Особенности температурной зависимости спектра спиновых волн в тонкой пленке Pd-Fe градиентного состава
- Авторы: Янилкин И.В.1,2, Гумаров А.И.1,2, Габбасов Б.Ф.1,2, Юсупов Р.В.1, Тагиров Л.Р.1,2
-
Учреждения:
- Федеральное государственное автономное образовательное учреждение высшего образования “Казанский (Приволжский) федеральный университет”
- Федеральное государственное бюджетное учреждение науки «Федеральный исследовательский центр «Казанский научный центр Российской академии наук»
- Выпуск: Том 88, № 7 (2024)
- Страницы: 1116-1121
- Раздел: Спиновая физика, спиновая химия и спиновые технологии
- URL: https://journal-vniispk.ru/0367-6765/article/view/279557
- DOI: https://doi.org/10.31857/S0367676524070181
- EDN: https://elibrary.ru/PAHZMG
- ID: 279557
Цитировать
Полный текст
Аннотация
Синтезирована эпитаксиальная пленка сплава Pd-Fe толщиной 202 нм с концентрацией железа, изменяющейся по глубине от 2 % до 10 ат. %. Измерена температурная зависимость спектров спин-волнового резонанса в полученной пленке. Проведено моделирование спектров стоячих спиновых волн. Из соотнесения теоретических спектров с экспериментальными данными получены температурные зависимости нормированной обменной жесткости, отношения эффективной намагниченности к намагниченности насыщения и коэффициентов поверхностного пиннинга магнитного момента.
Полный текст
Введение
Неоднородные по толщине ферромагнитные пленки являются перспективными материалами для магноники [1—6] с точки зрения возможности инженерии спектра спиновых волн [7—12], а также распространения невзаимных спиновых волн [13] в таких материалах. Как было показано, характер спектра стоячих спиновых волн (ССВ), т. е. соотношение интенсивностей мод и положение резонансов, может задаваться изначально посредством рассчитанного профиля намагниченности. Сплав палладий-железо — удобный материал для создания неоднородных пленок, поскольку намагниченность в нем практически линейно зависит от концентрации железа при концентрациях ниже 10 ат. % [14—15]. В работах [16, 17] показано, что такие пленки можно делать очень гладкими и эпитаксиальными, кроме того, магнитные свойства пленок будут стабильными во времени [15]. В неоднородном образце, областям с различной намагниченностью будут соответствовать различные температуры Кюри. С этой точки зрения, температурная эволюция профилей намагниченности в неоднородной пленке, а, следовательно, и спектров стоячих спиновых волн может быть неочевидной. В данной работе мы исследовали особенности температурной зависимости спектра стоячих спиновых волн в тонкой эпитаксиальной пленке Pd-Fe с профилем концентрации железа по толщине, линейно изменяющимся от 2 до 10 ат. %.
Экспериментальная часть
Для получения пленки сплава Pd-Fe, металлы Pd и Fe высокой чистоты (99.95 %) испарялись из эффузионных ячеек в виде молекулярных пучков и осаждались на вращающуюся подложку монокристалла MgO (001). Для получения пленки неоднородной по толщине, скорость напыления палладия поддерживалась постоянной, а скорость напыления железа варьировалась контролируемым образом. В результате получилась эпитаксиальная пленка, толщиной 202 нм, в которой концентрация железа изменялась линейно от 2 ат. % (вблизи подложки) до 10 ат. % (вблизи поверхности). Температура возникновения спонтанного магнитного момента пленки составляла 235 К. Детали методики напыления, а также структурные исследования схожих пленок подробно описаны в работах [18, 19]. Магниторезонансные характеристики пленки изучались методом спин-волнового резонанса (СВР) на спектрометре Bruker ESP300 непрерывного действия X-диапазона СВЧ в диапазоне полей 0—1.4 Тл и температурном интервале 10—300 K. Измерение температурной зависимости намагниченности насыщения и петель магнитного гистерезиса проводилось на установке Quantum Design PPMS-9 методом вибрационной магнитометрии. Толщина пленки измерялась профилометром Bruker DektakXT.
Результаты и их обсуждение
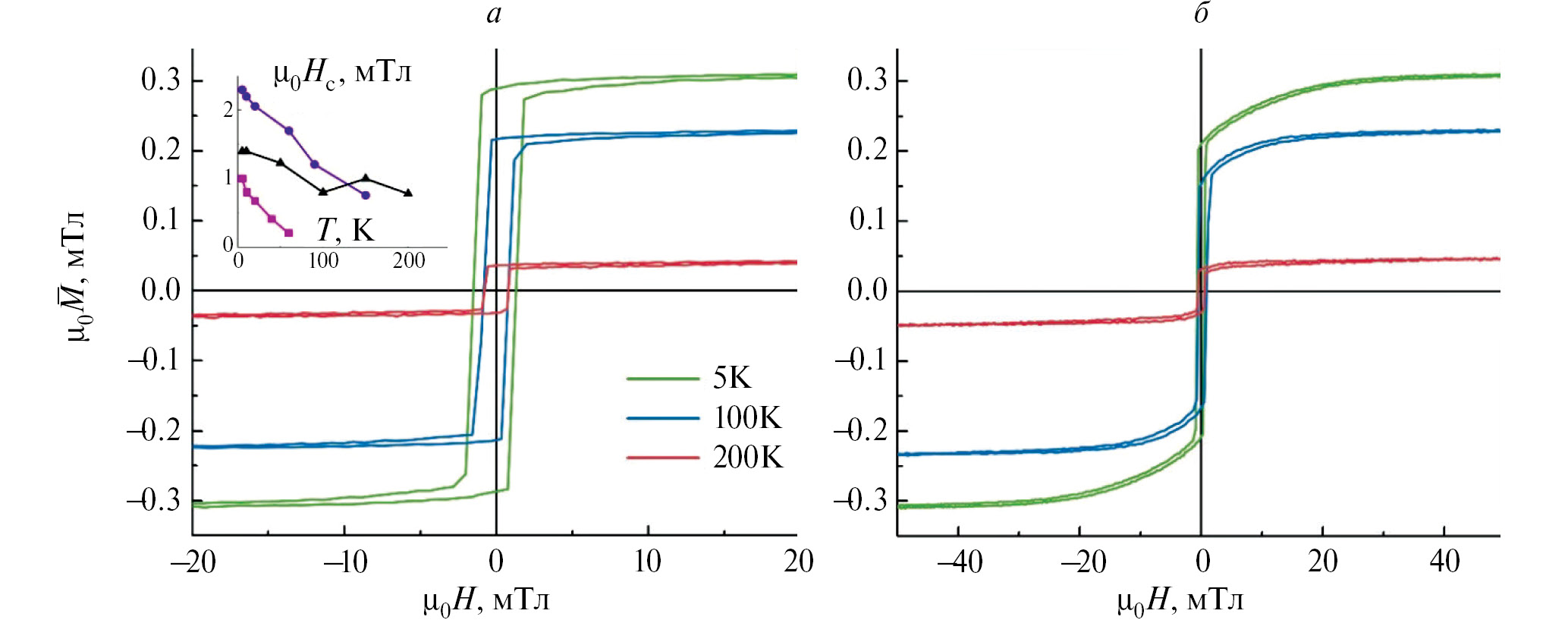
На рисунке 1 показаны петли магнитного гистерезиса, измеренные в плоскости пленки вдоль легкого <110> и тяжелого <100> направлений намагничивания при различной температуре. Величина коэрцитивного поля Hc в зависимости от температуры изменялась в диапазоне 1.4—0.8 мТл для направления легкого намагничивания (рис. 1а, вставка) и в диапазоне 1.0—0.5 мТл для тяжелого. Для сравнения мы привели температурные зависимости Hc для двух однородных эпитаксиальных пленок Pd100−xFex с различной концентрацией железа: x = 2 и 8 ат. % (рис. 1а, вставка). Как видно из рисунка, в неоднородном образце (черные треугольники) величина коэрцитивного поля гораздо слабее зависит от температуры, чем в однородных образцах. Причина этого, возможно, заключается в дополнительном пиннинге спинов на поверхности границы ферромагнетик/парамагнетик, которая появляется при переходе низко-концентрированной области пленки Pd-Fe в парамагнитную фазу с повышением температуры. Подробное изучение влияния профиля намагниченности неоднородной по толщине пленки на величину коэрцитивного поля проведено в работах [20—22].
Рис. 1. Петли магнитного гистерезиса для неоднородной пленки Pd-Fe, полученные при различных температурах в магнитном поле, приложенном вдоль направлений [110] (а) и [100] (б). Вставка — зависимость величины коэрцитивного поля (магнитное поле вдоль [110]) от температуры как для неоднородной пленки Pd-Fe (черные треугольники), так и для двух однородных эпитаксиальных пленок с различной концентрацией железа: Pd98Fe2 (розовые квадраты) и Pd92Fe8 (сиреневые кружки).
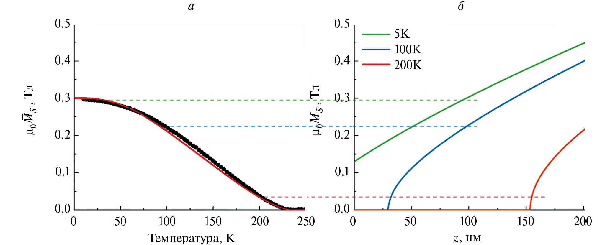
Важнейшим фактором при формировании стоячих спиновых волн в пленке является профиль локальной намагниченности. Для того, чтобы его рассчитать для различных температур (рис. 2б), использовался экспериментальный факт, что характер зависимости удельной намагниченности M/Ms от удельной температуры T/TC является универсальным для однородных эпитаксиальных пленок Pd100−xFex (для 1 < x < 8 %) и описывается формулой Кузьмина [15, 23]. Косвенной проверкой верности расчетов является совпадение рассчитанной из модели средней намагниченности и измеренной экспериментально (рис. 2а). Как видно из рисунка, низко-концентрированная область пленки становится парамагнитной при температуре немного ниже 100 К (рис. 2б). В то же время при температуре 200 К, несмотря на малую среднюю намагниченность пленки Тл, локальная намагниченность у поверхности остается все еще достаточно большой Тл. Полученные расчетные профили намагниченности далее использовались в расчетах спин-волнового резонанса.
Рис. 2. Зависимость средней намагниченности пленки (а) и профиля локальной намагниченности внутри пленки (б) от температуры. Точки — эксперимент, линии — модель.
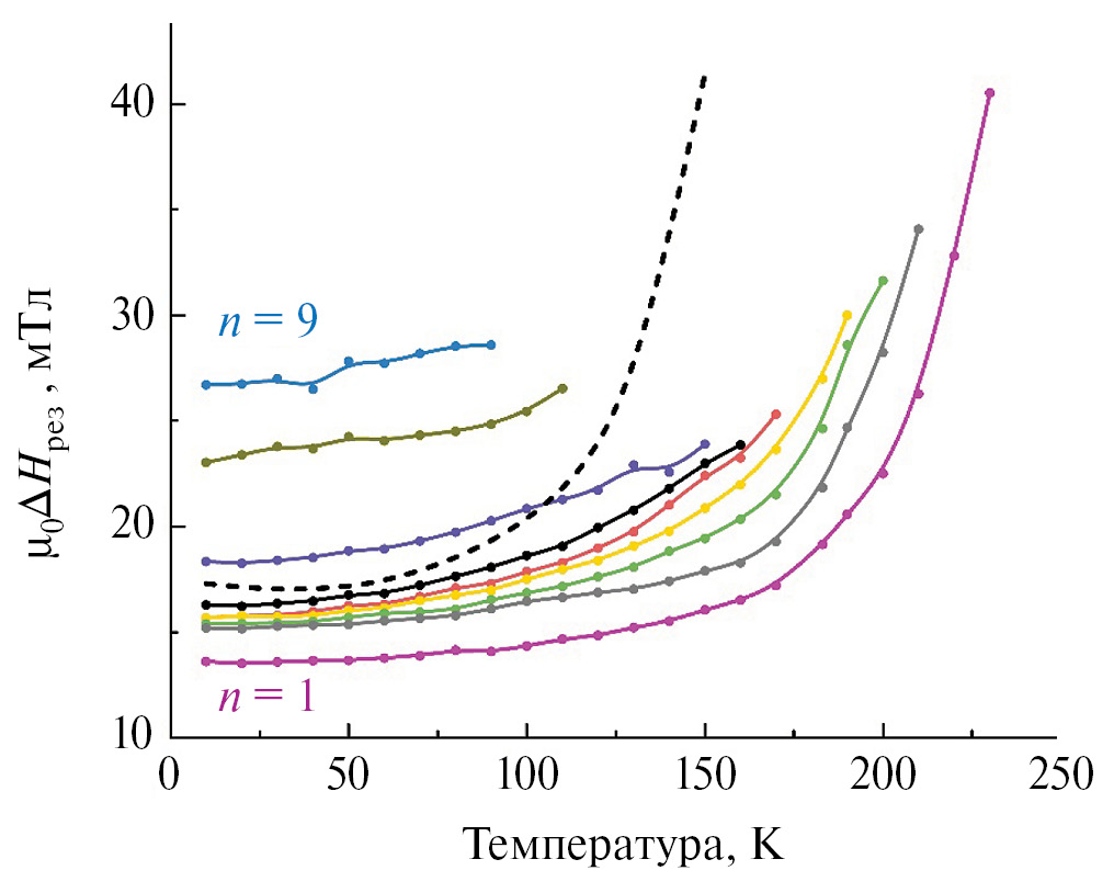
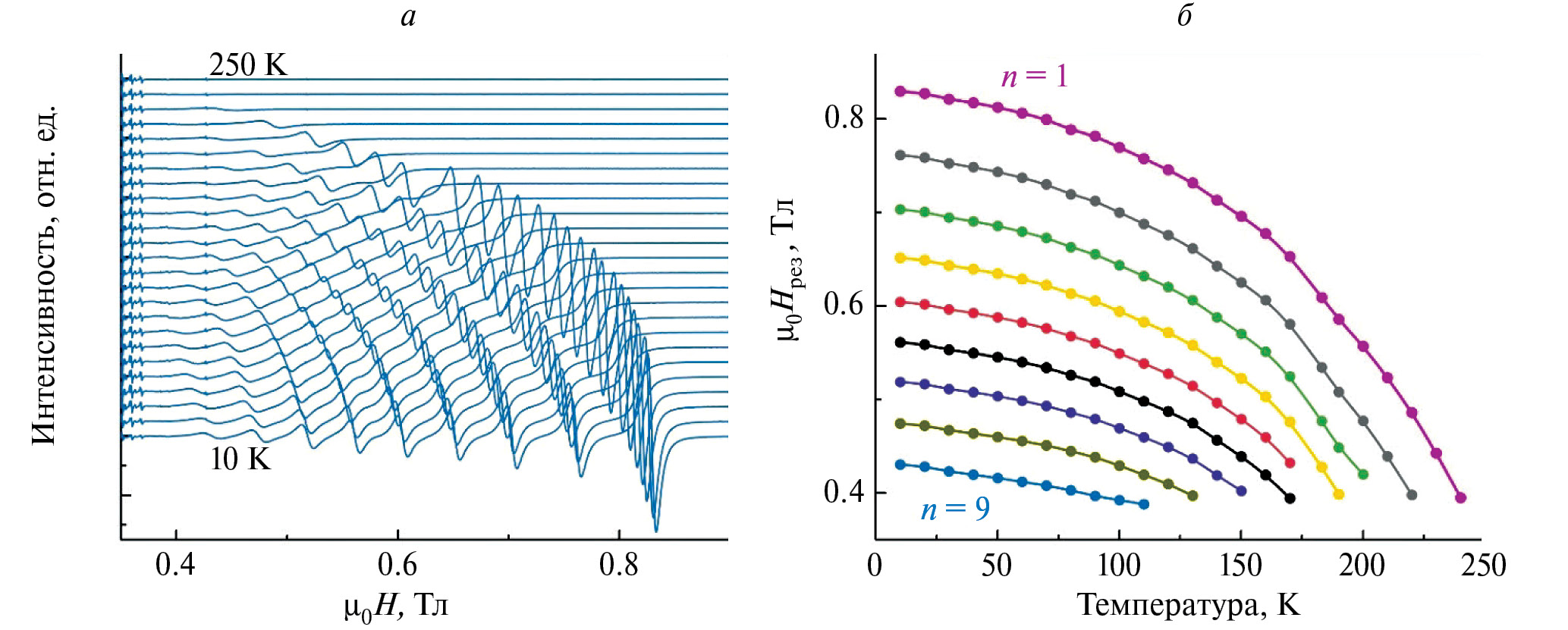
На рис. 3а показана температурная зависимость спектра стоячих спиновых волн в синтезированной градиентной пленке сплава Pd-Fe. Как видно из рисунка, с увеличением температуры величины резонансных полей наблюдаемых мод сдвигаются в сторону меньших значений, при этом количество мод ССВ сокращается (рис. 3б). Такая эволюция спектра ССВ качественно объясняется тем, что с увеличением температуры намагниченность пленки уменьшается, более того, низкоконцентрированная область Pd-Fe становится парамагнитной и, следовательно, уменьшается эффективная толщина ферромагнитной пленки (рис. 2б).
Рис. 3. Температурная зависимость спектра спин-волнового резонанса (а) и величин резонансного поля (б) стоячих спиновых волн в градиентной пленке сплава Pd-Fe. Температура изменяется от 10 до 250 К с шагом 10 К.
Для детального понимания поведения спектра необходимо провести расчет распределения интенсивности прецессии мод стоячих спиновых волн. Предполагается, что магнитные свойства пленки изменяются по нормали z к пленке, а магнитное поле прикладывается вдоль нормали. Тогда СВР в ферромагнитной пленке с неоднородной по толщине намагниченностью описываются уравнением для резонансной круговой проекции намагниченности m(z, t) [7, 18]:
(1)
Здесь — нормированный коэффициент обменной жесткости, а
(2)
где fres — частота возбуждения, γ — гиромагнитное отношение, — отношение эффективной намагниченности к намагниченности насыщения, которое больше 1 для легкоплоскостных ферромагнетиков и меньше 1 в обратном случае. Для упрощения считаем, что нормированный коэффициент обменной жесткости (обозначим его как усредненный параметр D) не зависит от координаты z, а определяется только температурой.
Уравнение (1) имеет структуру уравнения Шрёдингера с граничными условиями где параметр αs = Ks / As являющийся коэффициентом поверхностного пиннинга, представляет собой отношение поверхностной энергии к константе обменной жесткости на поверхности. В случае спиновые граничные условия свободны, а в случае спиновые граничные условия фиксированы, или закреплены. Параметр отдельно определялся как для поверхности , так и для интерфейса . Причем в качестве интерфейса при низких температурах выступала граница пленка/подложка (z = 0 нм), а при более высоких интерфейсом была граница ферромагнетик/парамагнетик в сплаве Pd-Fe (рис. 4, нижняя панель), которая с увеличением температуры смещалась от границы с подложкой к поверхности пленки.
Рис. 4. Верхняя панель — спектры спин-волнового резонанса градиентной пленки сплава Pd-Fe при различных температурах. Точки — эксперимент, красные линии — модель. Нижняя панель — соответствующие распределения амплитуды прецессии m(z) по толщине пленки. Красная штрихпунктирная линия — зависимость потенциала V от координаты z.
По аналогии с уравнением Шрёдингера V(z) играет роль потенциальной ямы и определяется локальной намагниченностью материала. Тогда в рамках такого подхода находится n-й «энергетический уровень» стоячих спиновых волн в потенциальной яме V(z) (см. рис. 4, красные пунктирные линии). Подробные детали расчета приведены в работах [12, 18]. Для каждой температуры подбирались параметры . Примеры результатов расчета спектров СВР показаны на рисунке 4. Как видно, модельные спектры показывают хорошее совпадение с экспериментальными данными.
Полученные температурные зависимости параметров показаны на рисунке 5. Как видно из рисунка, нормированный коэффициент обменной жесткости практически линейно уменьшается до 0 с ростом температуры (рис. 5а). Параметр β больше 1 и слабо изменялся с температурой (рис. 5б). Это также подтверждается измерением петель магнитного гистерезиса (не показаны в данной работе) в магнитном поле, приложенном вдоль нормали к пленке. Коэффициенты поверхностного пиннинга для поверхности и интерфейса имеют малые значения (слабый пинниг), однако проявляют существенно разные температурные зависимости (рис. 5в). Пиннинг на поверхности слабо изменяется во всем диапазоне температур. В противоположность этому, при низких температурах примерно совпадает с , а при температуре около 70—80 К испытывает резкий скачок (рис. 5в), что связано с появлением парамагнитной фазы вблизи поверхности подложки. На интерфейсе ферромагнетик/парамагнетик пиннинг спинов оказывается бóльшим по величине, чем на поверхности. Это согласуется с выводом о дополнительном пиннинге доменных стенок на границе ферромагнетик/парамагнетик, который был сделан выше по результатам измерения зависимости величины коэрцитивного поля от температуры.
Рис. 5. Температурные зависимости нормированной обменной жесткости (а), отношения эффективной намагниченности к намагниченности насыщения (б) и коэффициентов пиннинга на поверхности и интерфейсе ферромагнетик/парамагнетик (в).
Зависимость ширины линии резонансов стоячих спиновых волн от температуры приведена на рис. 6. Для сравнения также показана зависимость ширины резонанса для однородной пленки Pd94Fe6 с температурой Кюри 175 К (пунктирная кривая). Как видно из рисунка, ширина резонанса моды n = 1 имеет схожую температурную зависимость с таковой в однородном образце. А ширина резонанса моды n = 9 практически не зависит от температуры. Подробное исследование данных особенностей находится за пределами интересов данной работы.
Рис. 6. Зависимость ширины на полувысоте резонансов мод ССВ неоднородной пленки Pd-Fe (сплошные линии) и однородной пленки Pd94Fe6 (штрихпунктирная линия) от температуры.
Заключение
Исследование особенностей температурной зависимости спектра спиновых волн в тонкой пленке сплава Pd-Fe градиентного состава показало, что во всем измеренном диапазоне температур резонансный спектр стоячих спиновых волн описывается классическим теоретическим представлением. Для корректной аппроксимации экспериментальных данных необходимо учитывать два зависящих от температуры параметра: 1) усредненную по толщине нормированную обменную жесткость (T) и 2) коэффициенты поверхностного пиннинга спинов . При этом при низких температурах совпадает с , а при температуре около 70—80 К имеется резкий скачок, что связано с появлением парамагнитной фазы вблизи интерфейса пленка/подложка.
Работа выполнена при финансовой поддержке Российского научного фонда (проект №. 22-22-00629; https://rscf.ru/en/project/22-22-00629/).
Об авторах
И. В. Янилкин
Федеральное государственное автономное образовательное учреждение высшего образования “Казанский (Приволжский) федеральный университет”; Федеральное государственное бюджетное учреждение науки «Федеральный исследовательский центр «Казанский научный центр Российской академии наук»
Автор, ответственный за переписку.
Email: yanilkin-igor@yandex.ru
Институт физики, Казанский физико-технический институт имени Е.К. Завойского
Россия, Казань; КазаньА. И. Гумаров
Федеральное государственное автономное образовательное учреждение высшего образования “Казанский (Приволжский) федеральный университет”; Федеральное государственное бюджетное учреждение науки «Федеральный исследовательский центр «Казанский научный центр Российской академии наук»
Email: yanilkin-igor@yandex.ru
Институт физики, Казанский физико-технический институт имени Е.К. Завойского
Россия, Казань; КазаньБ. Ф. Габбасов
Федеральное государственное автономное образовательное учреждение высшего образования “Казанский (Приволжский) федеральный университет”; Федеральное государственное бюджетное учреждение науки «Федеральный исследовательский центр «Казанский научный центр Российской академии наук»
Email: yanilkin-igor@yandex.ru
Институт физики, Казанский физико-технический институт имени Е.К. Завойского
Россия, Казань; КазаньР. В. Юсупов
Федеральное государственное автономное образовательное учреждение высшего образования “Казанский (Приволжский) федеральный университет”
Email: yanilkin-igor@yandex.ru
Институт физики
Россия, КазаньЛ. Р. Тагиров
Федеральное государственное автономное образовательное учреждение высшего образования “Казанский (Приволжский) федеральный университет”; Федеральное государственное бюджетное учреждение науки «Федеральный исследовательский центр «Казанский научный центр Российской академии наук»
Email: yanilkin-igor@yandex.ru
Институт физики, Казанский физико-технический институт имени Е.К. Завойского
Россия, Казань; КазаньСписок литературы
- Chumak A.V., Kabos P., Wu M. et al. // IEEE Trans. Magn. 2022. V. 58. No. 6. P. 1.
- Barman A., Gubbiotti G., Ladak S. et al. // J. Phys. Cond. Matter. 2021. V. 33. Art. No. 413001.
- Rezende S.M. Fundamentals of magnonics. Springer Nature Switzerland AG, 2020.
- Губанов В.А., Кругляк В.В., Садовников А.В. // Изв. РАН. Сер. физ. 2023. Т. 87. № 3. С. 417; Gubanov V.A., Kruglyak V.V., Sadovnikov A.V. // Bull. Russ. Acad. Sci. Phys. 2023. V. 87. No. 3. P. 362.
- Хутиева А.Б., Акимова В.Р., Бегинин Е.Н. и др. // Изв. РАН. Сер. физ. 2023. Т. 87. № 6. С. 792; Khutieva A.B., Akimova V.R., Beginin E.N. et al. // Bull. Russ. Acad. Sci. Phys. 2023. V. 87. No. 6. P. 697.
- Хутиева А.Б., Садовников А.В., Аннненков А.Ю. и др. // Изв. РАН. Сер. физ. 2021. Т. 85. № 11. С. 1542; Khutieva A.B., Sadovnikov A.V., Annenkov A.Yu. et al. // Bull. Russ. Acad. Sci. Phys. 2021. V. 85. No. 11. P. 1205.
- Ignatchenko V.A., Tsikalov D.S. // J. Appl. Phys. 2020. V. 127. No. 12. Art. No. 123903.
- Ignatchenko V.A., Tsikalov D.S. // J. Magn. Magn. Mater. 2020. V. 510. Art. No. 166643.
- Исхаков Р.С., Чеканова Л.А., Важенина И.Г. // Изв. РАН. Сер. физ. 2013. Т. 77. № 10. С. 1469; Iskhakov R.S., Chekanova L.A., Vazhenina I.G. // Bull. Russ. Acad. Sci. Phys. 2013. V. 77. No. 10. P. 1265.
- Важенина И.Г., Чеканова Л.А., Исхаков Р.С. // Изв. РАН. Сер. физ. 2019. Т. 83. № 6. С. 786; Vazhenina I.G., Chekanova L.A., Iskhakov R.S. // Bull. Russ. Acad. Sci. Phys. 2019. V. 83. No. 6. P. 713.
- Исхаков Р.С., Столяр С.В., Чеканова Л.А. и др. // ФТТ. 2020. Т. 62. № 10. С. 1658; Iskhakov R.S., Chekanova L.A., Vazhenina I.G. et al. // Phys. Solid State. 2020. V. 62. No. 10. P. 1861.
- Yanilkin I.V., Gumarov A.I., Golovchanskiy I.A., et al. // Nanomaterials. 2023. V. 12. No. 24. Art. No. 4361.
- Gallardo R.A., Alvarado-Seguel P., Schneider T. et al. // New J. Phys. 2019. V. 21. No. 3. Art. No. 033026.
- Ododo J.C. // J. Physics F. 1983. V. 13. No. 6. P. 1291.
- Esmaeili A., Yanilkin I.V., Gumarov A.I. et al. // Sci. China Mater. 2021. V. 64. No. 5. P. 1246.
- Esmaeili A., Yanilkin I.V., Gumarov A.I. et al. // Thin Solid Films. 2019. V. 669. P. 338.
- Yanilkin I., Mohammed W., Gumarov A. et al. // Nanomaterials. 2020. V. 11. No. 1. Art. No. 64.
- Golovchanskiy I.A., Yanilkin I.V., Gumarov A.I. et al. // Phys. Rev. Mater. 2022. V. 6. No. 6. Art. No. 064406.
- Янилкин И.В., Гумаров А.И., Головчанский И.А. и др. // ЖТФ. 2023. Т. 93. № 2. С. 214; Yanilkin I.V., Gumarov A.I., Golovchanskiy I.A. et al. // Tech. Phys. 2023. V. 68. No. 2. P. 202.
- Fallarino L., Riego P., Kirby B.J. et al. // Materials. 2018. V. 11. No. 2. P. 251.
- Fallarino L., Quintana M., Rojo E. L. et al. // Phys. Rev. Appl. 2021. V. 16. No. 3. Art. No. 034038.
- Quintana M., Meléndez A., Valderrama C. M. et al. // Phys. Rev. Appl. 2022. V. 18. No. 5. Art. No. 054024.
- Kuz’min M.D. // Phys. Rev. B. 2008. V. 77. No. 18. Art. No. 184431.
Дополнительные файлы








