Анализ мод Шмидта для сверхширокополосных бифотонов, генерируемых в фотонно-кристаллическом волокне
- Авторы: Смирнов М.А.1, Смирнова А.М.1, Хайруллин А.Ф.1, Ермишев О.А.1, Моисеев С.А.1
-
Учреждения:
- Федеральное государственное бюджетное образовательное учреждение высшего образования «Казанский национальный исследовательский технический университет имени А.Н. Туполева-КАИ»
- Выпуск: Том 88, № 12 (2024)
- Страницы: 1946-1950
- Раздел: Нанооптика, фотоника и когерентная спектроскопия
- URL: https://journal-vniispk.ru/0367-6765/article/view/286540
- DOI: https://doi.org/10.31857/S0367676524120165
- EDN: https://elibrary.ru/EVKVAO
- ID: 286540
Цитировать
Полный текст
Аннотация
Выполнена оценка степени квантовой запутанности на основе анализа числа мод Шмидта сверхширокополосных бифотонных состояний, генерируемых в фотонно-кристаллическом волокне. Показано, что данные состояния могут иметь высокую степень квантовой запутанности даже в условии накачки источника широкополосными фемтосекундными лазерными импульсами.
Полный текст
Введение
Бифотоны (фотонные пары) представляют собой двухфотонное состояние света, которое характеризуется высокой степенью неклассических корреляций, например, между временами их детектирования, энергиями фотонов в паре [1]. Благодаря этим свойствам источники фотонных пар стали одним из ключевых инструментов во многих приложениях квантовых технологий, среди которых можно выделить квантовую визуализацию [2], квантовую оптическую когерентную томографию [3], квантовую спектроскопию и нелинейную микроскопию [4], оптическую квантовую память [5, 6] и квантовые коммуникации [7]. Корреляции бифотонов обладают уникальным неклассическим свойством, называемую квантовой запутанностью [8], которую классически можно представить нелокальной связью между двумя частицами, выражаемую определенными количественными соотношениями между результатами измерения их параметров, при том, что до момента измерения значение этих параметров не было определено, т. е. не имело детерминированного значения.
Большое внимание в последние годы привлекли квантовые системы, способные обеспечить многоуровневую квантовую запутанность [9, 10]. Данные системы перспективны для квантовых коммуникации и квантовых вычислений. Так в квантовых коммуникациях они повышают резистентность системы к внешним шумам [11, 12], а в квантовых вычислениях потенциально могут повысить производительность вычислений благодаря мультиплексированию со спектральным разделением.
На сегодняшний день, наиболее распространенные методы генерации бифотонов основаны на использовании явления спонтанного параметрического рассеяния в кристаллах с квадратичной восприимчивостью [13] и спонтанного четырехволнового смешения в оптических волокнах с кубической нелинейной восприимчивостью . В случае оптических волокон генерация бифотонов происходит в небольшой сердцевине волокна на протяжении всей его длины, что помогает компенсировать более высокий порядок нелинейности кварцевой сердцевины, а также облегчает непосредственное сопряжение с другими оптическими волокнами. Применение микроструктурированных (МС) волокон, называемых также фотонно-кристаллическими (ФК) волокнами, позволяет использовать значительно модифицированную волноводную дисперсию, что является основанием для получения новых квантовых состояний света и активного развития в области квантовой инженерии, в создании источников, а также других квантовых устройств, например источников истинно-случайных чисел [17].
В работах [18, 20] была продемонстрирована генерация сверхширокополосных бифотонов в ФК волокне, а в последующих затем работах [21] были продемонстрированы режимы генерации таких состояний с высокой яркостью, что делает подобные источники бифотонов интересными для использования в различных приложениях. В настоящей работе мы проводим численный анализ максимальной размерности квантовых состояний, которую способен обеспечить подобные квантовые источники излучения.
Волновая функция бифотонов и методы их генерации
Четырехволновое смешение представляет собой нелинейно-оптический процесс третьего порядка, который реализуется в оптических материалах при их возбуждении интенсивным оптическим излучением (лазерной накачкой) [14—16, 22]. Спонтанное четырехволновое смешение (СЧВС) представляет собой вероятностный параметрический процесс, в результате которого два фотона из высокоинтенсивного поля накачки преобразуются в два дочерних фотона, (сигнальный и холостой) частоты которых ωs и ωi в случае одночастотной накачки ωp могут сильно отличаться, но связаны с частотой лазерной накачки законом сохранения энергии Принципиальная схема генерации фотонных пар в волокнах на основе СЧВС показана на рис. 1a. На рис. 1 приведена энергетическая диаграмма процесса СЧВС.
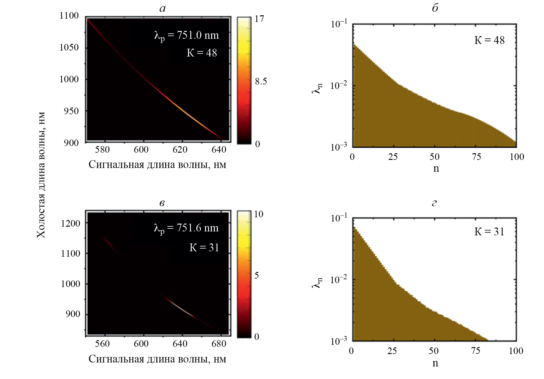
Рис. 1. Принципиальная схема генерации бифотонов в оптическом волокне с нелинейной восприимчивостью χ(3)(a). Схематическое изображение функции совместной спектральной интенсивности генерируемых фотонов, K — параметр Шмидта (б). Энергетическая диаграмма процесса спонтанного четырехволнового смешения, при котором уже два фотона накачки преобразуются в два дочерних фотона на других частотах (в).
Частоты сигнальных и холостых фотонов определяются из условия фазового синхронизма. Это условие выполняется при равенстве нулю функции фазового рассогласования , которая в случае скалярного СЧВС (направление поляризации всех взаимодействующих полей совпадает) описывается следующим выражением [14—16, 22]
(1)
где — постоянная распространения основной моды оптического волокна на частоте , — нелинейная постоянная материала сердцевины, — пиковая мощность накачки в сердцевине световода.
Квантовое состояние, создаваемое на выходе из волокна, описывается с помощью волновой функции, которая в случае энергетически-временной запутанности может быть представлена, как [18]
(2)
где |0⟩s |0⟩i — вакуумное состояние для спектральных мод s и i (сигнальный и холостой фотон), F (ωs, ωi) — это функция совместной спектральной амплитуды (ССА), модуль квадрата которой имеет смысл плотности вероятности генерации фотонной пары с круговыми частотами фотонов ωs и ωi и называется совместной спектральной интенсивностью (ССИ). На рис. 1 представлены примеры функции ССИ, построенные в виде спектральных карт для различной степени частотно-временной запутанности между генерируемыми фотонами. Данные спектральные карты отображают частотные корреляции между генерируемыми фотонами. Функция ССА напрямую зависит от параметров ФК волокна, а именно от дисперсионных параметров, входящих в функцию фазового рассогласования Δβ(ωs, ωi, ωp), и от длины оптического волокна L [14—17, 23].
В случае разложения волновой функции по модам Шмидта состояние бифотонного поля принимает вид [23—26]
(3)
Такое разложение волновой функции дает возможность количественного описания квантовой запутанности с помощью полученных коэффициентов λn. Это описание можно осуществить либо в терминах энтропии как , либо с помощью параметра Шмидта .
Параметр Шмидта показывает эффективное количество состояний (мод Шмидта), на которые может быть разложена волновая функция и, соответственно, этот параметр может служить оценкой многомерности квантового состояния бифотонного излучения. Величина, обратная параметру Шмидта, служит количественной мерой чистоты двухфотонного состояния. Коэффициенты в разложении по модам Шмидта λn находятся, как собственные значения и собственные функции следующих интегральных уравнений [23—26]
(4)
(5)
ядра которых имеют вид
(6)
(7)
Особенностью мод Шмидта является то обстоятельство, что они позволяют также описать частотные корреляции, в частности, позволяют подобрать сигнальные и холостые моды таким образом, что измерения фотонов в этих модах будут сильно коррелировать [16]. Этот глубокий физический смысл делает разложение по модам Шмидта очень полезным инструментом в квантовой оптике. Однако контролируемая генерация, манипуляции и обнаружение таких состояний, несмотря на множество многообещающих экспериментов, по-прежнему представляет собой актуальную научную задачу.
Результаты и их обсуждение
В работе [21] представлены экспериментальные данные по генерации сверхширокополосных бифотонных полей в ФК волокне (NL-PM 750, NKT Photonics). Это волокно c сохранением поляризации характеризуется высокой нелинейной постоянной (γ ≈ 90), а также двумя значениями длины нулевой дисперсии вблизи 750 и 1230 нм. В той же работе предложены параметры для модели оптического волокна с эффективным показателем преломления оболочки, которые позволяют наилучшим образом описать как дисперсию групповых скоростей волокна, так и непосредственно экспериментальные спектры. Данная модель характеризуется двумя основными параметрами — диаметром сердцевины a и степенью заполнения оболочки воздухом f. Показатель преломления оболочки при этом находится как , где ns — показатель преломления материала световода (кварц). На основе этих входных параметров вычисляется спектральные зависимости постоянной распространения основной моды волокна β(ω), которая необходима для вычисления функции ССА и соответствующих ей распределения спектральных мод (мод Шмидта). Используя данные на основе этой модели, мы и проводили расчеты функций ССА и дальнейшее разложение по модам Шмидта. Длину волокна L в расчетах мы использовали равной 10 см, а ширину спектральной линии накачки Δvp равной 1.0 ТГц. Используемое значение Δvp является сравнительно широкополосным и соответствует ультракоротким лазерным импульсам, длительность которых может лежать в диапазоне от сотен фемтосекунд до одной пикосекунды. Размер матрицы значений функции ССА в расчетах варьировался в диапазоне от 1000×1000 до 2000×2000 элементов.
Результаты расчетов представлены на рис. 2 в виде спектральных зависимостей функции ССИ (рис. 2a и 2в) и соответствующих им коэффициентов λn в разложении по спектральным модам Шмидта (рис. 2б и 2г). Вычисленные параметры Шмидта имеют значения K ≈ 50, что говорит о высокой степени квантовой запутанности бифотонного поля, генерируемого на выходе из волокна. Предварительные данные показывают, что это число может быть увеличено с увеличением длины оптического волокна в несколько раз.
Рис. 2. Совместная спектральная интенсивность |F(ωs, ωi)|2 и соответствующие распределения коэффициентов мод Шмидта для различных значений длин волн накачки вблизи точки экстремума фазового синхронизма: λp = 751 (а, б), 752 нм (в, г).
Важно заметить, что спектральные моды в разложении остаются широкополосными (ширина спектра ≈ 1 ТГц), а это значит, что их временные огибающие лежат в фемтосекундной (суб-пикосекундной) временной области. Это обстоятельство отличает полученные нами результаты от похожих теоретических работ [26] с волоконными источниками бифотонов, в которых получали состояния с сотнями спектральных мод, но более узкими по ширине спектра. Таким образом, генерируемые сверхширокополосные бифотонные состояния на выходе из волокна способны обеспечить запутанность между большим количеством спектральных мод с высокой временной локализацией, что может быть очень полезно, например, при изучении быстродействующих процессов.
Заключение
Таким образом, представлены численные оценки степени квантовой запутанности на основе анализа мод Шмидта для сверхширокополосных бифотонных состояний, генерируемых в фотонно-кристаллическом волокне. Генерация сверхширокополосных состояний в оптических волокнах представляет интерес для различных квантовых технологий и, как было показано в недавних работах, может быть реализована при подборе параметров используемого фотонно-кристаллического волокна и точной подстройке параметров фемтосекундной накачки. Мы показываем, что данные состояния имеют высокую степень квантовой запутанности с параметром Шмидта ≈50 на небольшой длине волокна даже в условии широкополосной накачки источника фемтосекундными лазерными импульсами. Результаты данной работы будут особенно полезны для ученых и специалистов, занимающихся практическим применением источников бифотонов в области квантовой микроскопии и квантовых коммуникаций.
Работа выполнена при финансовой поддержке Минобрнауки России (регистрационный номер НИОКТР 121020400113-1).
Об авторах
М. А. Смирнов
Федеральное государственное бюджетное образовательное учреждение высшего образования «Казанский национальный исследовательский технический университет имени А.Н. Туполева-КАИ»
Автор, ответственный за переписку.
Email: maxim@kazanqc.org
Казанский квантовый центр
Россия, КазаньА. М. Смирнова
Федеральное государственное бюджетное образовательное учреждение высшего образования «Казанский национальный исследовательский технический университет имени А.Н. Туполева-КАИ»
Email: maxim@kazanqc.org
Казанский квантовый центр
Россия, КазаньА. Ф. Хайруллин
Федеральное государственное бюджетное образовательное учреждение высшего образования «Казанский национальный исследовательский технический университет имени А.Н. Туполева-КАИ»
Email: maxim@kazanqc.org
Казанский квантовый центр
Россия, КазаньО. А. Ермишев
Федеральное государственное бюджетное образовательное учреждение высшего образования «Казанский национальный исследовательский технический университет имени А.Н. Туполева-КАИ»
Email: maxim@kazanqc.org
Казанский квантовый центр
Россия, КазаньС. А. Моисеев
Федеральное государственное бюджетное образовательное учреждение высшего образования «Казанский национальный исследовательский технический университет имени А.Н. Туполева-КАИ»
Email: maxim@kazanqc.org
Казанский квантовый центр
Россия, КазаньСписок литературы
- Клышко Д.Н. // УФН. 1989. Т. 158. № 6. С. 327, Klyshko D.N. // Sov. Phys. Usp. 1989. V. 32. P. 555.
- Moreau P.-A., Tonelli E., Gregori T., Padgett M.J. // Nature Rev. Phys. 2019. V. 1. No. 6. P. 367.
- Vallés A., Jimenez G., Salazar-Serrano L.J., Torres J.P. // Phys. Rev. A. 2018. V. 97. No. 2. Art. No. 023824.
- Schlawin F., Dorfman K.E., Mukamel S. // Acc. Chem. Res. 2018. V. 51. No. 9. P. 2207.
- Бантыш Б.И., Катамадзе К.Г., Богданов Ю.И. и др. // Письма в ЖЭТФ. 2022. Т. 116. № 1—2 (7). С. 33, Bantysh B.I., Katamadze K.G., Bogdanov Yu.I. et al. // JETP Lett. 2022. V. 116. No. 1. P. 29.
- Миннегалиев М.М., Герасимов К.И., Моисеев С.А. // Письма в ЖЭТФ. 2023. Т. 117. № 11. С. 867, Minnegaliev M.M., Gerasimov K.I., Moiseev S.A. // JETP Lett. 2023. V. 117. No. 11. P. 865.
- Melnik K.S., Moiseev E.S. // Phys. Rev. A. 2023. V. 107. No. 5. Art. No. 052607.
- Федоров А.К., Киктенко Е.О., Хабарова К.Ю., Колачевский Н.Н. // УФН. 2023. Т. 193. № . 11. С. 1162, Fedorov A.K., Kiktenko E.O., Khabarova K.Yu., Kolachevsky N.N. // Phys. Usp. 2023. V. 66. No. 11. P. 1095.
- Cozzolino D., da Lio B., Bacco D., Oxenlowe L.K. // Adv. Quantum Technol. 2019. V. 2. No. 12. Art. No. 1900038.
- Erhard M., Krenn M., Zeilinger A. // Natute Rev. Phys. 2020. V. 2. No. 7. P. 365.
- Bechmann-Pasquinucci H., Peres A. // Phys. Rev. Lett. 2000. V. 85. No. 15. P. 3313.
- Couteau C., Barz S., Durt T. et al. // Nature. Rev. Phys. 2023. V. 5. No. 6. P. 326.
- Катамадзе К.Г., Пащенко А.В., Романова А.В., Кулик С.П. // Письма в ЖЭТФ. 2022. Т. 115. № 10. С. 613, Katamadze K.G., Pashchenko A.V., Romanova A.V., Kulik S.P. // JETP Lett. 2022. V. 115. No. 10. P. 581.
- Petrovnin K.V., Smirnov M.A., Fedotov I.V. et al. // Laser Phys. Lett. 2019. V. 16. No. 7. Art. No. 075401.
- Хайруллин А.Ф., Смирнова А.М., Арсланов Н.М. и др. // Письма в ЖЭТФ. 2024. Т. 119. № 5. С. 336, Khairullin A.F., Smirnova A.M., Arslanov N.M. et al. // JETP Lett. 2024. V. 119. No. 5. P. 345.
- Hammer J., Chekhova M.V., Häupl D.R. et al. // Phys. Rev. Res. 2020. V. 2. No. 1. P. 012079.
- Smirnov M.A., Petrovnin K.V., Fedotov I.V. et al. // Laser Phys. Lett. 2019. V. 16. No. 11. Art. No. 115402.
- Garay-Palmett K., Kim D.V., Zhang Y. et al. // JOSA B. 2023. V. 40. No. 3. P. 469.
- Ермишев О.А., Смирнов М.А., Хайруллин А.Ф., Арсланов Н.М.// Изв. РАН. Сер. физ. 2022. Т. 86. № 12. С. 1764, Ermishev O.A., Smirnov M.A., Khairullin A.F., Arslanov N.M. // Bull. Russ. Acad. Sci. Phys. 2022. V. 86. No. 12. P. 1502.
- Lopez-Huidobro S., Lippl M., Joly N.Y., Chekhova M.V. // Opt. Letters. 2021. V. 46. No. 16. P. 4033.
- Smirnov M.A., Fedotov I.V., Smirnova A.M. et al. // Opt. Letters. 2024. V. 49. No. 14. P. 3838.
- Агравал Г. Нелинейная волоконная оптика. М.: Мир, 1996.
- Law C.K., Walmsley I.A., Eberly J.H. // Phys. Rev. Lett. 2000. V. 84. No. 23. P. 5304.
- Migdall A., Polyakov S.V., Fan J., Bienfang J.C. Single-photon generation and detection: physics and applications. Experimental Methods in the Physical Sciences. V. 45. Acad. Press, 2013. 616 p.
- Желтиков А.М., Скалли М.О. // УФН. 2020. Т. 190. № 7. С. 749, Zheltikov A.M., Scully M.O. // Phys. Usp. 2020. V. 63. No. 7. P. 698.
- Petrov N.L., Voronin A.A., Fedotov A.B., Zheltikov A.M. // Phys. Rev. A. 2019. V. 100. No. 3. Art. No. 033837.
Дополнительные файлы




