Interaction of solar neutrinos with 128Te и 130Te
- Authors: Lutostansky Y.S.1, Fazliakhmetov A.N.1,2,3, Lubsandorzhiev B.K.2, Belogortseva N.A.1, Koroteev G.A.1,2,3, Lutostansky A.Y.1, Tikhonov V.N.1
-
Affiliations:
- National Research Centre “Kurchatov Institute”
- Institute for Nuclear Research of the Russian Academy of Sciences
- Moscow Institute of Physics and Technology (National Research University)
- Issue: Vol 88, No 8 (2024)
- Pages: 1203-1208
- Section: Fundamental problems and applications of physics of atomic nucleus
- URL: https://journal-vniispk.ru/0367-6765/article/view/279573
- DOI: https://doi.org/10.31857/S0367676524080088
- EDN: https://elibrary.ru/ORFXQI
- ID: 279573
Cite item
Full Text
Abstract
The interaction of solar neutrinos with 128,130Te isotopes has been studied considering the resonance structure of charge-exchange strength functions S(E). Both experimental data on the strength functions S(E) obtained in reactions (3He, t) and the strength functions S(E) calculated in the microscopic theory of finite fermi-systems are analyzed. The resonance structure of the S(E) strength function has been investigated, and the Gamow—Teller, analog, and pygmy resonances have been isolated. Calculations of the capture cross sections σ(E) of solar neutrinos for the two isotopes in consideration of the resonance structure of the strength function S(E) have been carried out and the influence of resonances on the energy dependence of σ(E) has been analyzed. It is shown that it is necessary to consider the resonance structure of the strength function S(E) when calculating the cross section σ(E).
Full Text
ВВЕДЕНИЕ
Для интерпретации экспериментальных данных и планирования экспериментов нового поколения необходимо рассчитывать взаимодействия нейтрино с веществом детектора [1, 2, 3]. Особенно важно это для экспериментов по поиску процесса двойного безнейтринного бета-распада (SNO+ [4, 5], LEGEND [6], CUPID [7], PandaX [8] и др.), и по регистрации частиц темной материи (LUX-ZEPLIN [9], XENON [10] и др.), где крайне важен корректный учет фоновых процессов. Для такого рода экспериментов взаимодействие нейтрино от Солнца с ядрами мишени детектора будет являться фоновым процессом. При этом, особенностью такого фона является его принципиальная неустранимость [11, 12]. Для расчета величины сечения σ(Eν) и скорости захвата R нейтрино необходимо учитывать структуру зарядово-обменной силовой функции S(E), которая характеризует интенсивность переходов в конечном ядре в зависимости от энергии возбуждения. Силовая функция S(E) имеет резонансный характер, который наблюдается практически во всех реакциях перезарядки [3, 13—15] и проявляется, в основном, в виде гигантского Гамов—Теллеровского резонанса (GTR, Gamow—Teller resonance) [15—18], аналогового резонанса (AR – Analog resonance), низколежащих пигми резонансов (PR – Pygmy resonance) [19]. Резонансный характер зарядово-обменной силовой функции S(E) может существенно влиять на результаты расчетов сечений реакций захвата нейтрино атомными ядрами [20, 21] и матричных элементов для процессов бета-распада и двойного бета-распада.
В нашей работе проведен анализ экспериментальных данных по реакциям перезарядки 128Te(3He, t)128I и 130Te(3He, t)130I [22] и рассчитаны сечения захвата солнечных нейтрино для 128Те и 130Те. Эти изотопы являются одними из популярных кандидатов на поиск процесса двойного безнейтринного бета-распада [3, 22]. Связано это, в первую очередь, с высоким содержанием обоих изотопов в природном теллуре: 31.78 % для 128Те и 34.08 % для 130Те, что позволяет обойтись без дорогостоящего процесса изотопного обогащения. Дополнительной причиной также является большая энергия распада Qββ = 2527.51 кэВ [23] для 130Те, которая выше, чем для большинства источников естественной радиоактивности (для 128Те Qββ = 866.7 кэВ [23]). Кроме того, интерес к этим изотопам связан с их важностью для геохимических экспериментов [3, 22], т. к. исторически, изотопы теллура были одними из первых изотопов, для которых был измерен период двойного бета-распада в геохимическом эксперименте [24, 25].
Так, в эксперименте SNO+ планируется использовать жидкий сцинтиллятор массой 780 тонн на основе линейного алкилбензола (ЛАБ) с растворенным в нем теллуром с концентрацией 0.5 % по массе в первой фазе эксперимента для поиска процесса 0νββ в 130Те [4, 5]. Для поиска процесса 0νββ в 128, 130Те также предназначен эксперимент CUORE, в котором используется массив из 988 кристаллов TeO2, которые работают и как мишень, и как криогенный болометрический детектор [26—28]. Также результаты по измерению периода полураспада 130Те по каналам 2νββ и 0νββ были опубликованы по данным экспериментов COBRA [29] и NEMO-3 [30].
Изотоп 130Те также предлагается использовать для поиска процесса 0νββ в проекте Баксанского большого нейтринного телескопа. В этом проекте предполагается постройка жидко-сцинтилляционного детектора нейтрино нового поколения с массой мишени 10 кт, направленного на измерение потоков нейтрино и антинейтрино от Солнца, Земли и астрофизических источников [31]. Установка будет размещена в подземных залах Баксанской нейтринной обсерватории Российской академии наук (БНО ИЯИ РАН) на глубине около 4700 м водного эквивалента. На данный момент построен и испытан прототип детектора с массой мишени 0.5 т и идет строительство прототипа с мишенью 5 т. Использование изотопа 130Те, растворенного в жидком сцинтилляторе, предлагается в третьей фазе проекта, на прототипе с массой мишени в 100 т. Также рассматриваются идеи использования других изотопов: 150Nd и 115In.
ЗАРЯДОВО-ОБМЕННЫЕ ВОЗБУЖДЕНИЯ ИЗОТОПОВ 128Те, 130Те
На рис. 1 дана объединенная схема возбужденных изобарических состояний изотопов 128Те и 130Те, которые наблюдаются в соседних ядрах 128, 130I. Для 128I при энергиях возбуждения, превышающих Sn = 6826.13 ± 5 кэВ [23], происходит распад в стабильное ядро 127I вместе с эмиссией нейтрона. При более низких энергиях возбуждения вначале идут переходы из возбужденного состояния ядра 128I в основное состояние, а затем бета-распад 128I из основного состояния в основное и возбужденные состояния ядра 128Хе. Аналогично и для ядра 130Те: распад в 129I с эмиссией нейтрона при энергии возбуждения больше Sn = 6500.33 ± 4 кэВ [23] или же бета-распад из основного состояния ядра 130I в основное и возбужденные состояния ядра 130Хе после того как распадутся в основное состояние 130I все возбуждения с энергиями Ex < Sn. Следует заметить, что поскольку бета-распад происходит в высоковозбужденные состояния ксенона, которые быстро распадаются, испуская γ-кванты, доля переходов, которые заселяют область энергии вблизи конечной точки для 0νββ распада 130I относительно велика и эти γ-кванты могут служить фоновым процессом в соответствующих экспериментах.
Рис. 1. Общая схема зарядово-обменных возбуждений для ядер 128Те и 130Те.
Обработка экспериментальных спектров для зарядово-обменных реакций 128Te(3He, t)128I и 130Te(3He, t)130I подробно описана в работе [32]: использовалось разложение на отдельные резонансы и фон из состояний квази-свободного континуума (QFC — quasi-free continuum background) [33]. Форма пика наблюдаемого гигантского гамов-теллеровского резонанса (GTR) и пигми резонансов (PR) аппроксимировалось по Брейт—Вигнеру, фон QFC аппроксимировался аналогично как в предыдущих работах [32, 34]. Получены положения пиков: EGTR = 13.287 МэВ, EAR = 11.948 МэВ, EPR1 = 8.828 МэВ, EPR2 = 6.391 МэВ для 128Te, и EGTR = 14.060 МэВ, EAR = 12.718 МэВ, EPR1 = 9.531 МэВ, EPR2 = 6.830 МэВ для 130Te. Положения пиков PR и GTR резонансов зависят от параметров подложки фона QFC, которые подбирались при фитировании данных. Из-за этого они определены с точностью 100—200 кэВ. В оригинальной работе [22] даны только положения EAR = 11.948 МэВ для 128Te, EAR = 12.718 МэВ для 130Te и примерные положения пиков GTR резонансов EGTR ≈ 14 МэВ для обоих изотопов, положения пиков PR резонансов не упоминалось.
Теоретические зарядово-обменные силовые функции S(E) изотопов 128Те и 130Те рассчитывались в рамках микроскопической теории конечных ферми-систем (ТКФС) [35], как ранее для других ядер [21, 36, 37]. Энергии и матричные элементы возбужденных состояний дочернего ядра определялись системой секулярных уравнений ТКФС для эффективного поля согласно [38, 39] и использовалось частичное согласование с m* = m для разрешенных переходов с локальным нуклон-нуклонным взаимодействием Fw в форме Ландау–Мигдала [35]:
(1)
где С0 = (dρ/dεF)–1 = 300 МэВ∙фм3 (ρ – средняя плотность ядерной материи), и — параметры изоспин-изоспинового и спин-изоспинового взаимодействий квазичастиц соответственно. Эти константы взаимодействия являются феноменологическими параметрами и, в данном случае, использовались значения = 1.351 ± 0.027 и = 1.214 ± 0.048, полученные недавно [39] из анализа экспериментальных данных по энергиям аналоговых (38 ядер) и гамов–теллеровских (20 ядер) резонансов. Рассчитывались энергии Ei и квадраты матричных элементов возбужденных изобарических состояний дочерних ядер 128, 130I, образованных разрешенными переходами. Непрерывная часть спектра функции S(E) рассчитывалась с уширением по Брейт–Вигнеру.
При описании как экспериментальных, так и расчетных данных по силовой функции S(E) изотопов 128, 130Те, существенный вопрос состоит в нормировке S(E). В расчетах использовалась нормировка ТКФС равная 81 % от максимального значения 3(N – Z), как в [36, 37]. На рис. 2 и рис. 3 для изотопов 128Те и 130Те представлено сравнение расчетной силовой функции S(E) и силовой функции, полученной из обработки экспериментальных данных. Для гигантского гамов-теллеровского резонанса рассчитаны положения пиков: EGTR = 13.208 МэВ, EAR = 11.87 МэВ (предсказание [40]), для 128Te и EGTR = 13.900 МэВ, EAR = 12.48 МэВ (предсказание [40]), что согласуется с данными эксперимента. При энергиях возбуждения от 4 до 9 МэВ для обоих ядер в силовой функции доминирует вклад от пигми резонансов, далее с ростом энергии возбуждения наибольший вклад дает гамов–теллеровский резонанс.
Рис. 2. Зарядово-обменная силовая функция S(E) ядра 128I. 1 — обработанные экспериментальные данные, 2 — расчет по теории конечных ферми-систем.
Рис. 3. Зарядово-обменная силовая функция S(E) ядра 130I. Обозначения аналогичны рис. 2.
СЕЧЕНИЕ И СКОРОСТИ ЗАХВАТА НЕЙТРИНО ЯДРАМИ 128, 130Те
Зависимость полного сечения σTotal (Eν) реакции захвата (ne, e–) от энергии налетающего нейтрино Eν с учетом взаимодействия с возбужденными состояниями ядра можно записать как:
(2)
Вклад в сечение низколежащих возбужденных состояний σdisc(Eν) описывается следующим образом [41]:
(3)
где (при условии, что > 0) — полная энергия образовавшегося электрона, – его импульс, F(Z, Ee) — функция Ферми [42, 43], GF — фермиевская константа, , — константы аксиально-векторного и векторного взаимодействия. В расчетах использовались значения GF и отношение приведенные в работе [44]. — квадраты фермиевского и гамов-теллеровского матричных элементов. Для расчетов использовались экспериментальные табличные значения , полученные на циклотроне университета в Осаке [22]: 27 дискретных уровней ниже энергии Emax = 3 МэВ для реакции 128Te(3He, t)128I и 21-й уровень ниже энергии Emax = 3 МэВ для реакции 130Te(3He, t)130I.
Резонансный вклад в сечение определяется как [45, 46]:
(4)
Для расчетов использовались силовые функции S(E), полученные из обработки экспериментальных данных для реакций 128Te(3He, t)128I и 130Te(3He, t)130I [22]. Они были заданы в области энергий возбуждения от = 3 МэВ до = Sn. Положение верхней границы связано с тем, что в данной работе не рассматриваются процессы, связанные с вылетом нейтрона и образованием ядер 127,129I. В расчетах, связанных с вылетом нейтрона необходимо учитывать непрерывную часть силовой функции зарядово-обменных возбуждений с энергий E > Sn и теория таких возбуждений развивается.
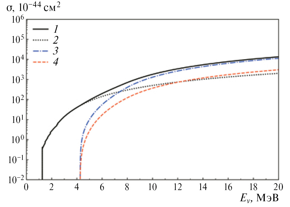
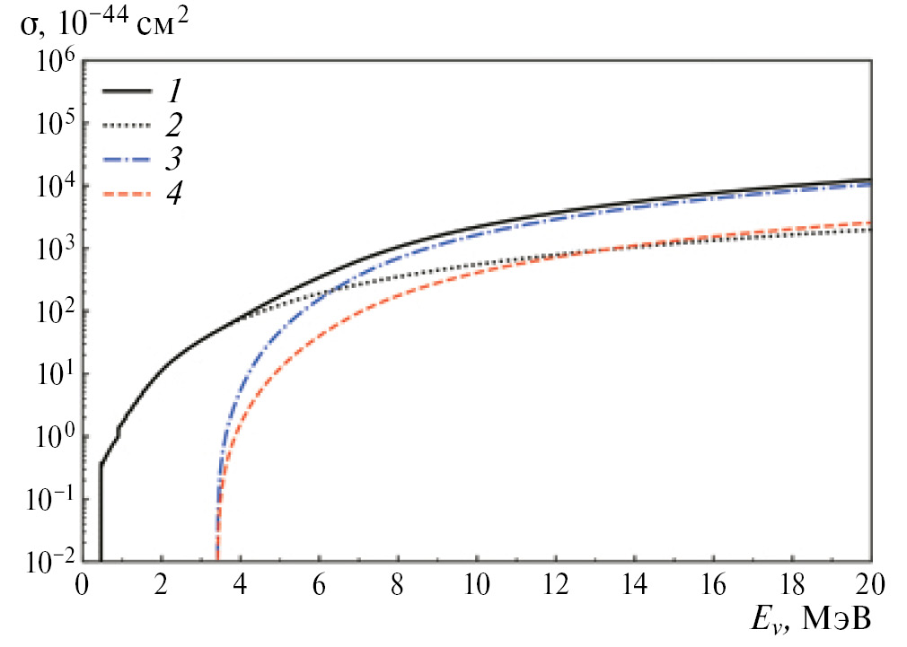
На рис. 4 и 5 представлены сечения захвата нейтрино в зависимости от энергии налетающего нейтрино для реакций 128Te(νe, e–)128I и 130Te(νe, e–)130I. На обоих рисунках видно, что, начиная от 6 МэВ вклад резонансной части силовой функции в полное сечение начинает доминировать над вкладом от низколежащих дискретных состояний. При этом так как S(E) была задана только до пороговой энергии отрыва нейтрона (Sn = 6826.13 ± 5 кэВ для 128I и Sn = 6500.33 ± 4 кэВ для 130I [23]), самыми заметными в ней будут вклады от PR резонансов, вклад от GTR резонанса будет в основном в виде подложки (см. рис. 2 и рис. 3). Из-за этого вклад GTR резонанса в сечение тоже будет занижен (линия 4 на рис. 4 и рис. 5).
Рис. 4. Сечение захвата нейтрино в реакции 128Te(ve, e–)128I. 1 — полное сечение σTotal с учетом вклада как дискретной, так и непрерывных частей силовой функции. 2 — сечение σdisc с учетом вклада только дискретных уровней. 3 — сечение σres с учетом вклада только от силовой функции S(E), полученной из обработки экспериментальных данных для реакции 128Te(3He, t)128I. 4 — сечение σres с учетом вклада только гигантского гамов—теллеровского резонанса (GTR) в силовую функцию S(E).
Рис. 5. Сечение захвата нейтрино в реакции 130Te(νe, e–)130I. Обозначения аналогичны рис. 4. Для расчета σres использовалась силовая функция S(E), полученная из обработки экспериментальных данных для реакции 130Te(3He, t)130I.
ЗАКЛЮЧЕНИЕ
Таким образом, изучено взаимодействие солнечных нейтрино с ядрами 128Te и 130Te. Исследовано влияние высоколежащих резонансов в зарядово-обменной силовой функции S(E) на сечение захвата нейтрино. Для расчетов использована силовая функция S(E), полученная из обработки экспериментальных данных для реакций 128Te(3He, t)128I и 130Te(3He, t)130I [22, 32]. Сравнение ее с теоретической S(E), полученной в рамках теории конечных ферми-систем, показало согласие как в области гигантского гамов‒теллеровского резонанса (GTR), так и в области пигми резонансов (PR).
Были рассчитаны сечения σ(Eν) для 128Te и 130Te. Для обоих рассматриваемых изотопов видно, что при учете непрерывной части силовой функции S(E) сечения захвата солнечных нейтрино сильно возрастают.
Так как 128Те и 130Те являются популярными изотопами в экспериментах по поиску процесса 0νββ, особенно важным является правильный расчет фоновых процессов для таких экспериментов. Процесс захвата солнечных нейтрино, в зависимости от схемы эксперимента, может являться неустранимым фоном. В работе показано, что учет высоколежащих резонансных состояний приводит к значительному увеличению сечения захвата.
Авторы благодарны М. Д. Скорохватову, И. Н. Борзову, Н. В. Клочковой, С. С. Семенову и В. В. Хрущеву за стимулирующие дискуссии и помощь в работе.
Работа выполнена при частичной финансовой поддержке Российского фонда фундаментальных исследований (проект № 20-32-90059/20), при частичной финансовой поддержке Российского научного фонда (проект № 21-12-00061) и гранта РНФ (проект № 24-12-00008).
About the authors
Yu. S. Lutostansky
National Research Centre “Kurchatov Institute”
Email: fazliakhmetov@phystech.edu
Russian Federation, Moscow, 123182
A. N. Fazliakhmetov
National Research Centre “Kurchatov Institute”; Institute for Nuclear Research of the Russian Academy of Sciences; Moscow Institute of Physics and Technology (National Research University)
Author for correspondence.
Email: fazliakhmetov@phystech.edu
Russian Federation, Moscow, 123182; Moscow, 117312; Moscow, 117303
B. K. Lubsandorzhiev
Institute for Nuclear Research of the Russian Academy of Sciences
Email: fazliakhmetov@phystech.edu
Russian Federation, Moscow, 117312
N. A. Belogortseva
National Research Centre “Kurchatov Institute”
Email: fazliakhmetov@phystech.edu
Russian Federation, Moscow, 123182
G. A. Koroteev
National Research Centre “Kurchatov Institute”; Institute for Nuclear Research of the Russian Academy of Sciences; Moscow Institute of Physics and Technology (National Research University)
Email: fazliakhmetov@phystech.edu
Russian Federation, Moscow, 123182; Moscow, 117312; Moscow, 117303
A. Yu. Lutostansky
National Research Centre “Kurchatov Institute”
Email: fazliakhmetov@phystech.edu
Russian Federation, Moscow, 123182
V. N. Tikhonov
National Research Centre “Kurchatov Institute”
Email: fazliakhmetov@phystech.edu
Russian Federation, Moscow, 123182
References
- Dolinski M., Poon A., Rodejohann W. // Annu. Rev. Nucl. Part. Sci. 2019. V. 69. P. 219.
- Formaggio J.A., Zeller G.P. // Rev. Mod. Phys. 2012. V. 84. P. 1307.
- Frekers D., Alanssari M. // Eur. Phys. J. A. 2018.V. 54. P. 177.
- Ina´cio A.S. (for the SNO+ Collaboration) // PoS (PANIC2021). 2022. V. 274.
- Andringa S., Arushanova E., Asahi S. et al. // Adv. High Energy Phys. 2016. V. 2016. Art. No. 6194250.
- Cattadori C.M., Salamida F. // Universe. 2021 V. 7. P. 314
- Alfonso K., Armatol A., Augier C. et al. // J. Low Temp. Phys. 2023 V. 211. P. 375.
- Meng Y., Wang Z., Tao Y. et al. // Phys. Rev. Lett. 2021. V. 127. Art. No. 261802.
- Aalbers J., Akerib D.S., Akerlof C.W. et al. // Phys. Rev. Lett. 2023. V. 131. Art. No. 041002.
- Aprile E., Abe K., Agostini F. et al. // Phys. Rev. Lett. 2022. V. 129. Art. No. 161805.
- Elliott S.R., Engel J. // J. Physics G. 2004. V. 30. P. 183.
- Billard J., Figueroa-Feliciano E., Strigari L. // Phys. Rev. D2014. V. 89. Art. No. 023524.
- Lutostansky Yu.S. // EPJ Web Conf. 2018. V. 194. Art. No. 02009.
- Лютостанский Ю.С. // Ядерн. физика. 2019. Т. 82. С. 440; Lutostansky Yu.S. // Phys. Atom. Nucl. 2019. V. 82. P. 528.
- Гапонов Ю.В., Лютостанский Ю.С. // Письма в ЖЭТФ. 1972. Т. 15. С. 173; Gaponov Yu.V., Lyutostanskii Yu.S. // JETP Lett. 1972. V. 15. P. 120.
- Гапонов Ю.В., Лютостанский Ю.С. // Ядерн. физика. 1974. Т. 19. С. 62; Gaponov Yu.V., Lyutostanskii Yu.S. // Sov. J. Nucl. Phys. 1974. V. 19. P. 33.
- Doering R.R., Galonsky A., Patterson D.M., Bertsch G.F. // Phys. Rev. Lett. 1975. V. 35. P. 1691.
- Galonsky A., Doering R.R., Patterson D.M., Bertini G.F. // Phys. Rev. 1976. V. 14. P. 748.
- Лютостанский Ю.С. // Письма в ЖЭТФ. 2017. Т. 106. С. 9; Lutostansky Yu.S. // JETP Lett. 2017. V. 106. P. 7.
- Лютостанский Ю.С., Тихонов В.Н. // Ядерн. физика. 2018. Т. 81. С. 515; Lutostansky Yu.S., Tikhonov V.N. // Phys. Atom. Nucl. 2018. V. 81. P. 540.
- Лютостанский Ю.С., Осипенко А.П., Тихонов В.Н. // Изв. РАН. Сер. физ. 2019. Т. 83. С. 539; Lutostansky Yu.S., Osipenko A.P., Tikhonov V.N. // Bull. Russ. Acad. Sci. Phys. 2019. V. 83. P. 488.
- Puppe P., Lennarz A., Adachi T. et al. // Phys. Rev. C. 2012. V. 86. Art. No. 044603.
- Wang M., Huang W.J., Kondev F.G. et al. // Chin. Phys. C. 2021. V. 45. Art. No. 030003.
- Inghram M.G., Reynolds J.H. // Phys. Rev. 1949. V. 76. P. 1265.
- Inghramand M.G., Reynolds J.H. // Phys. Rev. 1950 V. 78. P. 822.
- Alduino C., Alfonso K., Artusa D.R. et al. // J. Instrumentation. 2016. V. 11. Art. No. 07009.
- Adams D.Q., Alduino C., Alfonso K. et al. // Phys. Rev. Lett. 2020. V. 124. Art. No. 122501.
- Adams D.Q., Alduino C., Alfonso K. et al. // Phys. Rev. Lett. 2022. V. 129. Art. No. 222501.
- Ebert J., Fritts M., Gehre D. et al. // Phys. Rev. C. 2016. V. 94. Art. No. 024603.
- Arnold R., Augier C., Baker J. et al. // Phys. Rev. Lett. 2011. V. 107. Art. No. 062504.
- Ushakov N.A., Fazliakhmetov A.N., Gangapshev A.M. et al. // J. Phys. Conf. Ser. 2021. V. 1787. Art. No. 012037.
- Fazliakhmetov A.N., Lutostansky Yu.S., Lubsandorzhiev B.K. et al. // Phys. Atom. Nucl. 2023. V. 86. P. 736.
- Pham K., Janecke J. et al. // Phys. Rev. C. 1995. V. 51. P. 526.
- Fazliakhmetov A.N., Inzhechik L.V., Koroteev G.A. et al. // AIP Conf. Proc. 2019. V. 2165. Art. No. 020015.
- Мигдал А.Б. Теория конечных ферми-систем и свойства атомных ядер. М.: Наука, 1983; Migdal A.B. Theory of finite Fermi systems and applications to atomic nuclei. NY.: Interscience Publishers, 1967.
- Лютостанский Ю.С., Белогорцева Н.А., Коротеев Г.А. и др. // Ядерн. физика. 2022. Т. 85. С. 409; Lutostansky Yu.S., Belogortseva N.A., Koroteev G.A. et al. // Phys. Atom. Nucl. 2022. V. 85. P. 551.
- Lutostansky Yu.S., Fazliakhmetov A.N., Koroteev G.A. et al. // Phys. Lett. B. 2022. V. 826. Art. No. 136905.
- Borzov I.N., Fayans S.A., Trykov E.L. // Nucl. Phys. A. 1995. V. 584. P. 335.
- Лютостанский Ю.С. // Ядерн. физика. 2020. Т. 83. С. 34; Lutostansky Yu.S. // Phys. Atom. Nucl. 2020. V. 83. P. 33.
- Гапонов Ю.В., Лютостанский Ю.С. // Ядерн. физика. 1972. Т. 16. С. 484; Gaponov Yu.V., Lyutostanskii Yu.S. // Sov. J. Nucl. Phys. 1972. V. 16. P. 270.
- Ву Ц.С., Мошковский С.А. Бета-распад. М.: Атомиздат, 1970; Wu C.S.; Moszkowski S.A. Beta Decay. NY.: Interscience Publishers, 1966.
- Behrens M., Janecke J. Elementary particles, nuclei and atoms. Landolt-Bornstein Group I: nuclear physics and technology. V. 4. Springer, 1969.
- Фазлиахметов А.Н., Лютостанский Ю.С., Коротеев Г.А. и др. // ЭЧАЯ. 2023. Т. 54. С. 668; Fazliakhmetov A.N., Lutostansky Yu.S., Koroteev G.A. et al. // Phys. Part. Nucl. 2023 V. 54. P. 547.
- Workman R.L., Burkert V.D., Crede V. et al. // Progr. Theor. Exp. Phys. 2022. V. 2022. P. 083C01.
- Боровой А.А., Лютостанский Ю.С., Панов И.В. и др. // Письма в ЖЭТФ. 1987. Т. 45. С. 521; Borovoi A.A., Lutostansky Yu.S., Panov I.V. et al. // JETP Lett. 1987. V. 45. P. 665.
- Lutostansky Yu.S., Shulgina N.B. // Phys. Rev. Lett. 1991. V. 67. P. 430.
Supplementary files








