Algorithm for calculating the transmission coefficient through periodic one-dimensional and two-dimensional nanostructures
- Authors: Sadykov N.R.1, Skryabin S.N.1
-
Affiliations:
- Snezhinsky Institute of Physics and Technology National Research Nuclear University Moscow Energy Physics Institute
- Issue: Vol 88, No 12 (2024)
- Pages: 1866-1872
- Section: Nanooptics, photonics and coherent spectroscopy
- URL: https://journal-vniispk.ru/0367-6765/article/view/286465
- DOI: https://doi.org/10.31857/S0367676524120045
- EDN: https://elibrary.ru/EXJMKB
- ID: 286465
Cite item
Abstract
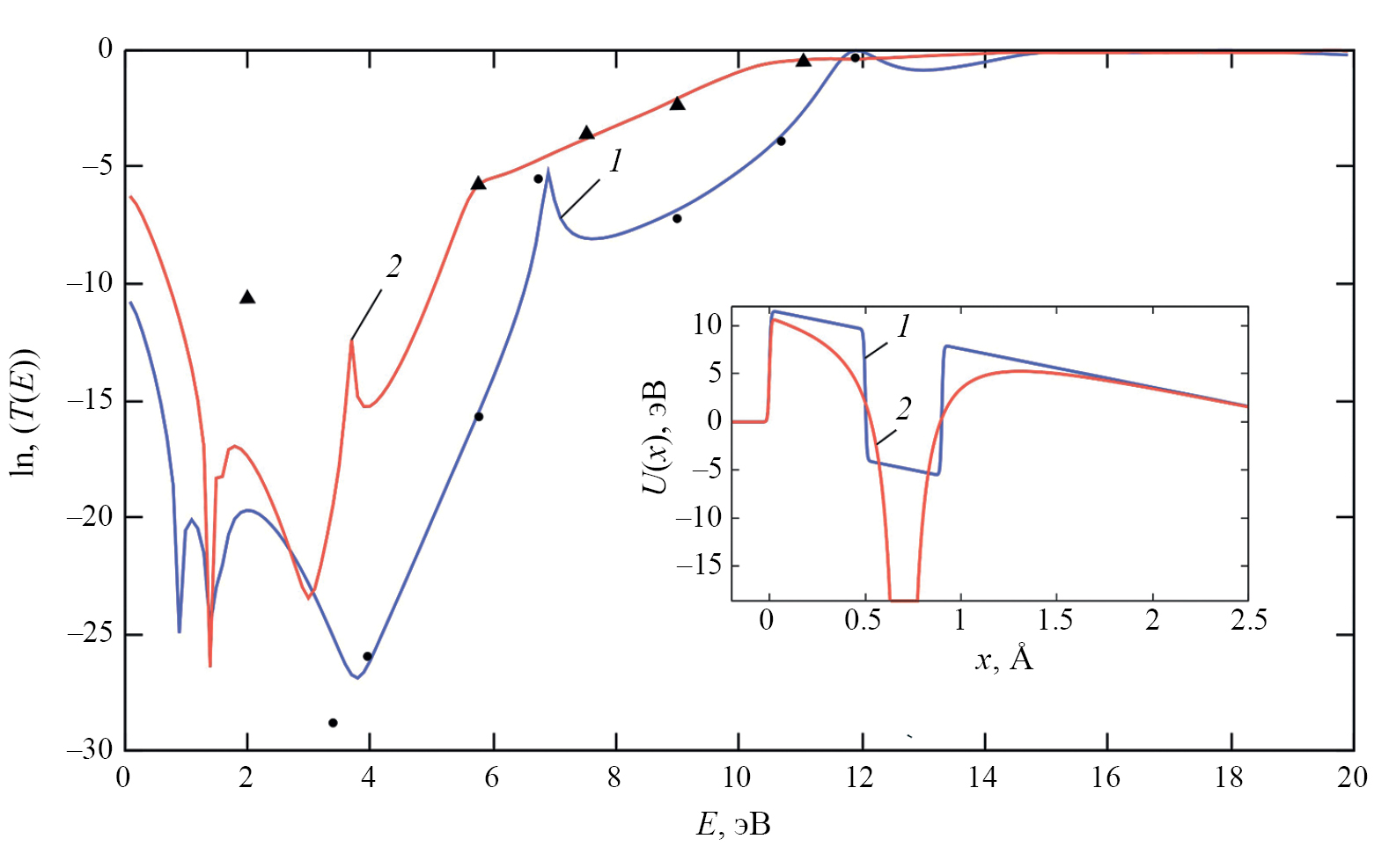
The numerical algorithm for calculating the transmission function was implemented based on the numerical method of searching for energy levels and eigenwave functions of stationary states for Schrödinger particles. The program has been tested on well-known analytical and numerical solutions. Nanoribbon and chiral liquid crystal considered as two-dimension nanostructures. Results can be used to generalize on waveguide: the problem of calculating the eigenfunctions and propagation constants of guided modes.
Full Text
About the authors
N. R. Sadykov
Snezhinsky Institute of Physics and Technology National Research Nuclear University Moscow Energy Physics Institute
Author for correspondence.
Email: n.r.sadykov@rambler.ru
Snezhinsk
S. N. Skryabin
Snezhinsky Institute of Physics and Technology National Research Nuclear University Moscow Energy Physics Institute
Email: n.r.sadykov@rambler.ru
Russian Federation, Snezhinsk
References
- Демиховский В.Я., Вугальтер Г.А. Физика квантовых низкоразмерных структур. М.: Логос, 2000. 248 с.
- Дегтярев В.Ф., Жилинский А.П. // Нанострукт. Матем. физ. и моделир. 2020. Т. 21. № 2. С. 33.
- Драгунов В.П., Неизвестный И.Г., Гридчин В.А. Основы наноэлектроники. Новосибирск: НГТУ, 2000. 331 с.
- Селина Н.В. // Нанострукт. Матем. физ. и моделир. 2018. Т. 18. № 1. С. 33.
- Давидович М.В. // ЖТФ. 2022. Т. 92. № 9. С. 1387, Davidovich M.V. // Tech. Phys. 2022. V. 67. No. 9. P. 1196.
- Давидович М.В. // ЖТФ. 2023. Т. 93. № 4. С. 495, Davidovich M.V. // Tech. Phys. 2023. V. 68. No. 4. C. 462.
- Krive I.V., Palevski A., Shekhter R.I., Jonson M. // Low Temp. Phys. 2010. V. 36. No. 2. P. 119.
- Wang J., Naftaly M., Wasige E. // Appl. Sciences. 2022. V. 12. P. 3822.
- Asada M., Suzuki S. // Sensors. 2021. V. 21. P. 1384.
- Grishakov K., Katin K., Maslov M. // Appl. Sciences. 2023. V. 13. P. 3007.
- Parmee R.J., Collins C.M., Milne W.I., Cole M.T. // Nano Convergence. 2015. V. 2. P. 1.
- Evtukh A., Hartnagel H., Yilmazoglu O., Mimura H., Pavlidis D. Vacuum nanoelectronic devices: novel electron sources and applications. West Sussex: John Wiley & Sons Ltd., 2015. 464 p.
- Egorov N.V. Sheshin E.P. Field emission electronics. Springer Series in Advanced Microelectronics. Switzerland, 2017. 568 p.
- Елецкий А.В. // УФН. 2010. Т. 180. С. 897, Eletskii A.V. // Phys. Usp. 2010. V. 53. P. 863.
- Захарченко М.В., Глинский Г.Ф. // «Журнал технической физики». 2023. Т. 93. № 10. С. 1396, Zakharchenko M.V., Glinskii G.F. // Technical Physics. 2023. Vol. 68. No. 10. Р. 1297.
- Sadykov N.R., Khrabrov R.S., Pilipenko I.A. // Eur. Phys. J. D. 2023. V. 77. Art. No. 9.
- Кусмарцев Ф.В., Кревчик В.Д., Семенов М.Б. и др. // Письма в ЖЭТФ. 2016. Т. 104. № 6. С. 406, Kusmartsev F.V., Krevchik V.D., Semenov M.B. et al. // JETP Lett. 2016. V. 104. No. 6. P. 392.
- Buttiker M. // Phys. Rev. B. 1992. V. 46. P. 12485.
- Wielandt H. // Math. Z. 1944. V. 60. P. 93.
- Икрамов Х.Д. Несимметричная проблема собственных значений: численные методы. М.: Наука, 1991. 240 с.
- Скрябин С.Н., Петрова Ю.А., Садыков Н.Р. // Письма в ЖЭТФ. 2024. Т. 50. № 15. С. 41, Skryabin S.N., Petrova Y.A., Sadykov N.R. // Tech. Phys. Lett. 2024. V. 50. No. 8. P. 37.
- Schmidt A.G.M., Pereira M.E. // Phys. Lett. A. 2024. Т. 517. Art. No. 12967.
- Беляков В.А. // Нанострукт. Матем. физ. и моделир. 2014. Т. 10. № 2. С. 41.
- Jensen Kevin L. Electron emission physics. Advances in imaging and electron physics. V. 149. Academic Press, 2007. 338 p.
- Ардашева Л.И., Садыков Н.Р., Черняков В.Е. // Квант. электрон. 1992. Т. 19. № 9. С. 903, Ardasheva L.I., Sadykov N.R., Chernyakov V.E. // Sov. J. Quantum. Electron. 1992. V. 22. No. 9. P. 840.
- Афанасьев А.Н., Мялицин Л.А., Садыков Н.Р., Садыкова М.О. // Изв. вузов. Физ. 2005. Т. 48. № 1. С. 11, Afanas’ev A.N., Myalitsin L.A., Sadykov N.R., Sadykova M.O. // Russ. Phys. J. 2005. V. 48. No. 1. P. 10.
- Юдина Н.В., Садыков Н.Р. // Вестн. НИЯУ МИФИ. 2017. Т. 6. № 6. С. 512.
- Stern T.E., Gossling B.S., Fowler R.H. // Proc. Royal. Soc. London A. 1929. V. 124. P. 699.
- Садыков Н.Р., Петрова Ю.А., Пилипенко И.А. и др. // Журн. хим. физики. 2023. Т. 97. № 2. С. 1., Sadykova N.R., Petrova Yu.A., Pilipenko I.A. et al. // Russ. J. Phys. Chem. A. 2023. V. 97. No. 2. P. 367.
- Petukhova A.Y., Perminov A.V., Starikova V.A., Konina Y.A. // Bull. Russ. Acad. Sci. Phys. 2024. V. 88. No. 6. P. 1000.
- Казаринов Р.Ф., Сурис Р.А.// ФТП. 1971. № 4. С. 797.
- Weiglhofert W.S., Lakhtakia A. // J. Phys. D. Appi. Phys. 1993. V. 26. P. 2117.
- Дремов В.В., Садыков Н.Р. // Опт. и спектроск. 1996. Т. 80. № 5. С. 814, Dremov V.V., Sadykov N.R. // Opt. Spectrosc. 1996. V. 80. No. 5. P. 731.
- Maksimov A.A., Filatov E.V., Tartakovskii I.I. et al. // Phys. Rev. Appl. 2022. V. 17. Art. No. L021001.
- Максимов А.А., Тартаковский И.И. // Изв. РАН. Сер. физ. 2024. Т. 88. № 2. С. 185, Maksimov A.A., Tartakovskii I.I. // Bull. Russ. Acad. Sci. Phys. 2024. V. 88. No. 2. P. 156.
- Максимов А.А., Филатов Е.В., Тартаковский И.И. // Изв. РАН. Сер. физ. 2021. Т. 85. № 2. С. 241, Maksimov A.A., Filatov E.V., Tartakovskii I.I. // Bull. Russ. Acad. Sci. Phys. 2021. V. 85. No. 2. P. 176.
Supplementary files








