Parameters which influence efficiency of geomagnetically induced currents generation by non-storm Pc5-6/Pi3 geomagnetic pulsations
- Authors: Sakharov Y.A.1,2, Yagova N.V.2,3, Bilin V.A.1, Selivanov V.N.4, Aksenovich T.V.4, Pilipenko V.A.2,3
-
Affiliations:
- Polar Geophysical Institute
- Geophysical Center of the Russian Academy of Sciences
- Schmidt Institute of Physics of the Earth of the Russian Academy of Sciences
- Northern Energetics Research Center, Kola Science Center of the Russian Academy of Sciences
- Issue: Vol 88, No 3 (2024)
- Pages: 340-346
- Section: Physics of Auroral Phenomena
- URL: https://journal-vniispk.ru/0367-6765/article/view/267653
- DOI: https://doi.org/10.31857/S0367676524030016
- EDN: https://elibrary.ru/QNIIDY
- ID: 267653
Cite item
Full Text
Abstract
We studied geomagnetic pulsations with periods of about several minutes and geomagnetically induced currents related to them. The interrelation is studied between efficiency of pulsations in currents’ generation and parameters of interplanetary magnetic field and plasma of the solar wind at different delays. Geomagnetic data and the recordings of geomagnetically induced currents in the Russian North and Finland are used for the analysis. It is shown that efficiency of current generation by pulsations grows if the solar wind velocity is not lower than 500 km/s for several hours.
Full Text
ВВЕДЕНИЕ
Геоиндуцированные токи (ГИТ) являются самым опасным наземным проявлением возмущений космической погоды и приводят как к ухудшению качества электроэнергии, так и к аварийным отключениям [1, 2]. Наиболее мощным источником ГИТ являются сильные магнитные бури, и именно с ними связываются самые масштабные отключения [3].
Достаточно точным и наиболее простым для анализа параметром вариаций магнитного поля на поверхности Земли, отвечающим за текущее значение амплитуды ГИТ, является производная по времени геомагнитного поля dB/dt, определенная по 1-минутным данным [4, 5]. Наибольшие мгновенные значения dB/dt связаны с резкими возмущениями типа внезапного начала бури (SC) или внезапных импульсов, которые наблюдаются в дневном секторе, но детальный анализ распределения dB/dt по местному времени, выполненный в работе [6], показывает, что наибольший вклад в генерацию потенциально опасных уровней dB/dt вносят события в ночном секторе, соответствующие авроральным активациям и связанным с ними пульсациям Pi3, и в утреннем, где фиксируются наиболее интенсивные пульсации Pc5.
Наибольшие амплитуды геомагнитных пульсаций составляют сотни нТл. Их частоты лежат в полосе от 1—10 мГц (периоды от нескольких минут до 20 мин). Физически они связаны с магнитогидродинамическими (МГД) волнами во внешней магнитосфере, а на Земле регистрируются в виде квазимонохроматических пульсаций Pc5-6 или широкополосных — Pi3. Максимальные амплитуды пульсаций Pc5-6/Pi3 соответствуют области аврорального овала, т.е. геомагнитным широтам 65°—70°, где их спектральный состав может быстро меняться с широтой. На более низких широтах спектральный состав и фаза пульсаций меняются слабо, а амплитуда убывает при удалении от экваториальной границы овала. При сильных возмущениях авроральный овал и область максимума амплитуды пульсаций смещаются на более низкие широты.
Потенциально опасными являются и вызванные геомагнитными пульсациями ГИТ умеренной амплитуды, если они существуют в течение длительного времени, что характерно для пульсаций Pc5, которые часто наблюдаются несколько часов подряд. Такое понижение порога амплитуды ГИТ возникает из-за многократного перемагничивания трансформаторов и возрастания риска неправильной работы релейной защиты при наложении ГИТ на переходные процессы, как при плановых изменениях нагрузки, так при аварийных ситуациях [7].
Работы по изучению ГИТ, вызываемых пульсациями, можно разделить на два направления: анализ экстремальных амплитуд ГИТ и геомагнитных пульсаций на главной, или восстановительной, фазе магнитной бури [8—10] и количественный анализ ГИТ, связанных с пульсациями типичных для авроральных широт амплитуд [11—13]. Работы первого направления описывают максимально неблагоприятные сценарии для редких катастрофических событий. Лучше всего исследованы экстремальные ГИТ, связанные с пульсациями большой амплитуды на восстановительной фазе бури как для отдельных случаев [8, 9], так и в статистике [10]. Авроральные активации как во время бури, так и вне бури способствуют возбуждению ГИТ большой амплитуды. Возникновение возмущений с большим выходом энергии (бури и суббури) и рост амплитуды геомагнитных пульсаций связаны с параметрами магнитного поля и плазмы вне магнитосферы. Наибольшее влияние на амплитуды геомагнитных пульсаций и связанных с ними ГИТ оказывают скорость солнечного ветра, вертикальная компонента ММП и вариации динамического давления СВ. Сравнение распределений геомагнитных индексов и параметров межпланетной среды между интервалами, когда наблюдались экстремальные ГИТ, и средними значениями за длительный период наблюдений показало статистическую значимость этих факторов [10].
В работах второго направления благодаря большему объему доступной для анализа информации удалось обнаружить разную амплитуду ГИТ при одной и той же амплитуде пульсаций и выявить свойства пульсаций, влияющие на эффективность возбуждения ГИТ пульсациями. Для количественной оценки эффективности возбуждения ГИТ пульсациями использовалось отношение R2IB спектральной плотности мощности (Power Spectral Density, PSD) пульсаций ГИТ и компоненты магнитного поля [11—13]. В работe [12] было установлено, что для вытянутой вдоль меридиана ЛЭП отношение R2IB на авроральных широтах может меняться в 2—3 раза, а его максимальные значения наблюдаются для крупномасштабных пульсаций, т.е. тех, для которых на заданной частоте высокая спектральная когерентность и малая разность фаз сохраняются на расстояниях порядка или более длины ЛЭП. В этом случае более высокая когерентность между пульсациями ГИТ и магнитного поля наблюдается для широтной BY компоненты [11]. Кроме того, значения R2IB выше для пульсаций сложного гармонического состава с несколькими максимумами в спектре, чем для пульсаций с единственным максимумом [13]. Далее пульсации, для которых значения R2IB и связанного с ним амплитудного отношения RIB выше заданного порога, будем называть ГИТ-эффективными.
Для ГИТ-эффективных пульсаций амплитудный порог возбуждения потенциально опасного ГИТ в 1.5—2 раза ниже среднего значения. Это ставит вопрос о возможности прогноза таких пульсаций. Амплитуды и частоты пульсаций связаны с параметрами межпланетного магнитного поля (ММП) и плазмы солнечного ветра (СВ) [14, 15], но полностью предсказать свойства пульсаций по параметрам плазмы солнечного ветра и межпланетного магнитного поля по данным измерений перед ударной волной невозможно из-за влияния процессов внутри магнитосферы, прежде всего альвеновского резонанса [16] и флуктуаций плотности плазмы и магнитного поля в магнитослое [17, 18]. С другой стороны, влияние внемагнитосферных факторов выше для крупномасштабных пульсаций [19], а именно, для них наблюдаются более высокие значения RIB. Чтобы оценить возможность прогноза таких пульсаций, в настоящей работе исследуется связь параметров ММП и солнечного ветра и отношения на временных масштабах от нескольких часов до двух суток.
ДАННЫЕ И ОБРАБОТКА
Для оценки геоиндуцированных токов в нейтрали трансформатора использовалась данные станции “Выходной” (VKH) уникальной сети регистрации ГИТ на Кольском полуострове и в Карелии [20, 21], представленные в базе данных [22]. Подробное описание базы данных дано в [23]. Для анализа геомагнитных пульсаций использовались данные расположенной примерно на геомагнитной широте VKH станции KEV магнитометрической сети IMAGE [24], доступные в [25]. Координаты станций и местное магнитное время приведены в табл. 1.
Таблица 1. Координаты и местное магнитное время станций наблюдения
Код станции | Географические координаты | Геомагнитные координаты | Мировое время местной магнитной полуночи | ||
Широта | Долгота | Широта, Φ | Долгота, Λ | ||
VKH | 68.83 | 33.08 | 65.53 | 112.73 | 20:49 |
KEV | 69.76 | 27.01 | 66.65 | 108.35 | 21:06 |
Все данные после низкочастотной фильтрации с частотой отсечки fh = 8.3 мГц приведены к общему одноминутному шагу по времени. Для анализа использовались 4 года наблюдений с июля 2014 по июнь 2018 г. на максимуме и спаде 24 цикла солнечной активности.
Так же, как и в работах [11—13] анализировались кросс-спектры вариаций ГИТ и BY компоненты магнитного поля в скользящем окне 64 мин с шагом 5 мин. Для дальнейшего анализа отбирались безбуревые интервалы, для которых наименьшее значение индекса Dst в течение текущих и четырех предшествующих суток не опускалось ниже –40 нТл. Чтобы выделить ГИТ, связанные с пульсациями, рассматривались интервалы, для которых размах вариаций тока превышал пороговое значение, а спектральная когерентность γ2IBy между вариациями тока и магнитного поля была выше γ2b = 0.7. Для этих пульсаций определялось отношение PSD на частотах локальных спектральных максимумов. Кроме того, как более наглядный параметр использовалось определенное по отфильтрованному в полосе 1—8.3 МГц сигналу во временном представлении отношение амплитуд RIB. Для порогового значения Rb = 0.15 А/нТл все пульсации делились на ГИТ-эффективные (RIB ≥ Rb) и неэффективные (RIB < Rb). Для них рассчитывались средние значения трех компонент ММП, скорости V и динамического давления P солнечного ветра, а для ММП и давления, анализировалась также дисперсия вариаций. Данные по геомагнитному индексу Dst, а также данные по ММП и солнечному ветру, пересчитанные к подсолнечной точке магнитопаузы, доступны в [26].
Чтобы понять, при каком времени осреднения τ максимально влияние изучаемого параметра, использовались значения, осредненные по интервалу [–τ, 0], где 0 соответствует началу интервала, для которого анализировались спектры ГИТ и пульсаций, а τ менялось от 4 до 48 ч. В качестве упрощенного теста на значимость обнаруженных отличий использовалось сравнение полученных результатов по двум двухгодичным интервалам.
РЕЗУЛЬТАТЫ
Для всех параметров (компоненты ММП, скорость и динамическое давление солнечного ветра) средние значения вычислялись для интервалов, предшествующих ГИТ, связанных с пульсациями с размахом колебаний более порогового. Пороговое значение для ГИТ устанавливалось на двух уровнях: 2 и 10 А. Первый порог соответствует уверенной регистрации ГИТ, второй — потенциально опасному уровню ГИТ. Существенное отличие между средним по всему исследованному периоду значением параметра и его значением для выбранных интервалов потенциально опасных ГИТ наблюдается для скорости солнечного ветра V. Среднее значение V для всего исследуемого периода составляло ~470 км/с, в то время как для интервалов, когда наблюдались ГИТ надпороговой амплитуды, и в течение предшествующих суток, значения скорости превышали 500 км/с как за весь 4-летний период, так и для каждого из двухлетних.
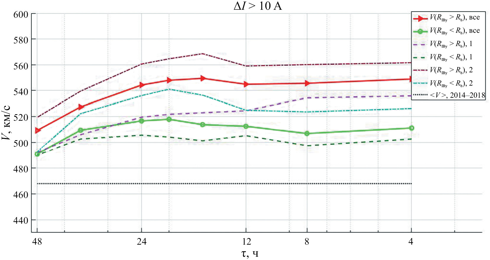
На рис. 1 представлена зависимость V от времени осреднения τ для интервалов с надпороговой амплитудой ГИТ при высоких и низких значениях отношения RIB. В интервале τ от 4 до 12 ч значения V составляют около 545 км/с для RIB > Rb и ~510 км/с для RIB < Rb, т.е. отличие составляет 35 км/с. Большие значения скорости для более ГИТ-эффективных пульсаций с разницей около 35 км/с сохраняются и для каждого из двухлетних интервалов. При этом для интервала 1 вблизи максимума солнечного цикла надпороговые амплитуды ГИТ наблюдаются при меньших скоростях солнечного ветра (535 и 500 км/с для ГИТ-эффективных и неэффективных пульсаций), чем для интервала 2 на фазе спада солнечного цикла (560 и 525 км/с). Почти постоянное значение скорости наблюдается при времени осреднения τ < 8 ч, а существенное уменьшение влияния скорости на амплитуду ГИТ и на отношение RIB — при τ > 24 ч.
Рис. 1. Зависимость скорости солнечного ветра V, осредненной по интервалам, на которых размах колебаний ГИТ ∆I > 10 A, от времени осреднения τ для двух групп пульсаций с разным отношением RIB. Сплошными линями показаны результаты для всего периода наблюдений (2014—2018), штриховыми и штрихпунктирными — для двухгодичных подвыборок. Горизонтальный пунктир показывает среднее значение V за весь период наблюдений
Рассмотрим, насколько указанное отличие может быть использовано для прогноза ГИТ-эффективных пульсаций. В зависимости от конкретного приложения, задачу прогноза можно ставить по-разному, например: достичь максимального учета всех ГИТ-эффективных пульсаций либо задать оптимальный уровень полного количества или доли событий. На рис. 2 представлены распределения по RIB для времени осреднения 8 ч, порогового значения скорости V = 475 км/с и двух значений порога ∆I = 2 и 10 А. Для более низкого значения порога ∆I полное количество событий N с высокой и низкой ГИТ-эффективностью отличается в 1.4 раза, а доля ГИТ-эффективных интервалов для высоких скоростей на 20% выше, чем для низких. В результате полное количество ГИТ-эффективных интервалов оказывается на 30% выше для низкоскоростных, чем для высокоскоростных потоков. При таком выборе порога основной вклад в распределения вносят ГИТ малой амплитуды, для которых вопрос о прогнозе не актуален. На правых панелях рис. 2 показаны аналогичные распределения для порога ∆I = 10 А. При таком значении порога увеличивается общее количество интервалов с высокими скоростями солнечного ветра и усиливается зависимость доли ГИТ-эффективных интервалов от скорости. Для высоких значений V доля ГИТ-эффективных интервалов составляет 0.61 против 0.25 для низких скоростей. В результате полное количество интервалов, для которых наблюдаются связанные с ГИТ-эффективными пульсациями надпороговые ГИТ, почти в 4 раза выше для высоких скоростей солнечного ветра, чем для низких. Таким образом, высокая скорость солнечного ветра не только увеличивает амплитуду ГИТ за счет роста амплитуды пульсаций, но и увеличивает ГИТ-эффективность пульсаций. Это важно, так как приводит к снижению порога амплитуды геомагнитных пульсаций, при котором могут возникать потенциально опасные ГИТ.
Рис. 2. Распределения по отношению RIB для высоких (верхние панели) и низких (нижние панели) скоростей солнечного ветра интервалов регистрации надпороговых ГИТ для двух значений порога: ∆I = 2 А (а, б) и ∆I = 10 А (в, г). Пороговые значения: V = 475 км/с, τ = 8 ч
Рассмотрим зависимость доли ГИТ-эффективных пульсаций P(RIB > Rb) от порогового значения скорости солнечного ветра и времени осреднения. На рис. 3 показана зависимость P(RIB > Rb) от порогового значения V и времени осреднения τ для размаха колебаний ГИТ ∆I >10 A. Из рисунка видно, что изолиния P = 0.5 проходит через точку (τ = 6 ч, V = 600 км/с), опускаясь при τ = 20 ч до 500 км/с. Таким образом, длительное существование умеренно высоких скоростей солнечного ветра приводит к тому же результату, что и более краткосрочное — высоких. Важно отметить, что повышение скорости выше 600 км/с не приводит к дальнейшему росту ГИТ эффективности пульсаций.
Рис. 3. Зависимость от скорости солнечного ветра V и времени осреднения τ доли интервалов с ГИТ-эффективными пульсациями P(RIB > Rb) в общем числе интервалов, для которых наблюдались связанные с пульсациями ГИТ с ∆I > 10 А
Результаты анализа влияния изученных параметров межпланетной среды и солнечного ветра, в том числе и тех, влияние которых оказалось слабым или нестабильным, собраны в табл. 2 для τ = 4 ч. В первой колонке для каждого интервала приведено среднее значение параметра за весь период, а в двух других — для интервалов с ∆I > 10 А при разных значениях RIB.
Таблица 2. Сводка параметров ММП и СВ для групп пульсаций определенных различной ГИТ-эффективности для всего периода наблюдений и двум двухгодичным интервалам
Показатель | Весь период 2014.07—2018.06 | 1. 2014.07—2016.06 | 2. 2016.07—2018.06 | ||||||
F | mean | RIB > Rb | RIB < Rb | mean | RIB > Rb | RIB < Rb | mean | RIB > Rb | RIB < Rb |
BZ, нТл | 0.0 | 0.1 | –0.2 | 0.2 | –0.3 | –0.2 | –0.3 | 0.6 | –0.1 |
V, км/с | 468 | 546 | 510 | 466 | 527 | 503 | 470 | 561 | 528 |
P, нПа | 2.3 | 2.1 | 2.6 | 2.5 | 2.4 | 2.9 | 2.2 | 1.9 | 1.8 |
σ(P), нПа2 × 10–3 | 2.7 | 1.6 | 2.1 | 3.6 | 1.6 | 2.6 | 1.3 | 1.7 | 0.8 |
Так как результаты по дисперсиям σ для компонент ММП и динамического давления солнечного ветра P оказались схожими, приводятся только результаты для дисперсии давления σ(P). Дисперсия динамического давления солнечного ветра σ(P) демонстрирует противоположное влияние на ГИТ-эффективность пульсаций в максимуме и на спаде солнечной активности: рост дисперсии приводит к росту отношения RIB на фазе спада и к падению — в максимуме. Так как σ(P) для ГИТ-эффективных пульсаций в обоих случаях имеют близкие значения (1.6—1.7) × 10–3 нПа2, это может быть связано немонотонной зависимостью отношения RIB от амплитуды флуктуации динамического давления СВ.
Как видно из таблицы, значимых отличий между интервалами с высоким и низким значениями RIB нет ни для вертикальной компоненты ММП, ни для динамического давления СВ. Так как влияние этих параметров на RIB оказалось малым даже для двухгодовых средних значений, то дальнейшее исследование этих параметров не проводилось. Следует отметить, что, в отличие от отношения RIB, для абсолютных значений ГИТ влияние этих параметров существует и описано, например в [10].
ОБСУЖДЕНИЕ
Проведенный анализ показывает, что вне магнитной бури ГИТ-эффективные геомагнитные пульсации (т.е. те, для которых отношение RIB и амплитуда ГИТ имеют значения выше пороговых) возникают преимущественно при скоростях солнечного ветра около или выше 500 км/с. Таким образом, высокие скорости солнечного ветра являются фактором риска для возбуждения вызванных пульсациями ГИТ.
Скорость солнечного ветра не только повышает амплитуду ГИТ за счет роста амплитуды пульсаций, но и увеличивает их эффективность. Этот эффект наблюдался как вблизи максимума 24 солнечного цикла, так и на его спаде. При этом в период спада (2016—2018) скорость солнечного ветра, при которой наблюдались потенциально опасные ГИТ, была выше, чем в период максимума. Это значит, что свойства пульсаций, от которых зависит генерация ГИТ, не полностью определяется скоростью СВ. Тем не менее среди исследованных параметров ММП и СВ не удалось выявить те, которые определяют это отличие. Выявленная зависимость ГИТ-эффективности от флуктуаций давления требует уточнения с учетом не только дисперсии, но и спектрального состава флуктуаций динамического давления солнечного ветра. В настоящей работе спектр флуктуаций не исследовался. Это привело бы к уменьшению выборки, так как требования к полноте покрытия для анализа спектра выше, чем для расчета дисперсии, а количество пропусков в данных по динамическому давлению СВ больше, чем для других параметров, использованных при анализе. И наконец, параметры плазмы и магнитного поля за ударной волной — в магнитослое и магнитосфере — также могут влиять на ГИТ-эффективность пульсаций.
Прямая зависимость ГИТ-эффективности пульсаций от скорости солнечного ветра и противоречивое либо слабое влияние других факторов косвенно подтверждает больший вклад в ГИТ пульсаций Pc5, относительно более иррегулярных Pi3, так как именно для регулярных пульсаций Pc главным внемагнитосферным фактором, влияющим на их амплитуду, является скорость СВ.
Отметим отличие настоящего исследования от других, где изучались внемагнитосферные факторы, влияющие на ГИТ: наше внимание было сосредоточено на отличиях в амплитудах ГИТ при одной и той же амплитуде геомагнитных пульсаций. Чтобы исключить случайные совпадения и минимизировать влияние взаимозависимых факторов, рассматривались только крупномасштабные геомагнитные пульсации вне магнитной бури с высокой когерентностью между пульсациями ГИТ и магнитного поля. Это позволило использовать отношение RIB в качестве меры ГИТ-эффективности геомагнитных пульсаций и выявить влияющие на него внемагнитосферные факторы.
ЗАКЛЮЧЕНИЕ
Скорость солнечного ветра выше 500 км/с является значимым прогностическим фактором для возбуждения ГИТ. Для высоких скоростей солнечного ветра увеличение ГИТ связано не только с ростом амплитуды пульсаций, но и с увеличением их ГИТ-эффективности, что приводит к снижению амплитудного порога возбуждения потенциально опасных ГИТ. Умеренное повышение скорости СВ в течение длительного времени (более 10 ч) аналогично по влиянию на ГИТ-эффективность пульсаций более сильному кратковременному повышению скорости.
Работа выполнена при финансовой поддержке Российского научного фонда (проект № 21-77-30010).
About the authors
Ya. A. Sakharov
Polar Geophysical Institute; Geophysical Center of the Russian Academy of Sciences
Email: nyagova@ifz.ru
Russian Federation, Apatity; Moscow
N. V. Yagova
Geophysical Center of the Russian Academy of Sciences; Schmidt Institute of Physics of the Earth of the Russian Academy of Sciences
Author for correspondence.
Email: nyagova@ifz.ru
Russian Federation, Moscow; Moscow
V. A. Bilin
Polar Geophysical Institute
Email: nyagova@ifz.ru
Russian Federation, Apatity
V. N. Selivanov
Northern Energetics Research Center, Kola Science Center of the Russian Academy of Sciences
Email: nyagova@ifz.ru
Russian Federation, Apatity
T. V. Aksenovich
Northern Energetics Research Center, Kola Science Center of the Russian Academy of Sciences
Email: nyagova@ifz.ru
Russian Federation, Apatity
V. A. Pilipenko
Geophysical Center of the Russian Academy of Sciences; Schmidt Institute of Physics of the Earth of the Russian Academy of Sciences
Email: nyagova@ifz.ru
Russian Federation, Moscow; Moscow
References
- Boteler D.H., Pirjola R.J., Nevanlinna H. // Adv. Space. Res. 1998. V. 22. P. 17.
- Pulkkinen A., Pirjola R., Viljanen A. // Space Weather. 2008. V. 6. Art. No. S07001.
- Pulkkinen A., Kataoka R. // Geophys. Res. Lett. 2006. V. 33. Art No. L12108.
- Love J.J., Coisson P., Pulkkinen A. // Geophys. Res. Lett. 2016. V. 43. P. 4126.
- Viljanen A., Wintoft P., Wik M. // J. Space Weath. Space Climate. 2015. V. 5. Art. No. A24.
- Milan S.E., Imber S.M., Fleetham A.L., Gjerloev J. // J. Geophys. Res. Space Phys. 2023. V. 128. Art. No. e2022JA030953.
- Гусев Ю.П., Лхамдондог А.Д., Монаков Ю.В. и др. // Электр. станц. 2020. № 2. C. 54; Gusev Y.P., Lkhamdondog A., Monakov Y.V. et al. // Power Technol. Eng. 2020. V. 54. P. 285.
- Belakhovsky V., Pilipenko V., Engebretson M. et al. // J. Space Weath. Space Clim. 2019. V. 9. Art. No. 18.
- Apatenkov S.V., Pilipenko V.A., Gordeev E.I. et al. // Geophys. Res. Lett. 2020. V. 47. Art. No. e2019GL086677.
- Шевелева Д.А., Апатенков С.В., Сахаров Я.А. и др. // Косм. иссл. 2023. Т. 61. С. 39; Sheveleva D.A., Apatenkov S.V., Sakharov Ya.A. et al. // Cosmic Res. 2023. V. 61. P. 34.
- Сахаров Я.А., Ягова Н.В., Пилипенко В.А. // Изв. РАН. Сер. физ. 2021. Т. 85. С. 445; Sakharov Y.A., Yagova N.V., Pilipenko V.A. // Bull. Russ. Acad. Sci. Phys. 2021. V. 85. No. 3. P. 329.
- Yagova N.V., Pilipenko V.A., Sakharov Y.A. et al. // Earth Planets Space. 2021. V. 73. Art. No. 88.
- Sakharov Ya.A., Yagova N.V., Pilipenko V.A., Selivanov V.N. // Russ. J. Earth. Sci. 2022. V. 22. Art. No. ES1002.
- Kim K.H., Cattell C.A., Lee D. et al. // J. Geophys. Res. 2002. V. 107. Art. No. 1406.
- Engebretson M.J., Glassmeier K.H., Stellmacher M. et al. // J. Geophys. Res. 1998. V. 103. P. 26271.
- Alperovich L.S., Fedorov E.N. Hydromagnetic waves in the magnetosphere and the ionosphere. Astrophysics and space science library. V. 353. Springer. 2007.
- Kessel R.L., Mann I.R., Fung S.F. et al. // Ann. Geophys. 2004. V. 22. P. 629.
- Hietala H., Partamies N., Laitinen T.V. et al. // Ann. Geophys. 2012. V. 30. P. 33.
- Yagova N.V., Pilipenko V.A., Baransky L.N., Engebretson M.J. // Ann. Geophys. 2010. V. 28. P. 1761.
- Сахаров Я.А., Катькалов Ю.В., Селиванов В.Н., Вильянен А. // Сб. Практические аспекты гелиогеофизики. Матер. спец. секции “Практические аспекты науки космической погоды” 11-й конф. “Физика плазмы в солнечной системе” (Москва, 2016). С. 134.
- Баранник М.Б., Данилин А.Н., Катькалов Ю.В. и др. // ПТЭ. 2012. № 1. С. 118; Barannik M.B., Danilin A.N., Kolobov V.V. et al. // Instr. Exper. Techniq. 2012. V. 55. P. 110.
- http://gic.en51.ru.
- Селиванов В.Н., Аксенович Т.В., Билин В.А. и др. // Солн.-земн. физ. 2023. Т. 9. С. 93; Selivanov V.N., Aksenovich T.V., Bilin V. A. et al. // Sol. — Terr. Phys. 2023. V. 9. P. 93.
- Tanskanen E.I. // J. Geophys. Res. 2009. V. 114. Art. No. A05204.
- https://space.fmi.fi/image.
- https://cdaweb.gsfc.nasa.gov.
Supplementary files






