Движение тонкого слоя магнитной жидкости около намагничивающегося тела в однородном магнитном поле
- Авторы: Шарова О.А.1, Пелевина Д.А.1, Налетова В.А.1
-
Учреждения:
- ФГБОУ ВО «Московский государственный университет имени М.В. Ломоносова»
- Выпуск: Том 88, № 10 (2024)
- Страницы: 1644-1650
- Раздел: Микрофлюидика и феррогидродинамика магнитных коллоидов
- URL: https://journal-vniispk.ru/0367-6765/article/view/283411
- DOI: https://doi.org/10.31857/S0367676524100225
- EDN: https://elibrary.ru/DRWBNA
- ID: 283411
Цитировать
Полный текст
Аннотация
Теоретически и экспериментально исследовано течение тонкого слоя магнитной жидкости по горизонтальной плоскости около неподвижного намагничивающегося цилиндрического тела в приложенном однородном вертикальном магнитном поле. Построены формы поверхности магнитной жидкости в различные моменты времени. Исследовано влияние величины приложенного поля на течение слоя.
Ключевые слова
Полный текст
ВВЕДЕНИЕ
Магнитная жидкость (МЖ) — коллоидный раствор ферромагнитных частиц в жидкости-носителе, стабилизированный поверхностно-активным веществом, который хорошо реагирует на магнитные поля и течет в область больших магнитных полей. Однородное магнитное поле влияет на форму объема МЖ, например деформирует каплю магнитной жидкости [1], этот эффект может быть использован для изменения прозрачности магнитных эмульсий [2].
Многие исследования в области МЖ посвящены описанию тонких слоев (пленок) МЖ. Это связано с возможностью применения таких пленок в различных устройствах, в частности в микрофлюидике. Обзор применений МЖ в микрофлюидике приведен в [3]. Возможность управления размером немагнитных включений в слое МЖ при помощи магнитного поля для использования в микродозаторах или счетчиках газа исследована в [4] для горизонтального канала, в [5] — для вертикального канала. Тонкий слой МЖ используется в работе [6] для определения влияния магнитного поля на вязкость МЖ, а в [7] для определения влияния магнитного поля на поверхностное натяжение МЖ. В [8] теоретически исследована возможность создать перистальтический насос, а именно, расходное течение немагнитной жидкости в канале при помощи тонкого слоя МЖ в неоднородном «бегущем» магнитном поле.
Задачи о течении пленки МЖ в магнитных полях, как правило, решаются теоретически в приближении мелкой воды. Методика решения изложена в работе [9], в которой теоретически описана гидродинамика тонкого слоя жидкости на вращающемся диске. В работе [10] рассчитаны формы поверхности слоя МЖ на горизонтальном вращающемся диске в магнитном поле. Установлено, что при использовании магнитного поля можно получить пленку постоянной толщины. В работе [11] рассмотрена осесимметричная тонкая пленка МЖ, образующаяся на горизонтально вращающемся диске в магнитном поле. Показано, что включение магнитного поля приводит к образованию скачка толщины пленки. В работе [12] аналитически решается осесимметричная задача о течении тонкого слоя несжимаемой МЖ по твердой подложке в магнитном поле проводника с током в приближении мелкой воды. В [13] теоретически и экспериментально получен расход стационарного течения, возникающего при увлечении МЖ, удерживаемой постоянным магнитом между двумя плоскостями, при движении нижней плоскости.
Устройства на основе слоев МЖ позволяют при помощи внешних магнитных полей манипулировать как немагнитными, так и магнитными телами. В работе [14] предлагается стратегия манипулирования немагнитными газовыми пузырьками с использованием микроструктурированных поверхностей, пропитанных МЖ. Под действием магнитных сил намагничивающиеся тела в приложенном однородном магнитном поле могут плавать в небольшом объеме МЖ, а также двигаться вдоль слоя МЖ, находящегося рядом с телом. В работе авторов [15] теоретически и экспериментально исследуется движение намагничиваемого тела вдоль слоя МЖ на горизонтальной плоскости в однородном вертикальном магнитном поле. При теоретическом исследовании в [15] пренебрегалось изменением формы слоя и течением жидкости в слое. Не только тело может двигаться вдоль слоя МЖ, но и слой МЖ может течь около намагничивающегося тела.
В данной работе экспериментально и теоретически исследуется течение тонкого слоя МЖ по горизонтальной плоскости около неподвижного намагничивающегося цилиндрического тела в приложенном однородном вертикальном магнитном поле. Проведены численные расчеты течения МЖ с использованием модели тонкого слоя и определены формы поверхности МЖ в различные моменты времени. На основе экспериментальных данных построены графики зависимости минимальной глубины слоя от времени и зависимости толщины слоя от времени в конкретном сечении для различных значений приложенного вертикального поля. Экспериментально обнаружена область, в которой МЖ течет от тела.
ЭКСПЕРИМЕНТ
Для эксперимента на лазерном 3D-принтере была напечатана кювета, имеющая форму параллелепипеда с выемкой для крепления тела, из прозрачной фотополимерной смолы с внутренними геометрическими параметрами: длина 8.6 см, ширина 0.5 см, высота 0.7 см, толщина стенок кюветы 0.3 см. В кювету вклеен ферритовый цилиндр радиуса Rb = 0.4 см, длиной lb = 6.3 см (ось цилиндра горизонтальна), с магнитной проницаемостью μb = 400, таким образом, что расстояние от оси цилиндра до самой удаленной вертикальной стенки кюветы 6.5 см, расстояние от оси цилиндра до дна zb = 0.7 см (см. рис. 1а — схема, 1б — фото эксперимента, вид сбоку). Концы цилиндра удалены от кюветы, чтобы избежать влияния их на течение жидкости. На дне кюветы под цилиндром есть расширяющееся отверстие для отвода МЖ. Вертикальные стенки кюветы покрывались тонким слоем трансформаторного масла, чтобы уменьшить смачивание стенок магнитной жидкостью. Введем декартовую систему координат: ось х — направлена горизонтально вдоль дна (вдоль длинной стороны кюветы), ось z — направлена вертикально вверх. Шприцом на дно кюветы помещался слой МЖ толщиной h0 = 0.23 см, длинной l = 4.54 см. Использовалась МЖ на основе воды с магнетитовыми частицами. Параметры МЖ: начальная магнитная восприимчивость χf = 0.011 (начальная магнитная проницаемость μf = 1.138), вязкость ηf = 0.09 г∙(см∙с)–1, плотность ρf = 1.41 г∙см–3. Над МЖ расположен воздух при атмосферном давлении pA. Эксперимент проводился при комнатной температуре Т = 293 К. Левый край слоя МЖ имел координату x = x0 = 1.8 см. Отметим, что в данной работе используется симметричная СГС система единиц измерения.
Рис. 1. Течение МЖ около цилиндрического тела, вид сбоку: схема (а); фотографии эксперимента (б) в разные моменты времени t при H∞ = 450 Э, l = 1.4 см. 1 — намагничивающееся тело, 2 — слой МЖ, 3 — отверстие для слива жидкости.
Кювета помещалась в катушки Гельмгольца, которые создавали однородное вертикальное магнитное поле. Ток в катушках управлялся при помощи программы LabView. Использовалось приложенное магнитное поле различной величины: H∞ = 200, 300 и 400 Э. При включении поля наблюдалось изменение формы слоя и движение МЖ. Нужно отметить, что около тела образовывалась капля МЖ, и течение слоя рассматривалось вплоть до границы поверхности этой капли, которую обозначим xd. Движение жидкости фиксировалось видеокамерой. Раскадровка видеозаписей демонстрирует изменение формы поверхности МЖ со временем, см. рис. 1б и 2а. По раскадровкам экспериментального видео можно найти зависимость толщины слоя от времени h(t) в каком-либо сечении слоя при разных магнитных полях, см. рис. 3а. При x = xn толщина слоя минимальна и h=hmin в стационарном состоянии. Толщина слоя около левой границы при x > xn убывает со временем, а скорость изменения глубины увеличивается при увеличении поля. Нужно отметить, что минимальная глубина слоя hmin в стационарном состоянии уменьшается при увеличении поля, при этом горизонтальная координата минимума глубины xn также уменьшается, см. табл. 1. По раскадровкам экспериментов было измерено приблизительное время tf течения до стационарного состояния. Показано, что при увеличении поля МЖ течет быстрее и время установления стационарного состояния tf становится меньше, см. табл. 1.
Рис. 2. Формы слоя МЖ разные моменты времени t при H∞ = 400 Э: эксперимент l = 4.54 см (а); расчет для экспериментальных параметров (б).
Рис. 3. Зависимость глубины в слое h от времени t в сечении х=0.6 см для полей 1 — H∞ = 200 Э, 2 — H∞ = 300 Э, 3 — H∞ = 400 Э: эксперимент (а) и расчет (б).
Таблица 1. Зависимость параметров течения в слое МЖ от приложенного магнитного поля.
H∞, Э | tf, с | xn, см | hmin, см |
200 | 27 | 0.58 | 0.094 |
300 | 5.4 | 0.55 | 0.087 |
400 | 2.5 | 0.4 | 0.079 |
В экспериментах со слоем малой длины наблюдалось заметное увеличение глубины слоя около правой границы. На рис. 1б видно, что при l = 1.4 см глубина слоя справа через некоторое время после начала движения жидкости стала больше начальной глубины слоя h0. Таким образом в эксперименте продемонстрировано, что в слое имеется область, в которой МЖ течет от тела. То есть существует точка xcr, левее которой жидкость движется влево, а правее — вправо. Этот эффект обнаружен впервые.
Экспериментальное исследование позволяет понять, что течение МЖ можно не учитывать при движении намагничивающегося тела вдоль тонкого слоя МЖ, так как скорость движения тела, согласно результатам [15], имеет порядок 1~2 см∙с–1, и за время порядка 0.5 с тело проходит 0.5—1 см, что, как правило, больше xcr. Как видно из рис. 2а, за это время форма слоя МЖ меняется незначительно.
ПОСТАНОВКА И РЕШЕНИЕ ЗАДАЧИ
Рассмотрим плоское изотермическое течение слоя тяжелой несжимаемой вязкой МЖ по твердой горизонтальной плоскости около намагничивающегося тела в однородном вертикальном приложенном магнитном поле H∞, см. рис. 1а.
В качестве намагничивающегося тела рассмотрим длинный неподвижный цилиндр кругового сечения, ось цилиндра расположена горизонтально, перпендикулярно плоскости течения слоя МЖ. Над МЖ расположена немагнитная покоящаяся среда с постоянным давлением pA. Все параметры задачи зависят от декартовых координат x, z и времени t. Ось x направлена горизонтально, ось z — вертикально. В плоскости z=0 расположена твердая подложка. Центр цилиндрического тела расположен на некоторой высоте z=zb, над началом координат xb=0, ось цилиндра параллельна оси y. Уравнения, описывающие течение слоя вязкой несжимаемой МЖ, и граничные условия на свободной поверхности z=h(x, t) с нормалью , а также на дне при z=0, имеют вид:
(1)
(2)
Здесь pH — функция, зависящая от давления в магнитной жидкости, гидростатического давления и потенциала магнитной силы, — вектор скорости жидкости, pf — давление, ηf –коэффициент динамической вязкости, ρf — плотность МЖ, pа — атмосферное давление, σ — коэффициент поверхностного натяжения.
В безындукционном приближении (H>>4πM) в третьем граничном условии можно пренебречь членом 2πMn2 и считать, что магнитное поле равно полю вокруг цилиндрического тела в однородном приложенном поле H∞ (см. [16]). Величина поля при этом описывается формулой:
(3)
Предположим, что намагниченность МЖ линейно зависит от напряженности магнитного поля: , χf = const.
Будем считать, что: 1) толщина слоя МЖ h мала по сравнению с характерной длиной задачи l, тогда ε = h/l << 1; 2) верна оценка w ~ uh/l << u; 3) течение медленное Re < 1; 4) пренебрегаем поверхностным натяжением σh0 /l2 << χH2/2. При этом система уравнений (1), (2) имеет следующий вид:
(4)
Из (4) получим выражение для горизонтальной составляющей скорости:
(5)
Из уравнения неразрывности с учетом граничных условий и предположений, аналогично [10], получим уравнение для определения формы свободной поверхности МЖ h ( — расход жидкости в поперечном сечении слоя):
(6)
Считаем, что в начальный момент времени слой горизонтален и имеет глубину h0. Будем считать, что магнитное поле слабо меняется на толщине слоя, а также слабо зависит от формы слоя: H(x, z=h(x, t))≈H(x, h0). Предположим, что на течение слабо влияет сила тяжести ρfgz ≈ ρfgh0. При этом F=F(x) не зависит от координаты z и времени t. Тогда уравнение (4) можно решить методом характеристик, используя замену φ=h2. Рассмотрим характеристики x=x*(t), описываемые уравнением dx/dt = D, D= –φF/ηf. Отметим, что скорость характеристик D больше средней скорости течения в слое D=3um, um=Q/h. Вдоль характеристик уравнение (6) принимает вид:
(7)
Из уравнения (7) получим изменение φ вдоль характеристик:
(8)
Интегрируя уравнение для характеристик, получим связь x, x0 и времени t:
(9)
Из формул (8) и (9), исключая x0, можно получить зависимость h=h(x, t).
ЧИСЛЕННЫЕ РАСЧЕТЫ, АНАЛИЗ ФУНКЦИИ F
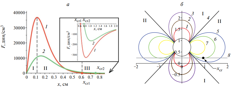
Распределение функции F для экспериментальных параметров показано на рис. 4а (линия 1). Функция F меняет знак при некотором xcr. В области, где функция F > 0, то есть градиент магнитного поля направлен к телу (∂H/∂x < 0), МЖ будет течь к телу (влево), а в области, где функция F < 0 (∂H/∂x > 0), МЖ будет течь от тела (вправо). То есть, существует критическая точка xcr, в которой F = 0, а МЖ будет растекаться в разные стороны от этой точки. Этот эффект был подтвержден экспериментально, см. рис. 1б.
Рис. 4. Зависимость функции F от x при H∞ = 400 Э (а) для различных значений zb: 1 — zb = 0.5 см, 2 — zb = 0.6 см; изолинии магнитного поля (б): в области I поле больше приложенного: H > H∞, а в области II поле меньше приложенного: H < H∞; 1 — H = 1.22∙H∞, 2 — H = 1.11∙H∞, 3 — H = 1.07∙H∞, 4 — H = H∞, 5 — H = 0.96∙H∞, 6 — H = 0.92∙H∞, 7 — H = 0.84∙H∞, 8 — z = h0.
Величина xcr определяется распределением магнитного поля вокруг тела. На рис. 4б приведены изолинии магнитного поля. В области I поле больше приложенного, в области II поле меньше приложенного. При движении вправо вдоль линии z = h0 (см. рис. 4б) поле H убывает при 0 < x < xcr, далее при магнитное поле возрастает H. Точка xcr — точка касания линии z = h0 и, некоторой изолинии, например, линии 6.
Величина xcr зависит от геометрии задачи, и возрастает при увеличении zb, и уменьшении начальной глубины слоя h0. Чем дальше расположено тело от слоя МЖ, тем больше диапазон координат x, в котором МЖ течет к телу.
Функция F немонотонно зависит от координаты x, имеет один максимум Fmax и один минимум Fmin в точках с координатами xmax и xmin, соответственно. При увеличении zb координаты xmax и xmin растут, а сами значения Fmax и Fmin убывают, см. рис. 4а. Таким образом, при удалении тела от слоя МЖ величина F убывает. Нужно отметить, что . В связи с этим в эксперименте наблюдается заметное течение жидкости к телу (влево), а слабое течение вправо приводит к незначительному увеличению толщины слоя около правого конца слоя, см. рис. 1б.
Нужно отметить, что в областях x < xmax (рис. 4а, область I) и xcr < x < xmin (рис. 4а, область III) правая часть уравнения характеристик D = –φF/ηf устроена так, что характеристики могут пересекаться. Обнаружено что, в области xcr < x< xmin характеристики пересекаются, и однозначного решения не существует. В экспериментах этого не наблюдается, так как F в этой области мала и компенсируется силой тяжести при подъеме поверхности. В области x< xmax, не смотря на то, что характеристики расположенные правее имеют большую начальную скорость D0, для экспериментальных параметров численные расчеты показали, что характеристики не пересекаются и неоднозначность не возникает. Таким образом, при x < xcr характеристики в задаче не пересекаются. В связи этим дальнейший расчет проводился только для области x < xcr (рис. 4а, области I и II), в которой жидкость течет к телу.
ЧИСЛЕННЫЕ РАСЧЕТЫ. МОДЕЛИРОВАНИЕ ТЕЧЕНИЯ ЖИДКОСТИ
При решении задачи считается, что вокруг тела имеется капля МЖ достаточно большого объема и течение слоя рассматривается вплоть до границы поверхности капли xd, то есть левая граница рассматриваемой области слоя x = xd. На рис. 2а, на фотографии эксперимента при H∞ = 400 Э для момента времени t = 3 c область течения xd < x < xcr, которая описывается теоретическим решением, ограничена вертикальными белыми линиями.
Для численного решения задачи была написана программа, которая рассчитывает изменение формы поверхности МЖ, в пакете программ Maple. В расчетах использовались экспериментальные значения параметров: xd = 0.35 см, xcr = 0.91 см. В начальный момент времени, когда приложенное вертикальное поле отсутствует, рассматриваемая область слоя делиться на множество сечений x=x0. Численно решается уравнение движения (9) каждой характеристики x=x*(t) и из уравнения (8) находится, как меняется глубина слоя h(x*(t)). Используя данный расчет можно получить зависимость h=h(x, t).
На рис. 2б представлены формы поверхности МЖ в различные моменты времени при H∞ = 400 Э. Видно, что глубина слоя уменьшается при приближении к телу и убывает по времени. На рис. 3б приведен расчет зависимостей глубины слоя h от времени t в сечении х = 0.6 см для различных значений поля H∞. Нужно отметить, что скорость изменения h в эксперименте и расчете отличаются существенно. Это может быть связано с тем, что в теории учитывается только трение о дно сосуда, а в эксперименте также сказывается влияние трения о боковые стенки.
ЗАКЛЮЧЕНИЕ
Проведено экспериментальное исследование течения слоя МЖ около намагничивающегося тела цилиндрической формы в вертикальном однородном магнитном поле. Исследовано влияние магнитного поля на форму МЖ. Обнаружено, что имеется область течения, в которой жидкость течет от тела. Теоретически описано течение тонкого слоя МЖ к цилиндрическому телу в однородном магнитном поле, когда ось цилиндра расположена горизонтально, а магнитное поле приложено вертикально. Методом характеристик решено уравнение для толщины слоя МЖ. Анализ решения позволил обнаружить критическую точку, слева от которой МЖ течет к телу, а справа от нее МЖ течет от тела. Численно исследована зависимость положения критической точки от параметров задачи. Рассчитаны формы поверхности МЖ в различные моменты времени. Получено качественное совпадение теории и эксперимента.
Результаты данного исследования могут быть использованы при оценке явлений вызванных течением и изменением формы слоя МЖ в неоднородном магнитном поле при разработке и моделировании работы устройств на основе феррожидкости.
Работа выполнена при поддержке Российского научного фонда (проект № 20-71-10002).
Об авторах
О. А. Шарова
ФГБОУ ВО «Московский государственный университет имени М.В. Ломоносова»
Автор, ответственный за переписку.
Email: olgasharova96@mail.ru
Россия, Москва
Д. А. Пелевина
ФГБОУ ВО «Московский государственный университет имени М.В. Ломоносова»
Email: olgasharova96@mail.ru
Россия, Москва
В. А. Налетова
ФГБОУ ВО «Московский государственный университет имени М.В. Ломоносова»
Email: olgasharova96@mail.ru
Россия, Москва
Список литературы
- Тятюшкин А.Н. // Изв. РАН. Сер. физ. 2019. Т. 83. № 7. С. 885; Tyatyushkin A.N. // Bull. Russ. Acad. Sci. Phys. 2019. V. 83. No. 7. P. 804.
- Белых С.С., Ерин К.В. // Изв. РАН. Сер. физ. 2019. Т. 83. № 7. С. 962; Belykh S.S., Yerin C.V. // Bull. Russ. Acad. Sci. Phys. 2019. V. 83. No. 7. P. 878.
- Nguyen N.T. // Microfluid. Nanofluid. 2012. V. 12. P. 1.
- Ряполов П.А., Соколов Е.А., Шельдешова Е.В. и др. // Изв. РАН. Сер. физ. 2023. Т. 87. № 3. С. 343; Ryapolov P.A., Sokolov E.A., Shel’deshova E.V. et al. // Bull. Russ. Acad. Sci. Phys. 2023. V. 87. No. 3. P. 295.
- Ряполов П.А., Соколов Е.А., Калюжная Д.А. // Изв. РАН. Сер. физ. 2023. Т. 87. № 3. С. 348; Ryapolov P.A., Sokolov E.A., Kalyuzhnaya D.A. // Bull. Russ. Acad. Sci. Phys. 2023. V. 87. No. 3. P. 300.
- Jiahao Dong, Decai Li, Zhenkun Li // JMMM. 2022. V. 557. Art. No. 169453.
- Shmyrov A., Mizev A., Shmyrova A., Mizeva I. // Phys. Fluids. 2019. V. 31. Art. No. 12101.
- Калмыков С.А., Налетова В.А., Пелевина Д.А., Турков В.А. // Изв. РАН. МЖГ. 2013. № 5. С. 3; Kalmykov S.A., Naletova V.A., Pelevina D.A., Turkov V.A. // Fluid Dynamics. 2013. V. 48. No. 5. P. 567.
- Needham D.J., Merkin J.H. // J. Fluid Mech. 1987. V. 184. P. 357.
- Naletova V.A., Kim L.G., Turkov V.A. // JMMM. 1995. V. 149. P. 162.
- Naletova V.A., Turkov V.A. // JMMM. 1999. V. 201. P. 346.
- Тятюшкин А.Н. // Изв. РАН. МЖГ. 2019. № 4. С. 27; Tyatyushkin A.N. // Fluid Dynamics. 2019. V. 54. No. 4. P. 466.
- Коровин В.М., Райхер Ю.Л. // Магнитная гидродинамика. 1987. № 1. С. 49.
- Zhu S., Bian Yu., Wu T. et al. // Nano Lett. 2020. V. 20. No. 7. P. 5513.
- Sharova O.A., Merkulov D.I., Pelevina D.A. et al. // Phys. Fluids. 2021. V. 33. No. 8. Art. No. 087107.
- Ландау Л.Д., Лифшиц Е.М. Электродинамика сплошных сред. М.: Наука, 1992.
Дополнительные файлы







