Достоверность сечений фотонейтронных реакций на ядрах 51V и 59Co в экспериментах на пучках тормозного γ-излучения
- Авторы: Варламов В.В.1, Давыдов А.И.1, Мостаков И.А.1
-
Учреждения:
- Федеральное государственное бюджетное образовательное учреждение высшего образования Московский государственный университет имени М.В. Ломоносова
- Выпуск: Том 88, № 8 (2024)
- Страницы: 1191-1198
- Раздел: Фундаментальные вопросы и приложения физики атомного ядра
- URL: https://journal-vniispk.ru/0367-6765/article/view/279567
- DOI: https://doi.org/10.31857/S0367676524080063
- EDN: https://elibrary.ru/ORIHGG
- ID: 279567
Цитировать
Полный текст
Аннотация
С помощью экспериментально-теоретического метода оценки сечений парциальных фотонейтронных реакций, основанного на объективных физических критериях, исследована достоверность данных по сечениям реакций (γ, 1n) и (γ, 2n) на ядрах 51V и 59Co, определенных в экспериментах на пучках тормозного γ -излучения. Установлено, что сечения парциальных реакций, полученные с помощью внесения поправок, рассчитанных по статистической теории, в экспериментально измеренное сечение выхода нейтронов σ(γ, xn) = σ(γ, 1n) + σ(γ, 2n), не удовлетворяют критериям достоверности. В рассмотренных экспериментах недостоверно сечения реакции (γ , 1n) существенно занижены, а реакции (γ, 2n) — напротив завышены. Это очевидно обусловлено недостатками использованного метода получения информации о сечениях парциальных реакций с помощью поправок в сечение выхода σ(γ, xn), рассчитанных по статистической теории. Такие поправки, описывая сечение реакции (γ, 1n) при энергиях фотонов, не превышающих порог B2n реакции (γ, 2n), приводят к существенным систематическим погрешностям в области энергий, в которой обе парциальные реакции конкурируют.
Ключевые слова
Полный текст
ВВЕДЕНИЕ
Оценка достоверности данных по сечениям парциальных реакций (g, 1n) и (g, 2n) на ядрах 51V и 59Co, полученных экспериментально на пучках тормозного g-излучения, вызывает большой интерес. В исследованиях, выполненных с использованием объективных физических критериев достоверности [1, 2], было установлено, что такие данные для этих ядер, полученные в экспериментах, выполненных на пучках квазимоноэнергетических аннигиляционных фотонов с помощью метода разделения фотонейтронов по множественности, не удовлетворяют критериям достоверности [3—5]. Было показано, что сечения парциальных реакций, полученные этим методом, не являются достоверными вследствие проявления в них существенных систематических погрешностей метода определения множественности нейтронов на основании данных об их энергиях: эти энергии в разных реакциях могут быть близкими, что делает интерпретацию принадлежности нейтронов к той или иной реакции неоднозначной. Систематические погрешности метода экспериментального определения множественности нейтронов приводят к недостоверному (необоснованному, ошибочному) изъятию заметного количества нейтронов из одной парциальной реакции и, следовательно, к недостоверному приписыванию этих нейтронов другой парциальной реакции. Такие систематические погрешности являются типичными для большого количества (~50) ядер, исследованных с помощью такого метода [6], что делает весьма актуальными исследования достоверности сечений парциальных реакций, полученных кардинально иным альтернативным способом.
В экспериментах на пучках аннигиляционных фотонов «непосредственно» и «прямо» измеряются сечения реакций (g, 1n), (g, 2n), а в отдельных случаях и (g, 3n), которые с помощью простого суммирования позволяют получить сечения полной фотонейтронной реакции
(1)
и сечение выхода нейтронов
(2)
В экспериментах на пучках тормозного g-излучения сечения парциальных реакций определяются кардинально иным методом. В непосредственно измеренное экспериментально сечение выхода нейтронов (2) вносятся поправки, рассчитанные по статистической теории [7]. Этот метод определения сечений парциальных реакций основывается на предположении о том, что поглощение дипольных Е1 фотонов ядром перед испусканием им одного или двух нейтронов приводит к формированию компаунд-ядра. Рассчитанные поправки позволяют определить сечение реакции (g, 2n), и с его помощью, например, в области энергий до порога B3n реакции (g, 3n) при использовании соответствующих разностных процедур получить информацию и о других обсуждаемых сечениях реакций
, (3)
(4)
В результате выполненного ранее исследования [8] было установлено, что сечения парциальных реакций на ядре 59Co, полученные этим методом, также физическим критериям не удовлетворяют. Настоящая работа посвящена детальному исследованию достоверности сечений парциальных реакций на ядре 51V, полученных на пучке тормозного g-излучения, в сравнении с результатами аналогичного исследования для ядра 59Co.
СЕЧЕНИЯ ПОЛНЫХ И ПАРЦИАЛНЫХ РЕАКЦИЙ НА ЯДРАХ 51V и 59Co
В экспериментах на пучках тормозного g-излучения вследствие непрерывной формы спектра тормозных фотонов W(EM, E) измеряется выход реакции Y(EМ), представляющий собой свертку фотонного спектра с искомым сечением реакции s(E) в области энергий от порога реакции Eпор до максимальной энергии спектра фотонов EM
(5)
где N(EМ) — число зарегистрированных событий реакции, D(EМ) — доза g-излучения мишени, e — эффективность регистрации нейтронов детектором, a — нормировочная константа. Для решения этой обратной задачи восстановления (развертки, unfolding) сечения реакции s(E) из ее выхода Y(EМ) используется один из специально разработанных методов (Пенфолда–Лейсса, наименьшей структуры Кука, регуляризации Тихонова, редукции и ряда других). Так как спектр тормозных фотонов W(EM, E) имеет непрерывную форму, в области энергий, в которой конкурируют несколько парциальных реакций, пороги которых, как правило, относительно близки, может быть определено лишь сечение (2) выхода s(g, xn). Кратко описанный выше метод определения сечений парциальных реакций с использованием поправок к сечению s(g, xn), рассчитанных по статистической теории [7], используется для получения сечений парциальных реакций.
Наиболее подробные данные по сечениям полных и парциальных реакций на ядрах 51V и 59Co были получены на пучках тормозного g-излучения [9] при измерении в обоих случаях энергетических зависимостей выхода фотонейтронов с шагом по энергии 100 кэВ и использовании метода регуляризации Тихонова для решения задачи (5) восстановления (развертки) сечения реакции.
В обоих случаях были опубликованы только сечения (1) полной фотонейтронной реакции σ(γ, sn) и реакции s(g, 1n). В связи с этим сечения выхода s(g, xn) и сечения реакции s(g, 2n), также необходимые для анализа достоверности данных о сечениях парциальных реакций, были получены с помощью соотношений
(6)
и
(7)
Сечения выхода нейтронов s(g, xn), полученные для ядер 51V и 59Co таким методом по данным [9], приведены на рис. 1 в сравнении с результатами некоторых других экспериментов этого типа [10, 11], результатами, полученными на пучках квазимоноэнергетических фотонов [4, 5, 12], а также с результатами расчетов в рамках Комбинированной модели фотоядерных реакций (КМФЯР) [13]. Следует отметить, что сечения выхода нейтронов s(g, xn), полученные на пучках тормозного g-излучения [9], в случаях обоих ядер существенно отличаются по форме, а в случае ядра 59Co и по абсолютной величине от экспериментальных данных, полученных на пучках аннигиляционных фотонов [4, 5, 12]. При этом по абсолютной величине результаты экспериментов разного типа оказываются относительно близкими в случае ядра 51V, однако существенно различными в случае ядра 59Co (таблица 1). В случае ядра 51V близость сечений выхода нейтронов s(g, xn), полученных на пучках тормозного g-излучения [9] и аннигиляционных фотонов [4, 5, 12], по абсолютной величине при существенном расхождении их по форме, по-видимому, является следствием различий достигаемых в экспериментах разного типа эффективных энергетических разрешений [6].
Рис. 1. Сравнение сечений выхода нейтронов s(g, xn), полученных на пучках тормозного g–излучения, с результатами экспериментов на пучках аннигиляционных фотонов и расчетов в рамках комбинированной модели фотоядерных реакций. Справа: ядро 51V, звезды — [9], треугольники — [12], квадраты — [5], линия — [13]. Слева: ядро 59Co, звезды — [9], треугольники — [4], заполненные ромбы — [10], пустые ромбы — [11], линия — [13].
Таблица 1. Величины (в единицах МэВ·мб) интегральных сечения σинт, рассчитанных для выходов нейтронов 51V(γ, xn) и 59Co(γ, xn), полученных экспериментально и теоретически и представленных на рис. 1
Источник данных | 51V(γ, xn), Eинт= 27.30 МэВ | 59Co(γ, xn) [9], Eинт = 27.00 МэВ |
[9] — звезды | 633.7±8.7 | 901.7 ± 3.1 |
[12] — треугольники | 629.4±4.4 | 727.6 ± 4.8 |
[5] — квадраты | 663.9±2.6 | |
[13] — линии | 601.8±7.4 | 772.9 ± 8.4 |
Для объяснения возможных причин наблюдаемых существенных (до ~ 20 мб) расхождений сечений выхода нейтронов 59Co(γ, xn) в области энергий фотонов ~20—30 МэВ было высказано предположение [8] о присутствии в эксперименте [9] в мишени из кобальта элементов его окисления.
АНАЛИЗ ДОСТОВЕРНОСТИ СЕЧЕНИЙ ПАРЦИАЛЬНЫХ РЕАКЦИЙ НА ЯДРАХ 51V и 59Co С ПОМОЩЬЮ ФИЗИЧЕСКИХ КРИТЕРИЕВ
Полученные для обоих ядер описанным выше методом сечения реакций s(g, 1n) и s(g, 2n) использованы для анализа их достоверности с помощью экспериментально-теоретического метода оценки [14, 15], с помощью которого были выполнены ранее оценки достоверности сечений парциальных реакций, полученных для ~50 ядер в экспериментах на пучках квазимоноэнергетических аннигиляционных фотонов [6]. Использовались объективные физические критерии достоверности [14, 15], основные из которых — отношения сечений конкретных парциальных реакций к сечениям выхода
(8)
По определению этих критериев к достоверности экспериментальных данных могут быть выдвинуты жесткие физические требования:
- отношения Fiэксп определенно должны быть положительными;
- отношения Fiэксп должны иметь значения, строго не превышающие абсолютных верхних пределов 1.00, 0.50, 0.33…, соответственно, для i = 1, 2, 3…; так, например, отношения Fiэксп должны иметь значения, строго меньшие 0.50, поскольку, разность (0.5-Fiэксп) обусловлена присутствием в знаменателе соответствующего отношения (8) вклада уменьшающего сечения s(g, 1n), конкурирующего с возрастающим сечением s(g, 2n). Как известно из результатов многочисленных экспериментов разного типа и расчетов в рамках КМФЯР [13], сечение реакции (g, 1n), присутствующее в знаменателе отношения (8), отлично от 0 в области энергий налетающих фотонов до ~ 40 МэВ.
Отрицательные значения отношений Fiэксп и/или превышения их значениями указанных верхних пределов означают, что в экспериментальных сечениях реакций присутствуют систематические погрешности использованных методов разделения фотонейтронов по множественности, вследствие чего эти сечения не являются достоверными. В исследованиях для нескольких ядер, выполненных c помощью активационных методов прямого разделения парциальных реакций, альтернативных методу их разделения по множественности образующихся в них нейтронов, было показано [16], что к двум жестким критериям достоверности, приведенным выше, может быть добавлен еще один, не жесткий, но обязательный третий критерий. Достоверные отношения Fiэксп не должны заметно отличаться от отношений Fiтеор, рассчитанных в КМФЯР [13].
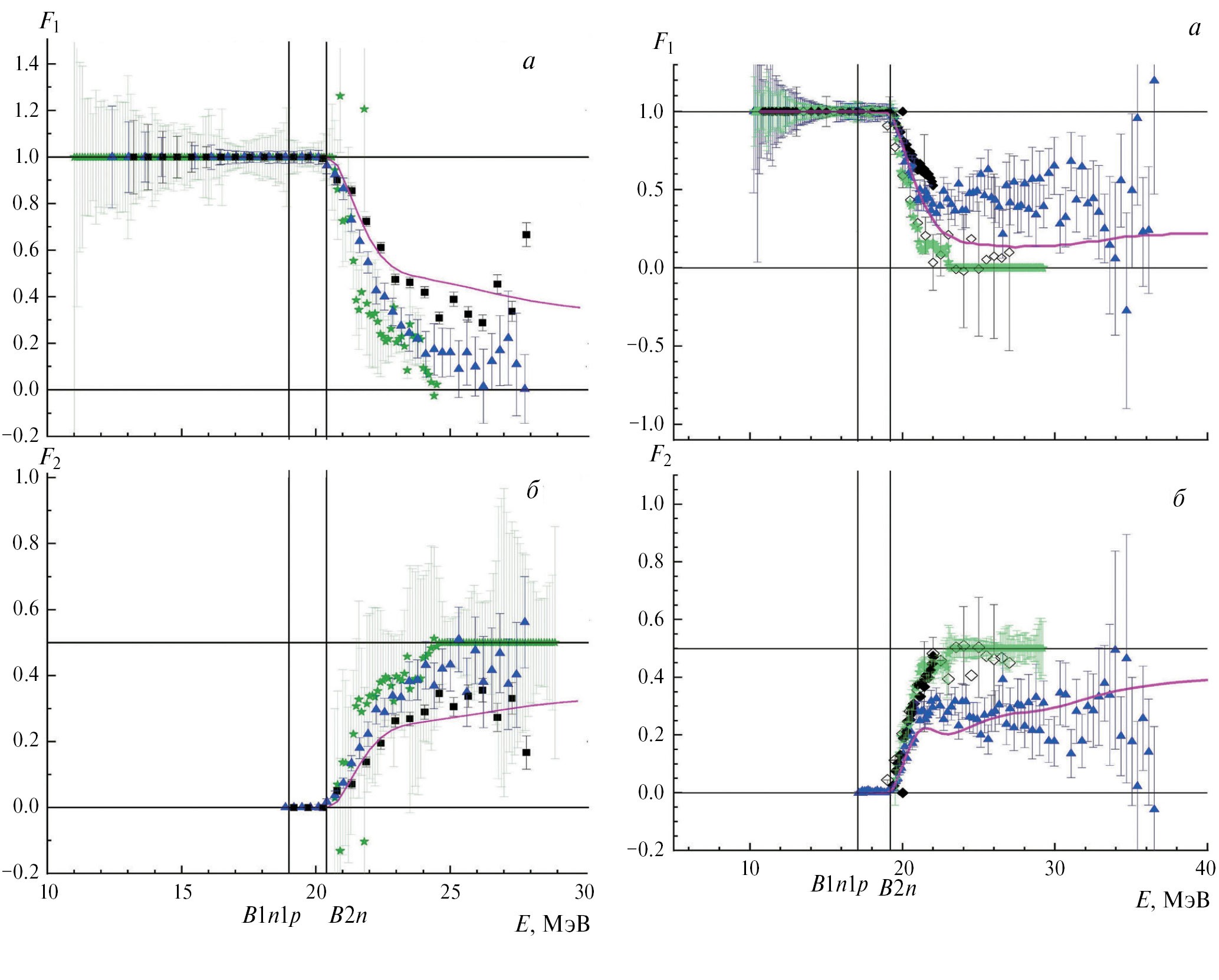
Отношения F1,2эксп, определенные по данным для сечений выхода и сечений парциальных реакций на ядрах 51V и 59Co, полученных описанным выше способом, представлены на рис. 2. Хорошо видно, что к достоверности обсуждаемых данных в случаях обоих ядер могут быть предъявлены серьезные претензии. Во-первых, следует отметить огромные расхождения между Fiэксп [9] и Fiтеор [13], намного превышающие аналогичные расхождения данных в случаях обоих ядер, полученных на пучках аннигиляционных фотонов [4, 5, 12], которые были интерпретированы как недостоверные [1, 2, 8]. Во-вторых, о недостоверности обсуждаемых данных, полученных для обоих ядер на пучках тормозного g-излучения, свидетельствует то, что отношения F1 выходят на физически недостоверное значение 0, а соответствующие отношения F2 — на значение 0.50 при очень малых значениях энергии налетающих фотонов. Это означает, что при больших энергиях в экспериментах на пучках тормозного g-излучения не были зарегистрированы нейтроны из реакции (g, 1n), хотя, как отмечалось выше, нейтроны из этой реакции наблюдались до энергии налетающих фотонов ~40 МэВ. Такое недостоверное существенное занижение сечения реакции (g, 1n) при энергиях фотонов, больших отмеченных выше значений (24.5 и 21.5 МэВ), приводит, к недостоверной интерпретации сечения выхода нейтронов как σ(γ, xn) = 2σ(γ, 2n). В результате сечение реакции (g, 2n) оказывается существенно переопределенным — недостоверно завышенным. Все сказанное выше свидетельствует о том, что экспериментальные данные, полученные для ядер 51V и 59Co в экспериментах на пучках тормозного γ-излучения, не удовлетворяют физическим критериям и, следовательно, не являются достоверными.
Рис. 2. Сравнение отношений F1 (а) и F2 (б), полученных с использованием экспериментальных и теоретических данных. Справа: ядро 51V, звезды — [9], треугольники — [12], квадраты — [14], линия — [13]. Слева: ядро 59Co, звезды — [9], треугольники — [4], заполненные ромбы — [10], пустые ромбы — [11], линия — [13].
ОЦЕНКА ДОСТОВЕРНЫХ СЕЧЕНИЙ ПАРЦИАЛЬНЫХ РЕАКЦИЙ НА ЯДРАХ 51V и 59Co
Для оценки того, как должны выглядеть сечения парциальных реакций sоцен(g, in) на ядрах 51V и 59Co, удовлетворяющие физическим критериям достоверности, был использован экспериментально-теоретический метод [6, 14—16]. В нем совместно используются экспериментальное сечение выхода нейтронов sэксп(g, xn), включающее в себя все образующиеся в разных парциальных реакциях нейтроны и, следовательно, практически не зависящее от проблем экспериментального разделения фотонейтронов по множественности, и отношения Fiтеор, рассчитанные в КМФЯР [13], которые от этих проблем абсолютно не зависят. В этой связи сечения, оцененные с помощью соотношения
(9)
от проблем экспериментального определения множественности нейтронов также практически не зависят.
В исследованиях, выполненных ранее для ядер 51V и 59Co [4, 5, 12], было показано, что случаях этих относительно легких ядер с точки зрения достоверного распределения нейтронов между реакциями с различной множественностью большое значение имеет реакция (g, 1n1p). Это обусловлено тем, что в этой реакции энергия возбуждения исследуемого ядра распределяется между двумя нуклонами с множественностью 1 приблизительно так же, как между двумя нейтронами в реакции (g, 2n) с множественностью 2. Процедура разделения нейтронов по множественности в этих случаях оказывается неоднозначной, что приводит к появлению существенных систематических погрешностей в сечениях конкурирующих реакций.
Согласно результатам расчетов, выполненных в КМФЯР для обоих обсуждаемых ядер, энергетические положения максимумов сечений σ(g, 1n1p) и σ(g, 2n) и их амплитуды оказываются весьма близкими (таблица 2) в случае ядра 59Co и практически совпадающими в случае ядра 51V. При этом в обоих ядрах пороги фотопротонной реакции (g, 1n1p) оказываются заметно ниже порогов фотонейтронной реакции (g, 2n) — на 1.4 МэВ в случае ядра 51V и 1.6 МэВ в случае ядра 59Co. В этой связи оценка достоверных сечений парциальных реакций (9) осуществлялась в двух вариантах: без учета
(10)
и с учетом
(11)
вкладов реакции (g, 1n1p).
Таблица 2. Энергетические пороги (B), положения максимумов (Eмакс) и абсолютные величины (sмакс) [13] сечений реакций (g, 1n1p) и (g, 2n) для ядер 51V и 59Co.
Реакция | 51V | 59Co | ||||
B, МэВ | Eмакс, МэВ | sмакс, мб | B, МэВ | Eмакс, МэВ | sмакс, мб | |
(γ,1n1p) | 19.0 | 24.4 | 12.0 | 17.4 | 23.0 | 21.7 |
(γ, 2n) | 20.4 | 23.6 | 11.9 | 19.0 | 21.8 | 13.4 |
Оцененные описанным способом сечения парциальных реакций, удовлетворяющие физическим критериям достоверности, приведены на рис. 3 вместе с полученными ранее [8] данными для ядра 59Co. Соответствующие величины интегральных сечений реакций (таблица 3) полностью подтверждают утверждения:
- о недостоверности экспериментальных [9] сечений реакций (g, 1n) и (g, 2n), существенном занижении первых и завышении вторых;
- о существенной роли, которую в случаях ядер 51V и 59Co играет реакция (g, 1n1p).
Рис. 3. Оцененные (заполненные кружки) и экспериментальные (звезды [9]) сечения реакций а — s(g, sn), б — s(g, 1n), в — σ(γ, 2n). На рис. б незаполненными кружками представлено сечение, оцененное без учета вклада реакции (g, 1n1p). Справа — ядро 51V, слева — ядро 59Co [8].
Таблица 3. Интегральные сечения σинт (в единицах МэВ·мб) полных и парциальных реакций, рассчитанные для ядра 51V до энергии фотонов Eинт = 28.9 МэВ и для ядра 59Co — до энергии Eинт = 30 МэВ [8], в сравнении с экспериментальными данными [9]
Реакция | Оцененные данные | Эксперимент [9] | |
Без учета реакции (γ, 1n1p) | С учетом реакции (γ, 1n1p) | ||
51V (настоящая работа) | |||
(γ, xn) | 670.6±11.5 | 770.9±11.4 | 771.3±11.1 |
(γ, sn) | 560.4±10.9 | 660.7±10.8 | 578.1±6.8 |
(γ, 1n)+(γ, 1n1p) | 550.3±10.2 | 384.9±4.2 | |
(γ, 1n) | 450.0±9.6 | ||
(γ, 2n) | 110.3±3.6 | 110.3±3.6 | 193.2±8.3 |
59Co [8] | |||
(γ, xn) | 844.3 ± 3.4 | 1012.3 ± 5.7 | 1017.2 ± 3.4 |
(γ, sn) | 704.6 ± 5.1 | 872.7 ± 5.6 | 737.6 ± 2.2 |
(γ, 1n)+(γ, 1n1p) | 733.0 ± 5.5 | 457.9 ± 1.2 | |
(γ, 1n) | 564.9 ± 5.0 | ||
(γ, 2n) | 139.7 ± 1.4 | 139.7 ± 1.4 | 279.6 ± 2.5 |
Полученные для обоих обсуждаемых ядер данные свидетельствуют о том, что:
- оцененные сечение реакции (g, 2n) в обоих случаях [(10) и (11)] естественным образом оказываются одинаковыми, поскольку для их получения используются идентичные коэффициенты F2, и имеют величины приблизительно в 2 раза меньшие по сравнению с экспериментальными значениями;
- сечения реакции (g, 1n), оцененные (10) без учета вклада реакции (g, 1n1p), превышают экспериментальные сечения, но не позволяют воспроизвести экспериментальные значения сечений выхода σэксп(g, xn);
- учет (11) в процедуре оценки вклада реакции (g, 1n1p) увеличивает общий вклад (g, 1n) + (g, 1n1p) реакций с образованием одного нейтрона, что приводит суммарную величину оцененного сечения σоцен(g, xn) в соответствие с его экспериментальным значением σэксп(g, xn).
Все вышесказанное приводит к выводу о том, что, по-видимому, статистическая модель правильно описывает эмиссию нейтронов из составного ядра только при энергиях падающих фотонов до 10—15 МэВ (в некоторых исследованиях (см. например, [17]) об этой области энергий говорится как об энергиях фотонов, на 2—3 МэВ превышающих порог B2n). При более высоких энергиях, при которых, собственно, происходит конкуренция парциальных реакций (g, 1n), (g, 1n1p) и (g, 2n) статистические поправки на множественность становятся неточными, так как при таких энергиях начинают играть большую роль процессы предравновесного распада составной системы.
К сказанному следует добавить, что в полуклассических моделях фотоядерных реакций не учитывается влияние на конкуренцию нейтронных и протонных каналов реакций изоспиновых эффектов, что приводит к заниженным оценкам парциальных сечений с вылетом протонов. Как правило, это не сказывается на соотношении выходов реакций (g, 1n) и (g, 2n), пороги которых существенно различаются. Однако в случаях ядер, в которых пороги фотопротонных реакций оказываются ниже порогов фотонейтронных реакций, отсутствие учета изоспиновых эффектов приводит к искажению соотношения выходов реакций (g, 1n) и (g, 2n). Как было показано выше (таблица 2), в случаях обоих рассмотренных в настоящей работе ядер реализуется именно такая ситуация. Следует отметить, что в используемой в настоящей работе модели (КМФЯР) этот фактор учитывается.
ЗАКЛЮЧЕНИЕ
Выполненные исследования позволяют сделать определенные выводы о недостоверности сечений парциальных реакций (g, 1n) и (g, 2n) на ядрах 51V и 59Co, определенных в экспериментах на пучках тормозного g-излучения [9] с помощью внесения в сечение реакции выхода σ(g, xn) соответствующих поправок на множественность нейтронов, рассчитанных по статистической теории [7]. Установлено, что результаты экспериментов этого типа в случаях обоих ядер не удовлетворяют физическим критериям. На основании сравнения достоверных сечений реакций, оцененных с помощью экспериментально-теоретического метода (рис. 3 и табл. 3), с экспериментальными сечениями показано, что примененные поправки недостоверно не только существенно занижают вклад реакции (g, 1n), но и не учитывают вклад реакции (g, 1n1p), играющей важную роль в процессах фоторасщепления относительно легких ядер. Это приводит к необоснованному недостоверному существенному завышению вклада реакции (g, 2n). Сечения парциальных реакций для обоих обсуждаемых ядер 51V и 59Co, полученные в экспериментах на пучках тормозного g-излучения [9] не являются достоверными и не должны быть рекомендованы для использования в исследованиях и приложениях.
Работа выполнена в отделе электромагнитных процессов и взаимодействий атомных ядер (центре данных фотоядерных экспериментов) Научно-исследовательского института ядерной физики имени Д. В. Скобельцына Московского государственного университета имени М. В. Ломоносова. Авторы выражают благодарность В. Н. Орлину за результаты теоретических расчетов и полезные обсуждения.
Об авторах
В. В. Варламов
Федеральное государственное бюджетное образовательное учреждение высшего образования Московский государственный университет имени М.В. Ломоносова
Автор, ответственный за переписку.
Email: VVVarlamov@gmail.com
Научно-исследовательский институт ядерной физики имени Д.В. Скобельцына
Россия, МоскваА. И. Давыдов
Федеральное государственное бюджетное образовательное учреждение высшего образования Московский государственный университет имени М.В. Ломоносова
Email: VVVarlamov@gmail.com
Научно-исследовательский институт ядерной физики имени Д.В. Скобельцына, физический факультет
Россия, МоскваИ. А. Мостаков
Федеральное государственное бюджетное образовательное учреждение высшего образования Московский государственный университет имени М.В. Ломоносова
Email: VVVarlamov@gmail.com
физический факультет
Россия, МоскваСписок литературы
- Varlamov V.V., Davydov A.I., Ishkhanov B.S. // Eur. Phys. J. A. 2017. V. 53. P. 180.
- Варламов В.В., Давыдов А.И., Орлин В.Н. // Ядерн. физика. 2021. Т. 84. № 4. С. 278; Varlamov V.V., Davydov A.I., Orlin V.N. // Phys. Atom. Nucl. 2021. Т. 84. No. 4. P. 389.
- Fultz S.C., Bramblett R.L, Caldwell. J.T. et al. // Phys. Rev. 1962. V. 128. P. 2345.
- Alvarez R.A., Berman B.L., Faul D.D. et al. // Phys. Rev. С. 1979. V. 20. P. 128.
- Veyssiere A., Beil H., Bergere R. et al. // Nucl. Phys. A. 1974. V. 227. P. 513.
- Варламов В.В., Давыдов А.И., Орлин В.Н. // Вестн. Моск. ун–та. Сер. 3. Физ. Астрон. 2023. Т. 78. № 3. С. 2330206; Varlamov V.V., Davydov А.I., Orlin V.N. // Mosc. Univ. Phys. Bull. 2023. V. 78. No. 3. P. 303.
- Blatt J.M., Weisskopf V.F. Theoretical nuclear physics. NY.: John Wiley & Sons, Inc., 1952.
- Варламов В.В., Давыдов А.И., Мостаков И.А., Орлин В.Н. // Ядерн. физика. 2023. Т. 86. № 5. С. 532; Varlamov V.V., Davydov A.I., Mostakov I.A., Orlin V.N. // Phys. Atom. Nucl. 2023. V. 86. No. 5. P. 600.
- Горячев Б.И., Ишханов Б.С., Капитонов И.М. и др. // Изв. РАН. Сер. физ. 1969. Т. 33. С. 1736; Goryachev B.I., Ishkhanov B.S., Kapitonov I.M. et al. // Bull. Russ. Acad. Sci. Phys. 1969. V. 33. P. 1588.
- Baciu G., Catana D., Deberth C. et al. // Nucl. Phys. 1971. V. 167. P. 177.
- Baciu G., Bonazzola G.C., Minetti B. et al. // Nucl. Phys. 1965. V. 67. P. 178.
- Fultz S.C., Bramblett R.L., Caldwell J.T. et al. // Phys. Rev. 1962. V. 128. P. 2345.
- Ишханов Б.С., Орлин В.Н. // Ядерн. физика. 2008. Т. 71. С. 517; Ishkhanov B.S., Orlin V.N. // Phys. Atom. Nucl. 2008. V. 71. P. 493.
- Варламов В.В., Ишханов Б.С., Орлин В.Н., Четверткова В.А. // Изв. РАН. Сер. физ. 2010. Т. 74. С. 875; Varlamov V.V., Ishkhanov B.S., Orlin V.N., Chetvertkova V.A. // Bull. Russ. Acad. Sci. Phys. 2010. V. 74. P. 833.
- Варламов В.В., Ишханов Б.С., Орлин В.Н., Трощиев С.Ю. // Изв. РАН. Сер. физ. 2010. Т. 74. С. 884; Varlamov V.V., Ishkhanov B.S., Orlin V.N., Troshchiev S.Yu. // Bull. Russ. Acad. Sci. Phys. 2010. V. 74. P. 842.
- Kawano T., Cho Y.S., Dimitriou P. et al. // Nucl. Data Sheets. 2020. V. 163. P. 109.
- Bergere R.L., Beil H., Veyssiere A. // Nucl. Phys. A. 1968. V. 121. P. 463.
Дополнительные файлы





