Влияние температуры на фотолюминесценцию квантовых точек CdSe/ZnS в биополимерном композите с эритрозином В
- Авторы: Слюсаренко Н.В.1, Герасимова М.А.1, Парфенова Е.В.1
-
Учреждения:
- Сибирский федеральный университет
- Выпуск: Том 88, № 6 (2024)
- Страницы: 991-996
- Раздел: Люминесценция и лазерная физика
- URL: https://journal-vniispk.ru/0367-6765/article/view/276212
- DOI: https://doi.org/10.31857/S0367676524060236
- EDN: https://elibrary.ru/PFBSPJ
- ID: 276212
Цитировать
Полный текст
Аннотация
Исследована температурная чувствительность фотолюминесценции синтезированных композитов на основе разнозаряженных биополимеров с коллоидными квантовыми точками CdSe/ZnS и красителем эритрозином B. За счет совместного действия механизмов температурного тушения и резонансного переноса энергии от квантовых точек к красителю происходит увеличение динамического диапазона аналитического сигнала интенсивности фотолюминесценции квантовых точек, что может быть использовано для создания динамических температурных сенсоров.
Полный текст
ВВЕДЕНИЕ
Квантовые точки (КТ) фотостабильны, обладают высоким квантовым выходом фотолюминесценции (ФЛ), большим временем жизни ФЛ, широкой полосой поглощения и узкой полосой испускания. Эти свойства определяют их применение в качестве материалов для создания солнечных батарей, светодиодов, сенсоров, маркеров и т. д. [1]. Фотолюминесценция КТ реагирует на изменение температуры [2—4], однако в физиологическом интервале температур это изменение бывает не настолько значительным, чтобы его можно было использовать в качестве чувствительного аналитического сигнала. Существуют предпосылки к увеличению чувствительности спектрального отклика ФЛ за счет включения дополнительного механизма тушения ФЛ, например, в результате резонансного переноса энергии [5, 6]. Для реализации данного механизма необходимо подбирать донор и акцептор энергии с учетом их спектральных характеристик, а также реализовать их сближение и удерживание на необходимом для переноса энергии расстоянии.
При внедрении КТ в полимерные частицы можно добиться высокой локальной концентрации КТ в композите, управлять размером и конформацией полимерных частиц за счет варьирования параметров окружения [7], а также уменьшить токсичность КТ [8] и увеличить значение квантового выхода ФЛ [9]. Данный подход применяется для создания сенсоров [10, 11] или систем доставки лекарств [12], в которых реализуется механизм резонансного переноса энергии.
В работе исследовано усиление эффекта температурного тушения ФЛ квантовых точек CdSe/ZnS в биокомпозите за счет дополнительного механизма, связанного с безызлучательным переносом энергии к специально подобранному акцептору. Изучены спектральные и фотофизические свойства специально синтезированных композитов на основе биополимерных частиц из хитозана и хондроитин сульфата с коллоидными квантовыми точками и красителем эритрозином B (erB) при влиянии температуры в интервале от 283 до 333 K. Обсуждены основные механизмы тушения ФЛ квантовых точек в композите.
МАТЕРИАЛЫ И МЕТОДЫ
Материалы
Для синтеза биополимерных частиц были использованы низковязкий хитозан из панциря креветок и хондроитин сульфат A из трахеи быка c молекулярными массами 20—200 и 20—30 кДа соответственно производства Sigma–Aldrich (рис. 1в, г). Композиты синтезировали на основе биополимерных частиц с введением водорастворимых квантовых точек CdSe/ZnS (рис. 1а), стабилизированные карбоксильными группами, производства PlasmaChem (Германия). Дополнительно в композит вводили краситель эритрозин B производства Sigma‒Aldrich (рис. 1б). Все химические вещества использовались без дополнительной очистки. Исходный 0.1 мас. % раствор хитозана получали в 0.15 М ацетатном буфере, рН 5.5, бидистиллят использовали для получения базовых растворов 0.1 мас. % хондроитин сульфата, 10–4 М квантовых точек и 10–3 М красителя.
Рис. 1. Структурные формулы квантовых точек CdSe/ZnS (а), красителя эритрозина В (б) и биополимеров: хитозан (в) и хондроитин сульфат (г)
Синтез биополимерных частиц и композитов
Биополимерные частицы и композиты на их основе синтезировали по методике из работы [13]. Объемное соотношение поликатионных (хитозан) и полианионных (хондроитин сульфат) растворов составляло 2:1. Концентрация КТ при добавлении к 0.1 мас. % раствору хитозана была равна 4.7·10–6 М. Для синтеза композита с красителем раствор эритрозина B добавляли к смеси квантовых точек и хитозана, а затем перемешивали в течение не менее часа. Концентрация красителя в смеси составляла около 10–6 М. Далее синтез был аналогичен процедуре получения композита. Стехиометрическое соотношение биополимерная частица: КТ: краситель в композите приблизительно равно 1:100:20.
Размер и заряд поверхности композита
Измерение размера и ζ-потенциала биополимерных частиц и композита с красителем производилось методами фотонной корреляционной спектроскопии и электрофоретического рассеяния света с использованием анализатора Zetasizer Nano ZS (Malvern Instruments, Великобритания). Размер определялся по формуле Стокса‒Эйнштейна. Анализ автокорреляционной функции производился в приближении сферических частиц. Результат усреднялся по трем измерениям. Размеры биополимерных частиц композита составили 0.40—0.45 мкм (индекс полидисперсности 0.13—0.14). ζ-потенциал рассчитывался с использованием теории Смолуховского с применением поправок для различной толщины двойного электрического слоя. Величина ζ-потенциала биополимерной частицы составила +40±2 мВ, что свидетельствует о коллоидной стабильности [14]. Коллоидные растворы биополимерных частиц и композита остаются стабильными в течение не менее месяца.
Абсорбционные и фотолюминесцентные измерения
Спектры поглощения измеряли на спектрофотометре Lambda 35 (PerkinElmer, США) с приставкой для учета светорассеяния. Спектры фотолюминесценции измеряли на спектрофлуориметре Fluorolog 3—22 (Horiba Scientific, США) при возбуждении длиной волны 400 нм. Спектры испускания КТ были скорректированы на спектральную чувствительность ФЭУ, а также на эффект реабсорбции.
Время-разрешенные измерения проводили с использованием того же спектрофлуориметра, оснащенного модулем DeltaHub (Horiba Scientific, США), работающим в режиме коррелированных во времени одиночных фотонов. Источником возбуждения служил импульсный диод NanoLED N-370 с максимумом на длине волны 373 нм и длительностью импульсов < 1.2 нс. Времена жизни КТ были получены из кривых затухания ФЛ в максимуме спектра с помощью процедуры деконволюции в программе DAS6 (Horiba Scientific, США). Кривые затухания описаны суммой трех экспонент. В дальнейшем приведено среднее время жизни КТ.
Квантовый выход фотолюминесценции КТ в композите был найден относительным методом с использованием водного раствора флавинмононуклеотида (квантовый выход 26 % [15]) в качестве стандарта.
В экспериментах использовали стандартные кварцевые кюветы сечения 10×10 мм при L-геометрии возбуждения. Температурные измерения проводили с помощью термостатированного держателя кювет с дополнительным контролем температуры термометром HI 98509 Checktemp 1 (Hanna Instruments).
РЕЗУЛЬТАТЫ И ИХ ОБСУЖДЕНИЕ
Спектральные и фотофизические свойства CdSe/ZnS в композите с эритрозином В при комнатной температуре
У квантовых точек CdSe/ZnS в композите по сравнению с водой уменьшается как время жизни, так и квантовый выход фотолюминесценции. При комнатной температуре квантовый выход ФЛ квантовых точек в композите падает более чем в два раза до 19 2 %, а время жизни уменьшается всего на 20 % до 24 нс.
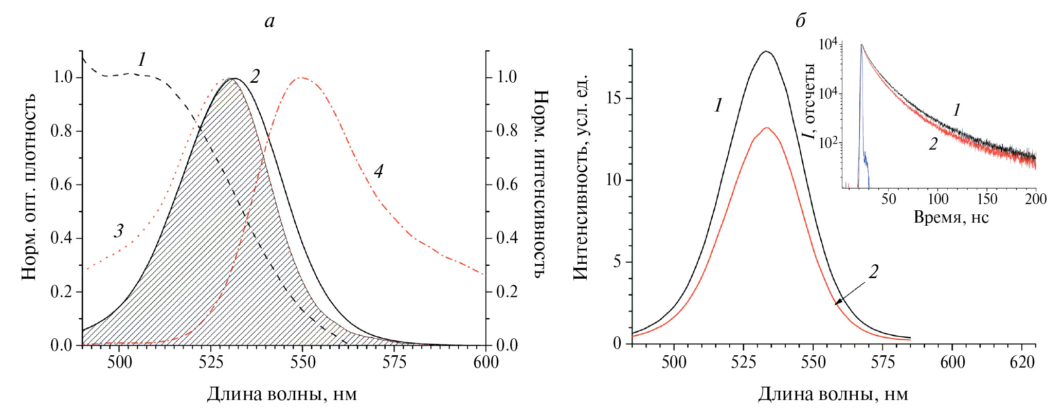
Для реализации переноса энергии между КТ и специально введенным акцептором в композите необходимо перекрытие J спектра ФЛ квантовых точек и спектра поглощения эритрозина B (рис. 2а). Теория Фёрстера [5, 16] позволяет оценить критическое расстояние R0 между донором и акцептором
, (1)
Рис. 2. Нормированные спектры поглощения и ФЛ квантовых точек CdSe/ZnS (1, 2) и красителя эритрозина B (3, 4) в композите (а). Спектры ФЛ и кривые затухания ФЛ (на вставке) CdSe/ZnS в композите без (1) и с акцептором энергии (2) (б)
при котором происходит перенос энергии, а также эффективность E этого переноса на определенном расстоянии r:
, (2)
где κ2 — ориентационный фактор, ΦD — квантовый выход донора, n — показатель преломления среды, N — число Авогадро. Экспериментально эффективность E переноса энергии может быть найдена из тушения интенсивности I или времени жизни τ фотолюминесценции (рис. 2б) донора (D) в присутствии акцептора (DA):
или . (3)
Для пары КТ-erB в композите расчет дал R0 = 5.1 нм (1), что соответствует интервалу R0 = 2—10 нм, типичному для безызлучательного переноса энергии. Эффективность переноса энергии E составила около 20 % (3), что дало возможность рассчитать по (2) среднее расстояние между донором и акцептором в биокомпозите r ~ 6.4 нм.
Влияние температуры на спектральные и фотофизические свойства CdSe/ZnS в композите с эритрозином В
На рис. 3а‒в показаны спектры ФЛ квантовых точек CdSe/ZnS в воде и в композите без и с акцептором энергии в зависимости от температуры. При увеличении температуры происходит одновременное тушение, сдвиг и уширение контура ФЛ, поэтому в качестве аналитического сигнала использовалась интегральная интенсивность спектра ФЛ. В интервале температур 283—333 K интегральная интенсивность спектра ФЛ падает на 37 %, 44 % и 53 % для квантовых точек в воде, в композите без и с красителем соответственно.
Рис. 3. Влияние температуры на спектры и кривые затухания ФЛ квантовых точек CdSe/ZnS в воде (а, г), в биополимерном композите без (б, д) и с (в, е) акцептором энергии. T = 283 К (1, черные кривые), T = 293 К (2, красные кривые), T = 303 К (3, зеленые кривые), T = 313 К (4, синие кривые), T = 323 К (5, голубые кривые), T = 333 К (6, фиолетовые кривые)
Тенденция к увеличению тушения с ростом температуры наблюдается и в кривых затухания, представленных на рис. 3г‒е. Найденные средние времена жизни ФЛ падают приблизительно на 25 % для квантовых точек во всех исследуемых системах.
Влияние температуры на размеры композита
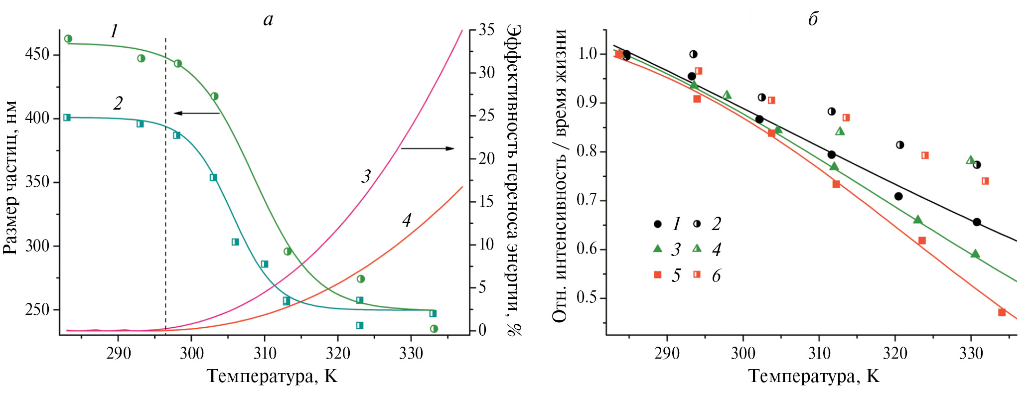
Размеры биополимерных частиц и композита изменяются под действием температуры. На рис. 4а (кривые 1, 2) показано уменьшение размеров полимерных частиц и композита с акцептором с увеличением температуры на 35—45 %. Было проведено три цикла нагревания и охлаждения биополимерной частицы и композита с акцептором в диапазоне от 283 до 333 K. Установлено, что изменение размера композита является обратимым в данном интервале температур, а начиная с температуры ~ 343 K происходит необратимое разрушение полимерной частицы.
Рис. 4. Влияние температуры на уменьшение размера биополимерных частиц (1), композита с эритрозином B (2) и на рост вклада от общего переноса энергии КТ-КТ, КТ-erB (3) и переноса энергии только за счет КТ-erB (4) в тушение интенсивности ФЛ (а). Температурное тушение интенсивности (I) и среднего времени жизни (τ) ФЛ квантовых точек CdSe/ZnS в трех исследуемых системах (б): вода (черные круги, 1 — I, 2 — τ), композит (зеленые треугольники, 3 — I, 4 — τ), композит с erB (красные квадраты, 5 — I, 6 — τ)
В работе [17] наблюдалась аналогичная тенденция изменения размера микрогелей на основе полисахаридов, что объясняют наличием у каждого полимера нижней критической температуры растворения, превышение которой приводит к ослаблению водородных связей и усилению гидрофобного взаимодействия между функциональными группами полимера [18]. Описание сигмоидной функцией зависимости размера биополимерной частицы и композита (рис. 4а, кривые 1, 2) дает критические температуры 308 K и 305 K соответственно, что близко к значению 303 K для хитозана [19].
Механизмы тушения фотолюминесценции при изменении температуры
На рис. 4б показано различие эффективности тушения ФЛ квантовых точек в воде и биокомпозите. Изменение характера тушения интенсивности ФЛ свидетельствует о включении дополнительных каналов безызлучательной релаксации. Времена жизни ФЛ реагируют на увеличение температуры схожим образом для трех исследуемых систем. Это может говорить о проявлении только таких механизмов температурного тушения, которые не включают в себя перенос энергии на акцептор. К типичным процессам усиления безызлучательной релаксации при увеличении температуры относят оже-рекомбинацию, термический уход носителей заряда за счет рассеяния на оптических фононах, захват носителей заряда поверхностными ловушками [20]. Вклад в тушение интенсивности ФЛ двух последних процессов считается наиболее значимым [21].
Из рис. 4б видно, что в интервале температур от 283 до 300 K эффективность тушения интенсивности ФЛ одинаковая для квантовых точек во всех исследуемых системах. Это говорит о том, что задействованы однотипные механизмы температурного тушения. С ~ 300 K кривые тушения начинают различаться, причем максимальное падение наблюдается для композита с КТ в присутствии erB, а минимальное — для КТ в воде. Это связано с увеличением эффективности переноса энергии в системе за счет уменьшения расстояния между донором и акцептором в результате изменения размера биополимерной частицы (рис. 4а).
Следует рассмотреть возможность переноса энергии в двух системах между КТ разного размера (КТ-КТ) [22] и от квантовых точек к красителю (КТ-erB). Распределение использованных квантовых точек CdSe/ZnS по размеру составляет около 10 %. Оценка расстояния между КТ в композите дала величину 7.8—8.4 нм, что соответствует эффективности переноса энергии 3—5 % при комнатной температуре. На рис. 4а (кривые 3, 4) представлен вклад в температурное тушение ФЛ за счет суммарного переноса энергии в системах КТ-КТ и КТ-erB и только за счет переноса энергии КТ-erB, рассчитанных на основе кривых из рис. 4б. При температуре 336 K вклад суммарного переноса энергии в тушение интенсивности ФЛ составляет 35 %, а только переноса КТ-erB около 17 %.
Для проверки применимости композита с квантовыми точками CdSe/ZnS и эритрозином B в качестве оптического температурного сенсора были выполнены измерения интенсивности и времен жизни ФЛ в трех циклах нагревания и охлаждения в интервале 283—333 K. Продемонстрировано, что наблюдаемые фотофизические процессы, а также изменение размеров композитов являются обратимыми в данном интервале температур.
ЗАКЛЮЧЕНИЕ
Таким образом, показано, что температурная чувствительность интенсивности фотолюминесценции квантовых точек CdSe/ZnS (в интервале 283—333 K) в композите с красителем эритрозином B повышается на 35 % по сравнению с водой. Усиление тушения интенсивности ФЛ квантовых точек в композите с красителем происходит за счет одновременной реализации механизмов температурного тушения и резонансного переноса энергии к акцептору, что обеспечивается за счет высокой локальной концентрации флуорофоров. Представленный подход может быть использован для создания динамических температурных сенсоров на основе биокомпозитов в биомедицинских приложениях благодаря обратимости температурного влияния на спектральные, фотофизические и размерные свойства композита.
Работа выполнена при поддержке Министерства науки и высшего образования РФ (грант МК-995.2022.1.2) и программы «Приоритет 2030», проект «Создание новых люминесцентных материалов полифункционального назначения».
Об авторах
Н. В. Слюсаренко
Сибирский федеральный университет
Автор, ответственный за переписку.
Email: sci_box@mail.ru
Россия, Красноярск
М. А. Герасимова
Сибирский федеральный университет
Email: sci_box@mail.ru
Россия, Красноярск
Е. В. Парфенова
Сибирский федеральный университет
Email: sci_box@mail.ru
Россия, Красноярск
Список литературы
- Lesnyak V., Gaponik N., Eychmüller A. et al. // Chem. Soc. Rev. 2013. V. 42. No. 7. P. 2905.
- Слюсаренко Н.В., Герасимова М.А., Слабко В.В., Слюсарева Е.А. // Изв. вузов. Физика 2017. Т. 60. № 3. С. 88; Slyusarenko N.V., Gerasimova M.A., Slabko V.V., Slyusareva E.A. // Russ. Phys. J. 2017. V. 60. No. 3. P. 477.
- Магарян К.А., Михайлов М.А., Каримуллин К.Р. и др. // Изв. РАН. Сер. физ. 2014. Т. 78. № 12. С. 1629; Magaryan K.A., Mikhailov M.A., Karimullin K.R. et al. // Bull. Russ. Acad. Sci. Phys. 2014. V. 78. No. 12. P. 1336.
- Литвяк В.М., Чербунин Р.В., Онущенко А.А. // Изв. РАН. Сер. физ. 2017. Т. 81. № 12. С. 1686; Litvyak V.M., Cherbunin R.V., Onushchenko A.A. // Bull. Russ. Acad. Sci. Phys. 2017. V. 81. No. 12. P. 1490.
- Förster T. // Radiat. Res. Suppl. 1960. V. 2. P. 326.
- Gerasimova M.A., Slyusarenko N.V., Slyusareva E.A. // Proc. SPIE. 2018. V. 10614. Art. No. 106140E.
- Ahmed E.M. // J. Adv. Res. 2015. V. 6. No. 2. P. 105.
- Ghormade V., Gholap H., Kale S. et al. // J. Biomater. Sci. Polym. Ed. 2015. V. 26. No. 1. P. 42.
- Елопов А.В., Зайцев В.Б., Жигунов Д.М. и др. // Изв. РАН. Сер. физ. 2019. Т. 83. № 1. С. 41; Elopov A.V., Zaytsev V.B., Zhigunov D.M. et al. // Bull. Russ. Acad. Sci. Phys. 2019. V. 83. No. 1. P. 32.
- Yin J., Li C., Wang D., Liu S. // J. Phys. Chem. B. 2010. V. 114. No. 38. P. 12213.
- Li C., Zhang Y., Hu J. et al. // Angew. Chem. Int. Ed. 2010. V. 49. No. 30. P. 5120.
- Kaeokhamloed N., Legeay S., Roger E. // J. Control. Release. 2022. V. 349. P. 156.
- Slyusarenko N., Gerasimova M., Plotnikov A. et al. // Phys. Chem. Chem. Phys. 2019. V. 21. No. 9. P. 4831.
- Boddohi S., Moore N., Johnson P.A., Kipper M.J. // Biomacromolecules. 2009. V. 10. No. 6. P. 1402.
- Holzer W., Penzkofer A., Fuhrmann M., Hegemann P. // Photochem. Photobiol. 2002. V. 75. No. 5. P. 479.
- Lakowicz J.R. Principles of fluorescence spectroscopy. New York: Springer, 2006. 954 p.
- Dou H., Yang W., Tao K. et al. // Langmuir. 2010. V. 26. No. 7. P. 5022.
- Hill L.E., Gomes C.L. // Mater. Res. Express. 2014. V. 1. No. 3. Art. No. 035405.
- Goycoolea F.M., Argüelles-Monal W.M., Lizardi J. et al. // Polym. Bull. 2007. V. 58. No. 1. P. 225.
- Morello G., De Giorgi M., Kudera S. et al. // J. Phys. Chem. C. 2007. V. 111. No. 16. P. 5846.
- Tang L., Zhang Y., Liao C. et al. // Sensors. 2022. V. 22. No. 22. Art. No. 8993.
- Chou K.F., Dennis A.M. // Sensors. 2015. V. 15. No. 6. Art. No. 13288.
Дополнительные файлы







