Magnetism and magnetic phase transition in nanowires of diamagnetically diluted superstrong magnets ε-In0.04Fe1.96O3
- Authors: Dmitriev A.I.1, Dmitrieva M.S.1
-
Affiliations:
- Federal Research Center for Problems of Chemical Physics and Medicinal Chemistry of the Russian Academy of Sciences
- Issue: Vol 88, No 2 (2024)
- Pages: 231-235
- Section: New Materials and Technologies for Security Systems
- URL: https://journal-vniispk.ru/0367-6765/article/view/266110
- DOI: https://doi.org/10.31857/S0367676524020116
- EDN: https://elibrary.ru/RRPCDN
- ID: 266110
Cite item
Full Text
Abstract
The temperature dependences of the magnetization of ε-In0.04Fe1.96O3 nanoparticles were measured in the cooling and heating regimes. At a temperature of 150 K, a sharp drop in their magnetization is observed. Evidence is obtained that the observed magnetic phase transition is accompanied by a reversal of the magnetization due to a first-order spin-reorientation transition. The experimental results are described in terms of the thermodynamic approach.
Full Text
ВВЕДЕНИЕ
Оксиды железа (III) существуют в четырех основных полиморфных модификациях: α-Fe2O3 (гематит), γ-Fe2O3 (магемит), ε-Fe2O3 и β-Fe2O3, каждая из которых имеет различные структурные, электрические и магнитные свойства [1, 2]. Гематит является наиболее устойчивым полиморфом. Метастабильный ε-Fe2O3 в последние годы привлек внимание из-за его огромного значения коэрцитивной силы до 20 кЭ при комнатной температуре и способности поглощать электромагнитные волны миллиметрового диапазона [3, 4]. Все вместе это обеспечивает большой потенциал применимости ε-Fe2O3 для фотокатализа, газовых датчиков, магнитных/электрических перестраиваемых высокоскоростных устройств беспроводной связи и биомедицинских приложений [5–10]. ε-Fe2O3 мало подходит для применения в постоянных магнитах из-за его низкой остаточной намагниченности. Ожидается, что он будет применяться в магнитных носителях информации высокой плотности, требующих низкой остаточной намагниченности, сильной магнитной анизотропии и большой коэрцитивной силы, чтобы термические флуктуации не приводили к потере ориентации магнитного момента и к потере информации [11, 12].
В условиях сильной анизотропии магнитные поля, требуемые для переключения направления намагниченности (а значит изменения битового состояния ячейки памяти), становятся неприемлемо большими. Это обозначило задачу разработки термомагнитного способа записи/стирания информации при переходе температуры магнитной среды через точку компенсации или температуру спиновой переориентации. Спонтанная спиновая переориентация происходит в наночастицах ε-Fe2O3 при температуре T = 154 К [13]. Поднять температуру спин-переориентационного перехода в наночастицах ε-Fe2O3 можно вплоть до комнатной путем диамагнитного разбавления ε-Fe2O3 путем введения различных примесей In, Ga, Al [14–15]. Из вышесказанного можно заключить, что исследования параметров магнитного фазового перехода в ε-Fe2O3 являются приоритетными для области современного материаловедения, занимающейся поиском и созданием новых материалов для элементной базы приборов спинтроники. Спин-переориентационный переход в ε-Fe2O3 сопровождается аномалиями магнитных свойств. Динамическая магнитная восприимчивость в окрестности перехода имеет максимум [16], коэрцитивная сила проходит через минимум [17]. Исходя из этого, наночастицы ε-Fe2O3 вблизи спин-переориентационного перехода привлекательны для использования в качестве магнитомягких и магнитострикционных материалов.
Цель работы: установление механизмов перемагничивания, определение микроскопических параметров обменного взаимодействия, разделение вкладов высокотемпературной и низкотемпературной фаз в суммарную намагниченность наночастиц, а также поиск магнитодинамических и термодинамических закономерностей магнитного фазового перехода в них.
МЕТОДИКА ЭКСПЕРИМЕНТА
Наночастицы ε-In0.04Fe1.96O3 сферической формы со средним диаметром 25 нм были изготовлены путем использования двух методов: синтеза в обратных мицеллах и золь-гель метода [14, 15]. Наночастицы вырастали в растворе обратных мицелл, содержащем нитраты железа и индия. Аттестацию наночастиц проводили методами масс-спектрометрии, просвечивающей электронной микроскопии, рентгеновской дифракции [14, 15]. Наночастицы имеют орторомбическую кристаллическую структуру с четырьмя неэквивалентными катионными позициями ионов Fe3+. Одна из них имеет тетраэдрическое окружение, а три другие – октаэдрическое окружение. Ионы индия являются примесью замещения и встраиваются в октаэдрические позиции ионов железа.
РЕЗУЛЬТАТЫ И ИХ ОБСУЖДЕНИЕ
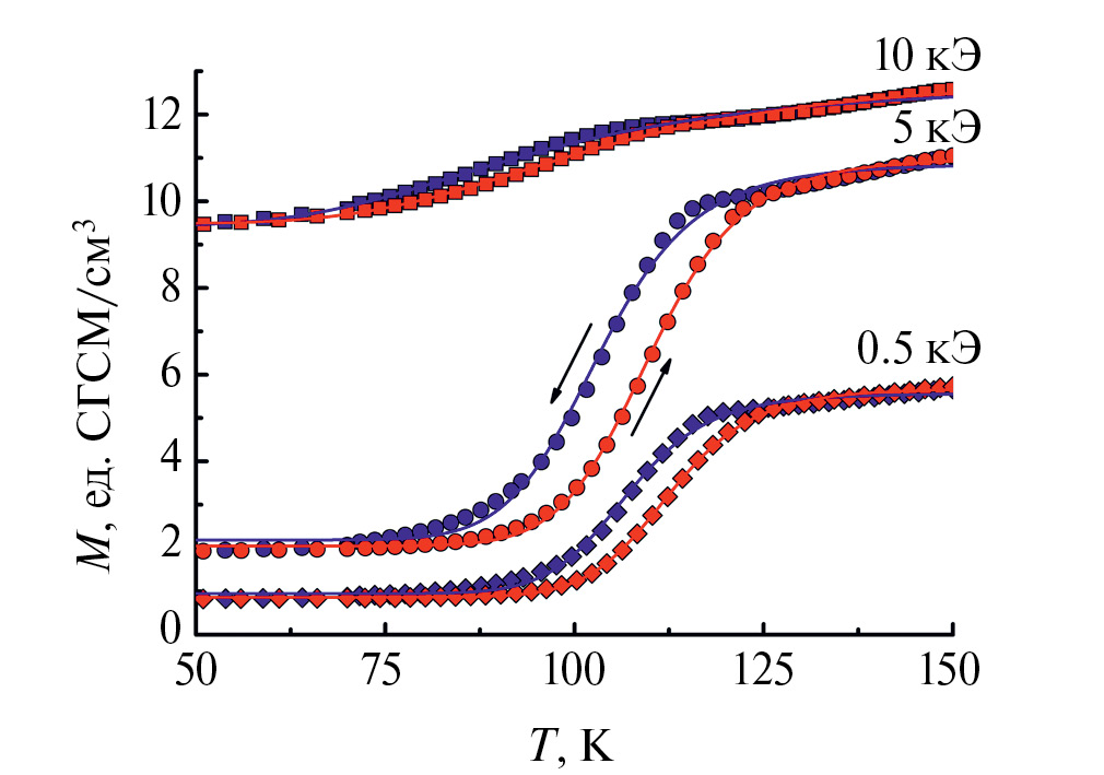
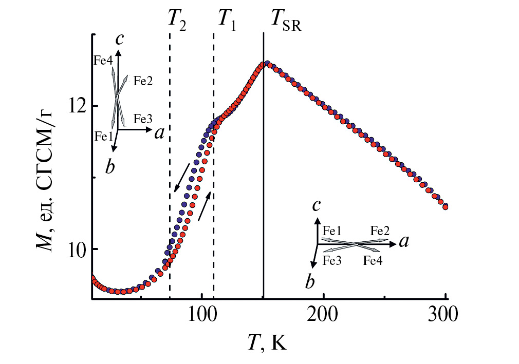
На рис. 1 представлены температурные зависимости намагниченности наночастиц ε-In0.04Fe1.96O3, измеренные в режиме охлаждения и нагревания. При понижении температуры наблюдается рост намагниченности, который сменяется резким падением при температуре TSR = 150 К. В сравнительно узком интервале температур Т = 75–150 К намагниченность образца уменьшается почти до нуля (рис. 1). При повышении температуры образец принимает исходное значение намагниченности при более высоких температурах, т.е. наблюдается температурный гистерезис. Гистерезисные явления, сопровождающие образование зародышей другой фазы и протекание фазовых превращений с конечной скоростью, характерны для фазовых переходов первого рода. Интервал температур Т = 75–125 К, где наблюдается температурный гистерезис, соответствует области сосуществования метастабильных состояний. Зародышами новой фазы обычно служат доменные стенки, так как в них всегда имеются участки, в которых направление намагниченности совпадает с таковым в новой фазе.
Рис. 1. Температурные зависимости намагниченности наночастиц ε-In0.04Fe1.96O3, измеренные при охлаждении (синие символы) и нагревании (красные символы). Сплошной вертикальной линией обозначена температура спин-переориентационного перехода TSR = 150 К. Пунктирными вертикальными линиями обозначены температуры T1 и T2, соответствующие области метастабильного состояния сосуществования обеих фаз. Стрелками указаны направления изменения температуры. На врезках схематически изображены направления намагниченности каждой из подрешеток железа относительно кристаллографических осей в каждой из фаз
К настоящему времени наблюдаемый магнитный фазовый переход из высокотемпературной фазы (ВТФ) с высоким значением намагниченности в низкотемпературную фазу (НТФ) с низким значением намагниченности был описан в рамках различных подходов и приближений [11, 13, 17]. Ключевым из них является магнитодинамический подход, согласно которому наблюдаемый магнитный фазовый переход есть спин-переориентационный переход. Этот переход характеризуются тем, что при изменении температуры, меняется ориентация намагниченности относительно кристаллографических осей (осей легкого намагничивания). В общем случае имеют место быть три возможные фазы. Две коллинеарные фазы с θ = 0, π, K1 ≥ 0 (ВТФ) и θ = π/2, 3π/2, K1 + 2K2 ≤ 0 (НТФ) с анизотропией типа легкая ось и легкая плоскость, соответственно [18]. И угловая фаза с sin2θ = – K1/2K2, K1 < 0 и K1 + 2K2 ≥ 0 c анизотропией типа конус осей легкого намагничивания [18]. Здесь θ – угол, задающий ориентацию вектора намагниченности в кристалле, K1 и K2 – первая и вторая константы магнитной анизотропии. Если при изменении температуры K1 изменяет знак, а K2 > 0, то в кристалле могут существовать обе коллинеарные фазы и угловая фаза. Спиновая переориентация происходит в виде двух фазовых переходов второго рода. При K2 < 0 угловая фаза является неустойчивой, и температурные области существования коллинеарных фаз перекрываются (рис. 2).
Рис. 2. Схема фазовой диаграммы наночастиц ε-In0.04Fe1.96O3 в координатах (θ, T). Области с наклонной штриховкой соответствуют каждой из фаз (ВТФ и НТФ). Вертикальными линиями обозначены температуры T1 и T2, соответствующие области метастабильного состояния сосуществования обеих фаз. Этой области соответствует перекрестная штриховка. Перекрывающиеся границы областей сосуществования фаз при температурах T1 и T2 задаются выражениями K1(T2) = 0 и K1(T1) + 2K2 = 0 (см. врезки)
Спиновая переориентация происходит в виде одного фазового перехода первого рода. Изменение знака констант анизотропии ε-Fe2O3 при изменении температуры связывают с конкуренцией вкладов одноионной и диполь-дипольной анизотропий, имеющих различную температурную зависимость [13].
Другим фундаментальным подходом является термодинамический, который будет рассмотрен ниже. Для этого воспользуемся моделью Слихтера и Дрикамера [19], обычно применяемой для описания термодинамики перехода из низкоспинового в высокоспиновое состояние ионов переходных металлов при спин-кроссовере. В работе Слихтера и Дрикамера энергия Гиббса записывается в виде [19]:
. (1)
Здесь GLT и GHT – потенциалы Гиббса НТФ и ВТФ, соответственно; γ – приведенное количество ВТФ; T – температура; Smix = –kB[γlnγ+(1–γ)ln(1–γ)] – конфигурационная энтропия (kB – постоянная Больцмана); gint = Гγ(1–γ) – энергия взаимодействия (Г – параметр взаимодействия). Уравнение равновесия фаз получается приравниванием к нулю производной энергии Гиббса по параметру γ:
(2)
или
, (3)
где ΔH и ΔS – изменение энтальпии и энтропии при магнитном фазовом переходе. Решая уравнение (3) допустив, что Г → 0, можно записать уравнение, описывающее зависимость γ(T):
, (4)
где T1/2 = ΔH/ΔS – температура, при которой γ = 0.5 (равновесие между НТФ и ВТФ).
Температурная зависимость намагниченности M(T) определяется вкладами намагниченностей НТФ и ВТФ:
, (5)
где MLT и MHT – намагниченности НТФ и ВТФ, соответственно. Значения MLT и MHT в узком диапазоне температур магнитного фазового перехода можно принять постоянными.
На рис. 3 представлены фрагменты температурных зависимостей намагниченности наночастиц ε-In0.04Fe1.96O3 в окрестности температурного гистерезиса, измеренные в различных магнитных полях. Сплошными линиями показана аппроксимация с помощью выражения (5). Из аппроксимации были определены значения намагниченностей MLT и MHT, энтальпии и энтропии, а также другие термодинамические характеристики обсуждаемого спин-переориентационного перехода, регистрируемого в различных магнитных полях (табл. 1).
Рис. 3. Фрагменты температурных зависимостей намагниченности наночастиц ε-In0.04Fe1.96O3 в окрестности температурного гистерезиса, измеренные в различных магнитных полях. Стрелками указаны направления изменения температуры. Сплошными линиями показаны аппроксимации
Таблица 1. Термодинамические характеристики спин-переориентационного фазового перехода в наночастицах ε-In0.04Fe1.96O3
T1/2↓, К | T1/2↑, К | ΔT, К | ΔH, кДж/моль | |
0.5 кЭ | 107.1 | 112.7 | 5.6 | 4.1 |
5 кЭ | 103.4 | 110.2 | 6.8 | 13.9 |
10 кЭ | 95.1 | 103.5 | 8.4 | 17.5 |
На рис. 4а приведен пример температурной зависимости γ, установленной из аппроксимации. Из табл. 1 следует, что под влиянием магнитного поля напряженностью H происходит линейное смещение температур переориентации ΔT(H) ~ H (рис. 4б), в согласии с теоретическими представлениями [18].
Рис. 4. Фазовая диаграмма наночастиц ε-In0.04Fe1.96O3 в координатах (γ, T). Стрелками указаны направления изменения температуры. Вертикальными пунктирными линиями обозначены температуры T1/2↓ и T1/2↑, при которых γ = 0.5 (отмечено горизонтальной пунктирной линией) соответствует равновесию ВТФ и НТФ. Разность T1/2↑ – T1/2↓ есть ширина температурного гистерезиса спиновой переориентации ΔT. Полевая зависимость смещения температуры спиновой переориентации ΔT(Н). Сплошной линией показана аппроксимация линейной функцией
ЗАКЛЮЧЕНИЕ
Измерения магнитных свойств в области спиновой переориентации обнаруживают температурный гистерезис при охлаждении и нагревании наночастиц ε-In0.04Fe1.96O3, характерный для фазового перехода первого рода. Разделены вклады высокотемпературной фазы с высоким значением намагниченности и низкотемпературной фазы с низким значением намагниченности в суммарную намагниченность наночастиц ε-In0.04Fe1.96O3. Установлены основные термодинамические закономерности магнитного фазового перехода. Определены энтальпии и энтропии, а также другие термодинамические характеристики спин-переориентационного перехода, регистрируемого в различных магнитных полях. Обнаружено, что спин-переориентационный переход является магниточувствительным.
Работа выполнена в рамках темы государственного задания № FFSG-2024-0009. Авторы признательны Р.Б. Моргунову за предоставленные образцы.
About the authors
A. I. Dmitriev
Federal Research Center for Problems of Chemical Physics and Medicinal Chemistry of the Russian Academy of Sciences
Author for correspondence.
Email: aid@icp.ac.ru
Russian Federation, Chernogolovka
M. S. Dmitrieva
Federal Research Center for Problems of Chemical Physics and Medicinal Chemistry of the Russian Academy of Sciences
Email: aid@icp.ac.ru
Russian Federation, Chernogolovka
References
- Machala L., Tucek J., Zboril R. // Chem. Mater. 2011. V. 23. No. 14. P. 3255.
- Zboril R., Mashlan M., Petridis D. // Chem. Mater. 2002. V. 14. No. 3. P. 969.
- Namai A., Sakurai S., Nakajima M. et al. // J. Amer. Chem. Soc. 2009. V. 131. No. 3. P. 1170.
- Namai A., Yoshikiyo M., Yamada K. et al. // Nature Commun. 2012. V. 131. Art. No. 1035.
- Peeters D., Barreca D., Carraro G. et al. // J. Phys. Chem. C. 2014. V. 118. No. 22. P. 11813.
- Kubickova L., Brazda P., Veverka M. et al. // J. Magn. Magn. Mater. 2019. V. 480. No. 15. P. 154.
- Li J.G., Fornasieri G., Bleuzen A. et al. // Chem. Nano Mater. 2019. V. 4. No. 11. P. 1168.
- Tanskanen A., Karppinen M. et al. // Phys. Stat. Solidi (RRL). 2018. V. 12. No. 12. Art. No. 1800390.
- Kralovec K., Havelek R., Koutova D. et al. // J. Biomed. Mater. Res. A. 2020. V. 108. No. 7. P. 1563.
- Gich M., Frontera C., Roig A. et al. // Nanotechnology. 2006. V. 17. No. 3. P. 687.
- Tucek J., Zboril R., Namai A., Ohkoshi S. // Chem. Mater. 2010. V. 22. No. 24. P. 6483.
- Tokoro H., Namai A., Ohkoshi S. // Dalton Trans. 2021. V. 50. No. 2. P. 452.
- Sakurai S., Jin J., Hashimoto K., Ohkoshi S. // J. Phys. Soc. Japan. 2005. V. 74. No. 7. P. 1946.
- Sakurai S., Kuroki S., Tokoro H. et al. // Adv. Funct. Mater. 2007. V. 17. No. 14. P. 2278.
- Yamada K., Tokoro H., Yoshikiyo M. et al. // J. Appl. Phys. 2012. V. 111. No. 7. P. 2278.
- Dmitriev A.I., Tokoro H., Ohkoshi S., Morgunov R.B. // Low Temp. Phys. 2015. V. 41. No. 20. P. 20.
- Gich M., Roig A., Frontera C. et al. // J. Appl. Phys. 2005. V. 98. No. 4. Art. No. 044307.
- Белов К.П., Звездин А.К., Кадомцева А.М., Левитин Р.З. // УФН. 1976. Т. 119. № 7. С. 447; Belov K.P., Zvezdin A.K., Kadomtseva A.M., Levitin R.Z. // Sov. Phys. Usp. 1976. V. 19. No. 7. P. 574.
- Slichter C.P., Drickamer H.G. // J. Chem. Phys. 1972. V. 56. No. 5. P. 2142.
Supplementary files






