Luminescence systems in diamond at 489 nm
- Authors: Lepekha S.V.1, Vasilyev E.A.2, Kobuzov A.S.1, Zedgenizov D.A.1
-
Affiliations:
- Zavaritsky Institute of Geology and Geochemistry of the Ural Branch of the Russian Academy of Sciences
- Saint Petersburg Mining University
- Issue: Vol 88, No 6 (2024)
- Pages: 986-990
- Section: Luminescence and Laser Physics
- URL: https://journal-vniispk.ru/0367-6765/article/view/276210
- DOI: https://doi.org/10.31857/S0367676524060227
- EDN: https://elibrary.ru/PFDRAY
- ID: 276210
Cite item
Full Text
Abstract
In the photoluminescence spectra of natural type Ia diamond crystals, a zero-phonon line with a position of 488.9 nm (2.53 eV) is observed. The excitation spectrum of the system is mirror to the emission spectrum. The 488.9 nm line has phonon repetitions corresponding to an energy of 0.073 eV. A change in temperature from 77 to 313 K shifts the position of the system by 1.01 nm toward the red region, and the decrease in intensity and broadening of full width at half maximum is non-linear. The characteristics of the electron-phonon interaction and distribution in the bulk of the crystals of a defect with a zero-phonon line of 488.9 nm are like the characteristics of defects of a nitrogen-vacancy nature.
Keywords
Full Text
ВВЕДЕНИЕ
В алмазе существует большое число активных в поглощении и фотолюминесценции (ФЛ) дефектов кристаллической структуры (ДКС), спектры которых перекрываются [1, 2]. Совпадение положения бесфононных линий (БФЛ) разных ДКС затрудняет их выделение, идентификацию и изучение. Наиболее часто встречающимся примером наложения являются БФЛ систем H3, 3H, S1 c максимумами соответственно 503.2, 503.4 и 503.2 нм [3]. Система 3H отражает первичный радиационный дефект, H3 — азотно-вакансионный комплекс, S1 — азотно-титановый комплекс. Другой пример — наложение БФЛ 496.7 и 496.2 нм дефектов S3 (азотно-никелевый комплекс) и H4 (азотно-вакансионный комплекс). В синтетических и природных алмазах часто регистрируется пик около 489 нм, который идентифицируется всегда как S2 (2.535 эВ). Система S2 включает также БФЛ 478 нм (2.596 эВ) и 523 нм (2.371 эВ) [4], они регистрируются в большинстве случаев совместно с системой S3 (2.496 эВ, 496.2 нм), 523 нм может регистрироваться индивидуально. В работах [5, 6] отмечается связь БФЛ 523 нм системы S2 и центра 794 нм. Особенностью системы S2 является высокая температурная стабильность [7]. ДКС выявляется в синтетических неотожженных кристаллах, выращенных в Fe-Ni расплаве [8, 9], но при отжиге ее интенсивность возрастает. Характерной особенностью распределения S2 и S3 в синтетических алмазах является их приуроченность к секторам роста <100>, в которых концентрация Ni существенно выше, чем в синхронных секторах <111>. Дефекты S2 и S3 активны в ЭПР, и на основании комплексного анализа установлена их природа как азотно-никелевых комплексов [10]. В работе [11] было установлено, что система S2 выявляется в природных кристаллах с высокой долей дефектов В. Это обстоятельство несколько противоречит факту наличия сиcтемы в неотожженных синтетических кристаллах, в которых заведомо нет дефектов В. Системы S1, S2 и S3 включают также широкую бесструктурную полосу с максимумом около 530 нм [4, 12]. Широкая полоса люминесценции в области 500—560 нм является отличительной и диагностической особенностью синтетических алмазов, и часто определяет спектр ФЛ природных. Ранее проведенные исследования природных алмазов из различных месторождений показали, что при возбуждении 450 нм часто встречается система с БФЛ при 488.9 нм, которая не сопровождается интенсивной зеленой ФЛ и не сопровождается линией 523 нм. Эта система не соответствует по параметрам радиационно-индуцированным ДКС, БФЛ которых тоже находится в этом диапазоне [2]. Таким образом, анализ литературных данных показывает некоторые противоречия между установленными в разных работах характеристиками системы, идентифицируемой как S2. Для выявления особенностей систем ФЛ с БФЛ около 489 нм проведено изучение и сравнение спектров эмиссии и возбуждения кристаллов природного и синтетического НPHT алмаза.
АППАРАТУРА И ОБРАЗЦЫ
В качестве эталонного кристалла с S2 дефектами использован образец синтетического алмаза типа Ib. Природные кристаллы алмаза технического качества были предварительно отобраны по визуальному отсутствию зеленой ФЛ при возбуждении 360 нм, которая характерна для известных дефектов S1, S2, Н3, H4. Далее были зарегистрированы спектры ФЛ при возбуждении 450 нм и для детального изучения спектров возбуждения отобран кристалл с наиболее интенсивной линией 488.9 нм. Методом ИК спектроскопии поглощения на Фурье-спектрометре Vertex-70 с микроскопом Hyperion — 1000 определялись общая концентрация азота (Ntot) и доля азота в форме дефектов В (NBS) по известным коэффициентам пропорциональности [1]. Изучение приуроченности системы 488.9 нм к разным секторам проводилось на примере кристаллов смешанного роста из россыпи Красновишерского района, Урал [13].
Спектры эмиссии и возбуждения регистрировались при 300 К и 77 К на флюориметре Horiba FL-3 при возбуждении Xe лампой. Спектры эмиссии регистрировались также при возбуждении SSP лазерами 405 нм, 450 нм на спектрометре Renishaw InVia при 77 К. Температурную зависимость в диапазоне 77—313 К изучали на спектрометре Renishaw InVia с помощью криостата THMS600 при возбуждении лазером 357 нм (Ar+). Расчеты зависимостей изменения спектральных параметров линии 488.9 нм природного кристалла алмаза при изменении температуры проводились с помощью специально написанной программы в среде программирования Mathcad 15.
РЕЗУЛЬТАТЫ
Спектры эмиссии (рис. 1а и 1г) систем S2 и S3 синтетического алмаза соответствуют литературным данным [8, 10]. Спектры возбуждения систем S2 (489.2 нм) и S3 (496.2 нм) демонстрируют различия в их энергетических структурах (рис. 1в и 1б). В спектр возбуждения линии 496 нм вносит вклад также система S2, к которой относятся максимумы 3.381, 3.413, 3.444 и 3.476 эВ (сдвиг 0.032 эВ) в спектре возбуждения. Основной диапазон возбуждения полосы S2 3.4—4 эВ.
Рис. 1. Спектры эмиссии при возбуждении 360 и 440 нм (а, г) и возбуждения при регистрации на 496, 489 нм (б, в) ФЛ синтетического кристалла алмаза с линией 489 нм (T = 77 K)
Природные кристаллы с интенсивной системой 488.9 нм относятся к наиболее распространенному типу Ia. Концентрация азота в них на уровне 300—600 ppm при доле азота в форме В от 10 до 35 %. Коэффициент поглощения азотно-водородного центра N3VH на 3107 см-1 в диапазоне 1—7 см-1. На спектрах ФЛ исследованных образцов положение максимума полосы (при T = 77 K) изменяется в пределах 488.65—488.91 нм. Система 488.9 нм имеет контур, типичный для ФЛ азотно-вакансионных центров с подобным электрон-фононным взаимодействием (рис. 2а). Ее спектр возбуждения является зеркальным к спектру эмиссии (рис. 2в), что подтверждает внутрицентровую природу системы. Наиболее интенсивное фононное повторение в спектре эмиссии и возбуждения соответствует энергии 0.073 эВ. В спектре возбуждения БФЛ 488.9 выявляется линия комбинационного рассеяния (R) и система N3 (БФЛ 415 нм), так как фононное крыло N3 простирается до 500 нм. При регистрации в максимуме 520 нм фононного крыла системы 488.9 этих наложений нет (рис. 2б).
Рис. 2. Спектр эмиссии при возбуждении 440 нм (а) и возбуждения при регистрации на 520, 489 нм (б, в) ФЛ природного кристалла алмаза с линией 489 нм (T = 77 K)
Изучение секториальных кристаллов показало, что система 488.9 нм имеет близкие значения интенсивности в синхронных секторах <111>, <100>. Однако ее интенсивность выше в приповерхностных слоях, в которых регистрируются интенсивные системы H3 и Н4. Наличие этих систем в приповерхностных слоях кристалла является индикатором естественного облучения. Таким образом, по аналогии с объемным распределением систем Н3 и Н4 можно предположить, что система с БФЛ 488.9 нм также соответствует азотно-вакансионному дефекту и подвержена тушению [14].
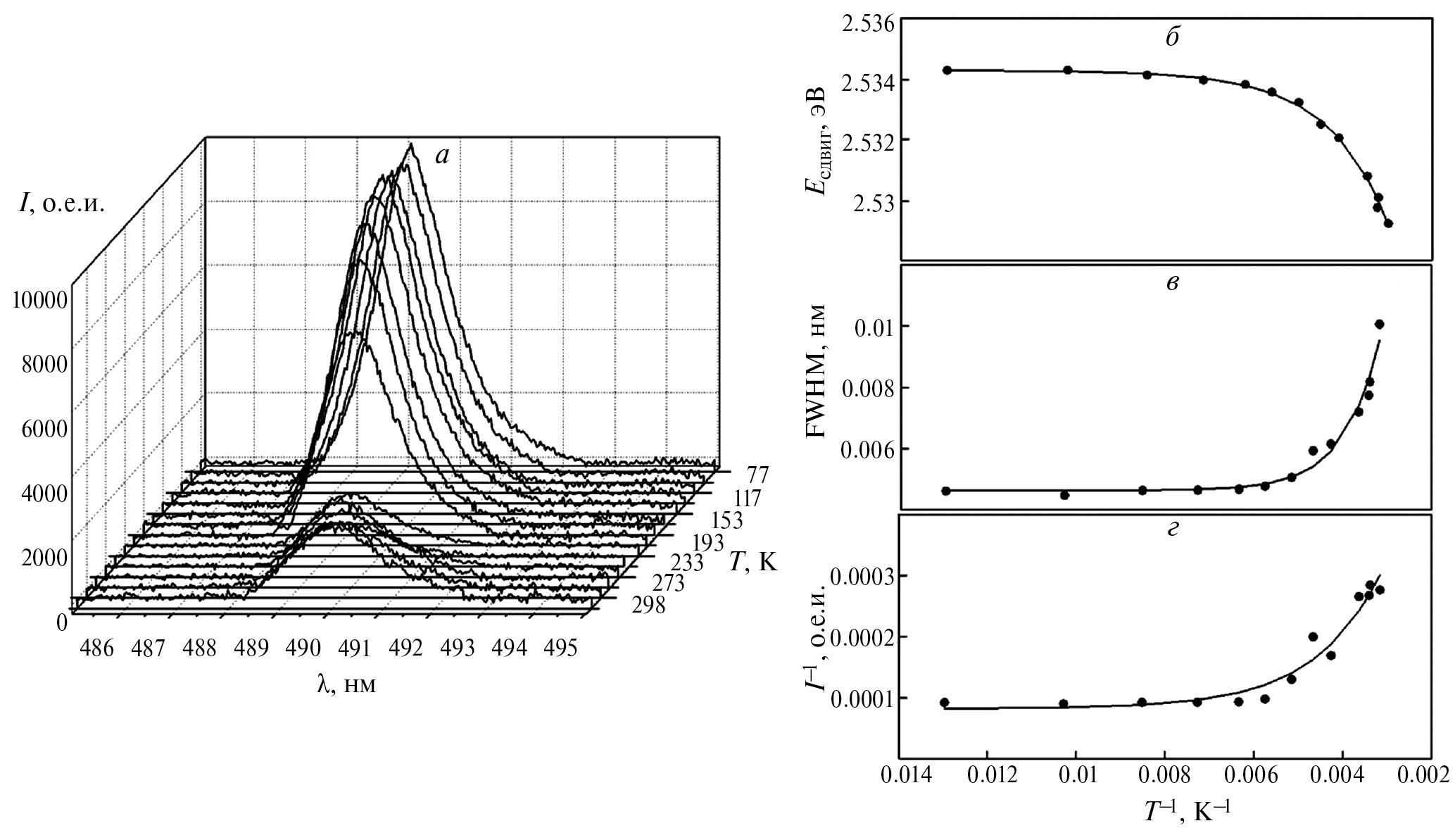
Изменение температуры от 77 до 313 К привело к плавному смещению БФЛ 488.9 нм в природном кристалле алмаза на 1.01 нм в сторону красной области и уширению ширины линии на 0.55 нм, интенсивность линии снизилась на 14981 о. е. и. (рис. 3а). Зависимость смещения энергии полосы Eg(T) от температуры (рис. 3б) может быть описана следующим соотношением:
, (1)
где Eg(0) является энергией (положением) пика при 0 К; S — фактор Хуанга‒Риса; Eħw — средняя фононная энергия; T — температура при регистрации спектра ФЛ; kB — постоянная Больцмана (8.61·10–5 эВ·К-1). В результате аппроксимации экспериментальной зависимости Eg(T) параметры Eg(0), S, Eħw получили значения 2.53 эВ, 0.35, 58.36 мэВ соответственно. Найденный нами фактор Хуанга‒Риса 0.35 имеет значение близкое к 0.4, указанное в работе [3] для линии 523 нм системы S2 при исследовании авторами природных Iа кристаллов алмаза после облучения электронами.
Рис. 3. Спектры эмиссии бесфононной линии 488.9 нм, полученные при изменении температуры от 77 до 313 К (а). Температурные зависимости параметров линии 488.9 нм: энергия пика (положение) (б), ширина спектральной линии FWHM (в), обратная интенсивность (г). Точками обозначены экспериментальные данные, линия является результатом аппроксимации
Уширение БФЛ 488.9 нм в спектрах с ростом температуры происходит нелинейно (рис. 3в). Для описания уширения ширины спектральной линии при изменении температуры (рис. 3в) использовалась физическая формула, применяемая в большинстве случаев при исследовании полупроводниковых материалов:
, (2)
где ΓН — ширина неоднородной линии, которая не зависит от температуры; ΓLO — интенсивность электронофононной связи; Eħw — энергия фонона (продольного оптического). Полученные в результате аппроксимации значения параметров ΓН, ΓLO, Eħw составили соответственно 4.6, 24.19, 51.8 мэВ. Энергия фонона 51.8 мэВ имеет близкое значение к энергии 58.36 мэВ, рассчитанной в уравнении (1).
Снижение интенсивности I линии 488.9 нм при повышении температуры также, как и в случае с шириной спектральной линии, имеет нелинейный характер (рис. 3г) и может быть описано физической формулой:
, (3)
где I0 — интенсивность ФЛ при 0 К; A — константа; ΔE — энергия активации термического тушения. Полученные в результате аппроксимации значения параметров I0, A, ΔE составили 11 728 о. е. и., 92.25, 92.08 мэВ соответственно.
ЗАКЛЮЧЕНИЕ
Выявление системы 488.9 нм затрудняется тем, что ее интенсивность относительно невысока, и в большинстве случаев она не выделяется на фоне S1, S2, Н3, H4. Кроме того, ее спектр возбуждения попадает в диапазон, в котором нет широко используемых источников возбуждения. При возбуждении светом с длиной волны менее 415 нм в большинстве кристаллов эта система не выделяется на фоне интенсивной полосы N3. По-видимому, во многих работах система 488.9 интерпретировалась как известная S2.
Таким образом, в области БФЛ 489.1 нм системы S2 может выделяться БФЛ 488.9 нм другой системы ФЛ. По особенностям электрон-фононного взаимодействия и распределения в объеме кристаллов дефект с БФЛ 488.9 нм аналогичен дефектам азотно-вакансионной природы. Определение модели соответствующего дефекта важно для выявления всех цепочек и механизмов трансформации азотных центров и более полного раскрытия потенциала алмаза как оптического и оптоэлектронного материала.
Работа выполнена в рамках темы № 123011800012-9 государственного задания ИГГ УрО РАН и гранта Российского научного фонда (проект № 21-77-20026).
About the authors
S. V. Lepekha
Zavaritsky Institute of Geology and Geochemistry of the Ural Branch of the Russian Academy of Sciences
Author for correspondence.
Email: Lepekha@igg.uran.ru
Russian Federation, Yekaterinburg
E. A. Vasilyev
Saint Petersburg Mining University
Email: Lepekha@igg.uran.ru
Russian Federation, Saint Petersburg
A. S. Kobuzov
Zavaritsky Institute of Geology and Geochemistry of the Ural Branch of the Russian Academy of Sciences
Email: Lepekha@igg.uran.ru
Russian Federation, Yekaterinburg
D. A. Zedgenizov
Zavaritsky Institute of Geology and Geochemistry of the Ural Branch of the Russian Academy of Sciences
Email: Lepekha@igg.uran.ru
Russian Federation, Yekaterinburg
References
- Zaitsev A.M. Optical properties of diamond. Berlin: Springer, 2001. 502 p.
- Dischler B. Handbook of spectral lines in diamond. V. 1. Tables and Interpretations. Berlin: Springer, 2012. 468 p.
- Walker J. // Rep. Prog. Phys. 1979. V. 42. P. 1607.
- Ильин В.Е., Соболев Е.В., Юрьева О.П. // ФТТ. 1970. Т. 12. № 7. С. 2159.
- Плотникова С.П., Клюев Ю.А., Парфианович И.А. // Минералог. журн. 1980. Т. 2. № 4. С. 75.
- Степанов Ф.А., Емельянова А.С., Ракевич А.Л. и др. // Изв. РАН. Сер. физ. 2017. Т. 81. № 9. С. 1220; Stepanov F.A., Emelyanova A. S., Rakevich A.L. et al. // Bull. Russ. Acad. Sci. Phys. 2017. V. 81. No. 9. P. 1099.
- Бокий Г.Б., Безруков Г.Н., Клюев Ю.А. и др. Природные и синтетические алмазы. М.: Наука, 1986. 220 с.
- Kupriyanov I.N., Gusev V.A., Borzdov Yu.M. et al. // Diamond. Relat. Mater. 1999. V. 8. No. 7. P. 1301.
- Yelisseyev А., Kanda H. // New Diamond. Front. Carbon Technol. 2007. V. 17. No. 3. P. 127.
- Nadolinny V.A., Yelisseyev A.P. // Diamond. Relat. Mater. 1994. V. 3. No. 1. P. 17.
- Клюев Ю.А., Дуденков Ю.А., Непша В.И. // Геохимия. 1973. № 7. C. 1029; Klyuev Yu. A., Dudenkov Yu. A., Nepsha V.I. // Geochem. Int. 1973. No. 7. P. 781.
- Соболев Е.В., Ильин В.Е., Юрьева О.П. // ФТТ. 1969. Т. 11. № 5. С. 1152.
- Васильев Е.А., Клепиков И.В., Антонов А.В. // Записки РМО. 2018. T. 147. № 4. С. 114.
- Васильев Е.А., Иванов-Омский В.И., Помазанский Б.С., Богуш И.Н. // Письма в ЖТФ. 2004. Т. 30. № 19. С. 7; Vasil’ev E.A., Ivanov-Omskii V.I., Pomazanskii B.S., Bogush I.N. // Tech. Phys. Lett. 2004. V. 30. No. 10. P. 802.
Supplementary files






