mod. Phys. 2004. V. 110. No. 7. P. 323.
- Bader S.D., Parkin S.S.P. // Annu. Rev. Condens. Matter Phys. 2010. V. 1. No. 1. P. 71.
- Huisman T.J., Ciccarelli C., Tsukamoto et al. // Appl. Phys. Lett. 2017. V. 110. No. 7. Art. No. 072402.
- Kirilyuk A., Kimel F.V., Rasing T. // Rev. Mod. Phys. 2010. V. 82. No. 3. P. 2731.
- Wilson R.B., Gorchon J., Yang Y. et al. // Phys. Rev. B. 2017. V. 95. No. 18. Art. No. 180409.
- Fert A., Piraux L. // J. Magn. Magn. Mater. 1999. V. 200. No. 1. P. 338.
- Srinivasan G., Rao B.U.M., Zhao J., Seehra M.S. // Appl. Phys. Lett. 1991. V. 59. No. 3. P. 372.
- Tabata H., Kawai T. // Appl. Phys. Lett. 1997. V. 70. No. 3. P. 321.
- Moreno R., Ostler T.A., Chantrell R.W., Chubykalo-Fesenko O. // Phys. Rev. 2017. V. 96. No. 1. Art. No. 014409.
- Kimel A.V., Li Mo // Nature Rev. Mater. 2019. V. 4. No. 3. P. 189.
- Stanciu C.D., Tsukamoto A., Kimel A.V. et al. // Phys. Rev. Lett. 2007. V. 99. No. 21. Art. No. 217204.
- Yurlov V.V., Zvezdin K.A., Kichin G.A. et al. // Appl. Phys. Lett. 2020. V. 116. No. 22. Art. No. 222401.
- Okamoto K., Miura N. // Physica B. Cond. Matter. 1989. V. 155. No. 1. P. 259.
- Tu Ch., Malmhäll R. // J. Magn. Magn. Mater. 1983. V. 35. No. 1. P. 269.
- Davydova M.D., Skirdkov P.N., Zvezdin K.A. et al. // Phys. Rev. Appl. 2020. V. 13. No. 3. Art. No. 034053.
- Davydova M.D., Zvezdin K.A., Becker J. et al. // Phys. Rev. B. 2019. V. 100. No. 6. Art. No. 064409.
- Becker J., Tsukamoto A., Kirilyuk A. et al. // Phys. Rev. Lett. 2017. V. 118. No. 11. Art. No. 117203.
- Sayko G.V., Utochkin S.N., Zvezdin A.K. // J. Magn. Magn. Mater. 1992. V. 113. No. 1. P. 194.
- Wei Jiang, Jun-Nan Ch., Ben M., Zan W. // Physica E. Low-Dimens. 2014. V. 61. P. 101.
- Noh Seung-Hyun, Na Wonjun, Jang Jung-Tak et al. // Nano Lett. 2012. V. 12. No. 7. P. 3716.
- Wei Jiang, Fan Zhang, Xiao-Xi Li et al. // Physica E. Low-Dimens. 2013. V. 47. P. 95.
- Slonczewski J.C. // J. Magn. Magn. Mater. 1992. V. 117. No. 3. P. 368.
- Zhang K., Fredkin D.R. // J. Appl. Phys. 1996. V. 79. No. 8. P. 5762.
Қосымша файлдар




