Изменение спектров комбинационного рассеяния света от поверхности титановых фольг при их фторировании
- Авторы: Сергеев П.Б.1, Мельник Н.Н.1
-
Учреждения:
- Федеральное государственное бюджетное учреждение науки «Физический институт имени П.Н. Лебедева Российской академии наук»
- Выпуск: Том 88, № 12 (2024)
- Страницы: 1926-1931
- Раздел: Нанооптика, фотоника и когерентная спектроскопия
- URL: https://journal-vniispk.ru/0367-6765/article/view/286515
- DOI: https://doi.org/10.31857/S0367676524120138
- EDN: https://elibrary.ru/EWEOBY
- ID: 286515
Цитировать
Аннотация
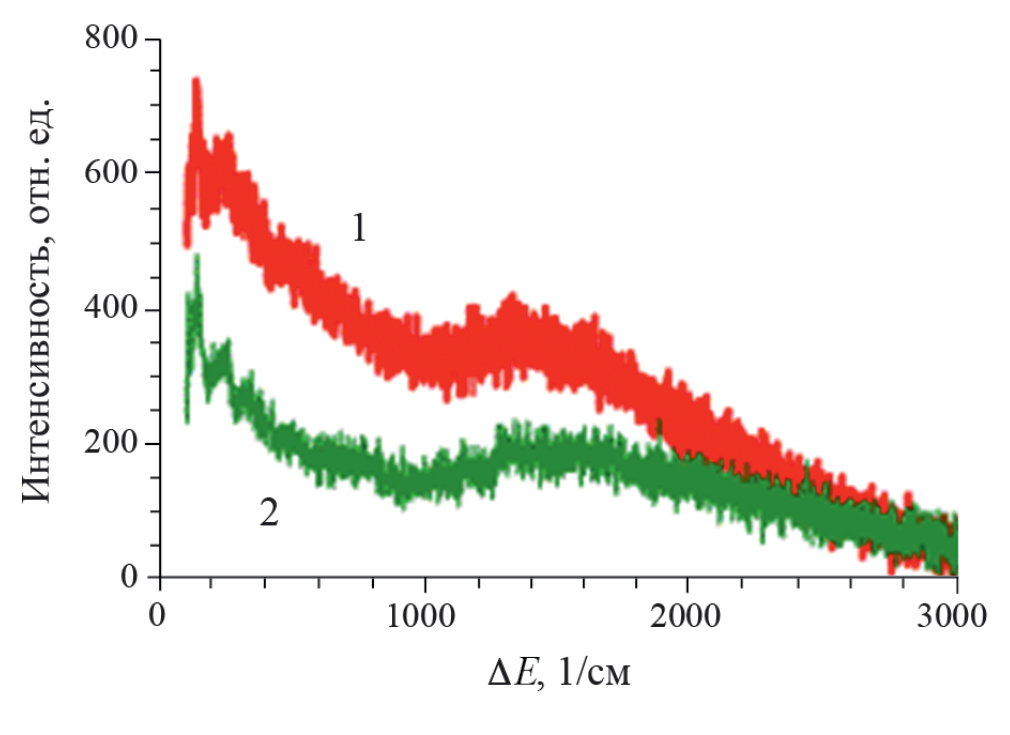
Экспериментально изучена трансформация спектров комбинационного рассеяния света от титановых фольг при их фторировании в газовых смесях. Обнаружено, что фторирование ведет к сильному повышению интенсивности полос рассеяния от исходных компонентов нанопокрытия титановых фольг. Появляется также новая сильная полоса на 905±5 см-1 и широкий континуум с максимумом ≈1700 см-1, интенсивность которых возрастает в процессе фторирования.
Ключевые слова
Полный текст
Об авторах
П. Б. Сергеев
Федеральное государственное бюджетное учреждение науки «Физический институт имени П.Н. Лебедева Российской академии наук»
Автор, ответственный за переписку.
Email: sergeevpb@lebedev.ru
Троицкое обособленное подразделение
Россия, МоскваН. Н. Мельник
Федеральное государственное бюджетное учреждение науки «Физический институт имени П.Н. Лебедева Российской академии наук»
Email: sergeevpb@lebedev.ru
Троицкое обособленное подразделение
Россия, МоскваСписок литературы
- Хохлов В.А., Жаховский В.В., Иногамов Н.А. и др. // Письма в ЖЭТФ. 2022. Т. 115. № 9. С. 576, Khokhlov V.A., Zhakhovsky V.V., Inogamov N.A. et al. // JETP Lett. 2022. V. 115. No. 9. P. 523.
- Воробьев В.Л., Гильмутдинов Ф.З., Сюгаев А.В. и др. // Физ. металл. и металловед. 2020. Т. 121. № 5. С. 509, Vorob’ev V.L., Gil’mutdinov F.Z., Syugaev A.V. et al. // Phys. Metals Metallogr. V. 121. No. 5. P. 460.
- Комаров Д.В., Коновалов С.В., Жуков Д.В. и др. // Ползуновский вестн. 2022. № 3. С. 204.
- Тимченко П.Е., Фролов О.О., Тимченко Е.В. и др. // Опт. и спектроск. 2023. Т. 131. № 6. С. 728, Timchenko P.E., Frolov O.O., Timchenko E.V. et al. // Opt. Spectrosc. 2023. V. 131. No. 6. P. 684.
- Kiselyova E.S., Sypchenko V.S., Nikitenkov N.N. et al. // Lett. Materials. 2017. V. 7. No. 2. P. 117.
- Lohse B.H., Calka A., Wexler D. // J. Appl. Phys. 2005. V. 97. P. 114912.
- Mahalingam S., Edirisinghe M.J. // J. Phys. D. Appl. Phys. 2008. V. 41. No. 21. Art. No. 215406.
- Sarycheva A., Gogotsi Y. // Chem. Mater. 2020. V. 32. P. 3480.
- Бронников К.А., Гладких С.А., Окотруб К.А. и др. // Квант. электрон. 2022. Т. 52. № 11. С. 1042.
- Popova A.D., Sheveyko A.N., Kuptsov K.A. et al. // ACS Appl. Mater. Interfaces. 2023. V. 15. No. 31. P. 37274.
- Жирухин Д.А., Капустин Ю.И., Ваграмян Т.А. // Успехи в хим. и химич. технол. 2021. Т. 35. № 8. С. 108.
- Hanaor D.A.H., Sorrell C.C. // J. Mater Sci. 2011. V. 46. P. 855.
- Hardcastle F.D. // JAAS. 2011. V. 65. Art. No. 9.
- Zanatta A.R. // AIP Advances. 2017. V. 7. Art. No. 075201.
- Surmacki J., Wronski P., Szadkowska-Nicze M., Abramczyk H. // Chem. Phys. Lett. 2013. V. 566. P. 54.
- Blanco-Pinzon C., Liu Z., Voisey K. et al. // Corros. Sci. 2005. V. 47. P. 1251.
- Sergeev P.B. // J. Russ. Laser Res. 1993. V. 14. No. 4. P. 237.
- Бодакин Л.В., Гусаков А.И., Комаров О.В. и др. // ЖТФ. 2016. Т. 86. № 9. С. 122, Bodakin L.V., Gusakov A.I., Komarov O.V. et al. // Tech. Phys. 2016. V. 61. No. 9. P. 1404.
- Egorov I., Smolyanskiy E., Poloskov A., Serebrennikov M. // Vacuum. 2022. V. 199. Art. No. 110921.
- Сергеев П.Б., Морозов Н.В. // Опт. и спектроск. 2019. Т. 126. № 3. С. 280, Sergeev P.B., Morozov N.V. // Opt. Spectrosc. 2019. V. 126. No. 3. P. 200.
- Сергеев П.Б., Ковалец Н.П., Кожина Е.П., Бедин С.А. // Изв. РАН. Сер. физ. 2023. Т. 87. № 12. С. 1819, Sergeev P.B., Kovalets N.P., Kozhina E.P., Bedin S.A. // Bull. Russ. Acad. Sci. Phys. 2023. V. 87. No. 12. P. 1890.
- Сергеев П.Б., Сергеев А.П., Зворыкин В.Д. // Квант. электрон. 2007. Т. 37. № 8. С. 706, Sergeev P.B., Sergeev A.P., Zvorykin V.D. // Quantum. Electron. 2007. V. 37. No. 8. P. 706.
- Cheng Y.H., Tay B.K., Lau S.P. et al. // J. Appl. Phys. 2002. V. 92. No. 4. P. 1845.
- Balachandran U., Eror N.G. // J. Solid State Chem. 1982. V. 42. P. 276.
- Pawar T.J., Contreras Lуpez D., Olivares Romero J.L. et al. // J. Mater Sci. 2023. V. 58. P. 6887.
Дополнительные файлы







