Каскадный супер-скручивающий наблюдатель для линейных мультиагентных систем без коммуникации

Обложка

Цитировать

Полный текст

Аннотация

Рассмотрена задача о консенсусе (т.е. о согласовании фазовых векторов) для мультиагентной системы, состоящей из однотипных линейных агентов. Изучен случай, когда между агентами нет коммуникации, т.е. нет обмена информацией, а управление агентами осуществляется за счёт собственных датчиков агентов, дающих неполную информацию о фазовых векторах агента и его соседей, при этом информация может быть зашумлена. Для решения задачи применён линейный протокол на основе данных от наблюдателей для систем в условиях неопределённости. В качестве таких наблюдателей предложено использовать каскадные наблюдатели на основе метода “super-twisting” (супер-скручивающий каскадный наблюдатель). Получены достаточные условия существования регулятора, при которых ошибка наблюдения стремится к нулю при ограниченных возмущениях. Приведён пример, иллюстрирующий предложенный подход.

Полный текст

ВВЕДЕНИЕ

Мультиагентные системы, состоящие из агентов со своим входом, выходом и регулятором, находят широкое применение в роевой робототехнике, управлении электроэнергией, а также в описании транспортных систем [1]. Особый интерес представляют системы, в которых все агенты стандартизированы. Такие системы легко масштабировать, они демонстрируют высокую устойчивость к отказам отдельных агентов, при этом остаются экономически выгодными [2].

В контексте нашего исследования будем рассматривать агенты как линейные однородные SISO (Single-Input Single-Output) объекты, подвергаемые ограниченным возмущениям и обладающие информацией только об относительном выходе. Например, если динамика агентов описывается координатой и скоростью, то агенту известно только расстояние до соседей, в то время как относительная скорость остаётся неизвестной.

Основная задача исследования MathType@MTEF@5@5@+= feaahqart1ev3aqatCvAUfeBSjuyZL2yd9gzLbvyNv2CaerbuLwBLn hiov2DGi1BTfMBaeXatLxBI9gBaerbd9wDYLwzYbItLDharqqtubsr 4rNCHbGeaGqiVu0Je9sqqrpepC0xbbL8F4rqqrFfpeea0xe9Lq=Jc9 vqaqpepm0xbba9pwe9Q8fs0=yqaqpepae9pg0FirpepeKkFr0xfr=x fr=xb9adbaqaaeGaciGaaiaabeqaamaabaabaaGcqqaaaaaaaaGqSf 2yRbWdbeaaruWqHXwAIjxAaGqbaKqzGfaeaaaaaaaaa8GacaWFuaca aa@3C73@  децентрализованный консенсус, или синхронизация состояний между агентами, полагаясь только на информацию от непосредственных соседей [3 MathType@MTEF@5@5@+= feaahqart1ev3aqatCvAUfeBSjuyZL2yd9gzLbvyNv2CaerbuLwBLn hiov2DGi1BTfMBaeXatLxBI9gBaerbd9wDYLwzYbItLDharqqtubsr 4rNCHbGeaGqiVu0Je9sqqrpepC0xbbL8F4rqqrFfpeea0xe9Lq=Jc9 vqaqpepm0xbba9pwe9Q8fs0=yqaqpepae9pg0FirpepeKkFr0xfr=x fr=xb9adbaqaaeGaciGaaiaabeqaamaabaabaaGcqqaaaaaaaaGqSf 2yRbWdbeaaruWqHXwAIjxAaGqbaKqzGfaeaaaaaaaaa8GacaWFtaca aa@3C72@ 5].

Многие существующие протоколы [6] для достижения консенсуса требуют обмена дополнительной информацией между агентами. Но его, как было показано в статье [7], можно достичь и без коммуникации между агентами. Однако численное моделирование, выполненное нами, показывает, что этот подход уступает в точности при наличии внешних возмущений.

В работе [8] был предложен нелинейный наблюдатель для линейных систем, дающий асимптотически точную оценку. Возникает вопрос, возможно ли адаптировать этот наблюдатель для использования в протоколе [7], чтобы улучшить его точность? Хотя подобный подход уже был рассмотрен для агентов второго порядка [9], наша цель MathType@MTEF@5@5@+= feaahqart1ev3aqatCvAUfeBSjuyZL2yd9gzLbvyNv2CaerbuLwBLn hiov2DGi1BTfMBaeXatLxBI9gBaerbd9wDYLwzYbItLDharqqtubsr 4rNCHbGeaGqiVu0Je9sqqrpepC0xbbL8F4rqqrFfpeea0xe9Lq=Jc9 vqaqpepm0xbba9pwe9Q8fs0=yqaqpepae9pg0FirpepeKkFr0xfr=x fr=xb9adbaqaaeGaciGaaiaabeqaamaabaabaaGcqqaaaaaaaaGqSf 2yRbWdbeaaruWqHXwAIjxAaGqbaKqzGfaeaaaaaaaaa8GacaWFuaca aa@3C73@  обобщить его для агентов любого порядка.

1. ТЕОРЕТИЧЕСКИЕ ОСНОВЫ

Задача консенсуса состоит в синхронизации состояния агентов. Под агентами понимаются объекты одинаковой природы. В нашей работе агенты MathType@MTEF@5@5@+= feaahqart1ev3aqatCvAUfeBSjuyZL2yd9gzLbvyNv2CaerbuLwBLn hiov2DGi1BTfMBaeXatLxBI9gBaerbd9wDYLwzYbItLDharqqtubsr 4rNCHbGeaGqiVu0Je9sqqrpepC0xbbL8F4rqqrFfpeea0xe9Lq=Jc9 vqaqpepm0xbba9pwe9Q8fs0=yqaqpepae9pg0FirpepeKkFr0xfr=x fr=xb9adbaqaaeGaciGaaiaabeqaamaabaabaaGcqqaaaaaaaaGqSf 2yRbWdbeaaruWqHXwAIjxAaGqbaKqzGfaeaaaaaaaaa8GacaWFuaca aa@3C73@  линейные стационарные динамические системы. Уравнения агента имеют вид

                                             x ˙ i =A x i +B u i , y i = 1 | N i | C j N i ( x i x j ), MathType@MTEF@5@5@+= feaahqart1ev3aaatCvAUfeBSjuyZL2yd9gzLbvyNv2CaerbuLwBLn hiov2DGi1BTfMBaeXatLxBI9gBaebbnrfifHhDYfgasaacH8srps0l bbf9q8WrFfeuY=Hhbbf9v8qqaqFr0xc9pk0xbba9q8WqFfea0=yr0R Yxir=Jbba9q8aq0=yq=He9q8qqQ8frFve9Fve9Ff0dmeaabaqaciGa caGaaeqabaWaaeaadaaakabbaaaaaaaacXwyJTgapeqaa8aaceWG4b GbaiaadaWgaaWcbaGaamyAaaqabaGccaaI9aGaamyqaiaadIhadaWg aaWcbaGaamyAaaqabaGccqGHRaWkcaWGcbGaamyDamaaBaaaleaaca WGPbaabeaakiaaiYcacaaMf8UaamyEamaaBaaaleaacaWGPbaabeaa kiaai2dadaWcaaqaaiaaigdaaeaacaaI8bGaamOtamaaBaaaleaaca WGPbaabeaakiaaiYhaaaGaam4qamaaqafabeWcbaGaamOAaiabgIGi olaad6eadaWgaaqaaiaadMgaaeqaaaqab0GaeyyeIuoakiaaiIcaca WG4bWaaSbaaSqaaiaadMgaaeqaaOGaeyOeI0IaamiEamaaBaaaleaa caWGQbaabeaakiaaiMcacaaISaaaaa@55F9@        (1)

 где x i n MathType@MTEF@5@5@+= feaahqart1ev3aaatCvAUfeBSjuyZL2yd9gzLbvyNv2CaerbuLwBLn hiov2DGi1BTfMBaeXatLxBI9gBaebbnrfifHhDYfgasaacH8srps0l bbf9q8WrFfeuY=Hhbbf9v8qqaqFr0xc9pk0xbba9q8WqFfea0=yr0R Yxir=Jbba9q8aq0=yq=He9q8qqQ8frFve9Fve9Ff0dmeaabaqaciGa caGaaeqabaWaaeaadaaakabbaaaaaaaacXwyJTgapeqaa8aacaWG4b WaaSbaaSqaaiaadMgaaeqaaOGaeyicI48efv3ySLgznfgDOjdaryqr 1ngBPrginfgDObcv39gaiqaacqWFDeIudaahaaWcbeqaaiaad6gaaa aaaa@4345@   MathType@MTEF@5@5@+= feaahqart1ev3aqatCvAUfeBSjuyZL2yd9gzLbvyNv2CaerbuLwBLn hiov2DGi1BTfMBaeXatLxBI9gBaerbd9wDYLwzYbItLDharqqtubsr 4rNCHbGeaGqiVu0Je9sqqrpepC0xbbL8F4rqqrFfpeea0xe9Lq=Jc9 vqaqpepm0xbba9pwe9Q8fs0=yqaqpepae9pg0FirpepeKkFr0xfr=x fr=xb9adbaqaaeGaciGaaiaabeqaamaabaabaaGcqqaaaaaaaaGqSf 2yRbWdbeaaruWqHXwAIjxAaGqbaKqzGfaeaaaaaaaaa8GacaWFuaca aa@3C73@  вектор состояния i MathType@MTEF@5@5@+= feaahqart1ev3aaatCvAUfeBSjuyZL2yd9gzLbvyNv2CaerbuLwBLn hiov2DGi1BTfMBaeXatLxBI9gBaebbnrfifHhDYfgasaacH8srps0l bbf9q8WrFfeuY=Hhbbf9v8qqaqFr0xc9pk0xbba9q8WqFfea0=yr0R Yxir=Jbba9q8aq0=yq=He9q8qqQ8frFve9Fve9Ff0dmeaabaqaciGa caGaaeqabaWaaeaadaaakabbaaaaaaaacXwyJTgapeqaa8aacaWGPb aaaa@34B7@  -го агента; i{1,,N} MathType@MTEF@5@5@+= feaahqart1ev3aaatCvAUfeBSjuyZL2yd9gzLbvyNv2CaerbuLwBLn hiov2DGi1BTfMBaeXatLxBI9gBaebbnrfifHhDYfgasaacH8srps0l bbf9q8WrFfeuY=Hhbbf9v8qqaqFr0xc9pk0xbba9q8WqFfea0=yr0R Yxir=Jbba9q8aq0=yq=He9q8qqQ8frFve9Fve9Ff0dmeaabaqaciGa caGaaeqabaWaaeaadaaakabbaaaaaaaacXwyJTgapeqaa8aacaWGPb GaeyicI4SaaG4EaiaaigdacaaISaGaeSOjGSKaaGilaiaad6eacaaI 9baaaa@3C63@   MathType@MTEF@5@5@+= feaahqart1ev3aqatCvAUfeBSjuyZL2yd9gzLbvyNv2CaerbuLwBLn hiov2DGi1BTfMBaeXatLxBI9gBaerbd9wDYLwzYbItLDharqqtubsr 4rNCHbGeaGqiVu0Je9sqqrpepC0xbbL8F4rqqrFfpeea0xe9Lq=Jc9 vqaqpepm0xbba9pwe9Q8fs0=yqaqpepae9pg0FirpepeKkFr0xfr=x fr=xb9adbaqaaeGaciGaaiaabeqaamaabaabaaGcqqaaaaaaaaGqSf 2yRbWdbeaaruWqHXwAIjxAaGqbaKqzGfaeaaaaaaaaa8GacaWFuaca aa@3C73@  номер агента; N MathType@MTEF@5@5@+= feaahqart1ev3aaatCvAUfeBSjuyZL2yd9gzLbvyNv2CaerbuLwBLn hiov2DGi1BTfMBaeXatLxBI9gBaebbnrfifHhDYfgasaacH8srps0l bbf9q8WrFfeuY=Hhbbf9v8qqaqFr0xc9pk0xbba9q8WqFfea0=yr0R Yxir=Jbba9q8aq0=yq=He9q8qqQ8frFve9Fve9Ff0dmeaabaqaciGa caGaaeqabaWaaeaadaaakabbaaaaaaaacXwyJTgapeqaa8aacaWGob aaaa@349C@   MathType@MTEF@5@5@+= feaahqart1ev3aqatCvAUfeBSjuyZL2yd9gzLbvyNv2CaerbuLwBLn hiov2DGi1BTfMBaeXatLxBI9gBaerbd9wDYLwzYbItLDharqqtubsr 4rNCHbGeaGqiVu0Je9sqqrpepC0xbbL8F4rqqrFfpeea0xe9Lq=Jc9 vqaqpepm0xbba9pwe9Q8fs0=yqaqpepae9pg0FirpepeKkFr0xfr=x fr=xb9adbaqaaeGaciGaaiaabeqaamaabaabaaGcqqaaaaaaaaGqSf 2yRbWdbeaaruWqHXwAIjxAaGqbaKqzGfaeaaaaaaaaa8GacaWFuaca aa@3C73@  число агентов; u i MathType@MTEF@5@5@+= feaahqart1ev3aaatCvAUfeBSjuyZL2yd9gzLbvyNv2CaerbuLwBLn hiov2DGi1BTfMBaeXatLxBI9gBaebbnrfifHhDYfgasaacH8srps0l bbf9q8WrFfeuY=Hhbbf9v8qqaqFr0xc9pk0xbba9q8WqFfea0=yr0R Yxir=Jbba9q8aq0=yq=He9q8qqQ8frFve9Fve9Ff0dmeaabaqaciGa caGaaeqabaWaaeaadaaakabbaaaaaaaacXwyJTgapeqaa8aacaWG1b WaaSbaaSqaaiaadMgaaeqaaOGaeyicI48efv3ySLgznfgDOjdaryqr 1ngBPrginfgDObcv39gaiqaacqWFDeIuaaa@4222@   MathType@MTEF@5@5@+= feaahqart1ev3aqatCvAUfeBSjuyZL2yd9gzLbvyNv2CaerbuLwBLn hiov2DGi1BTfMBaeXatLxBI9gBaerbd9wDYLwzYbItLDharqqtubsr 4rNCHbGeaGqiVu0Je9sqqrpepC0xbbL8F4rqqrFfpeea0xe9Lq=Jc9 vqaqpepm0xbba9pwe9Q8fs0=yqaqpepae9pg0FirpepeKkFr0xfr=x fr=xb9adbaqaaeGaciGaaiaabeqaamaabaabaaGcqqaaaaaaaaGqSf 2yRbWdbeaaruWqHXwAIjxAaGqbaKqzGfaeaaaaaaaaa8GacaWFuaca aa@3C73@  управление; y i MathType@MTEF@5@5@+= feaahqart1ev3aaatCvAUfeBSjuyZL2yd9gzLbvyNv2CaerbuLwBLn hiov2DGi1BTfMBaeXatLxBI9gBaebbnrfifHhDYfgasaacH8srps0l bbf9q8WrFfeuY=Hhbbf9v8qqaqFr0xc9pk0xbba9q8WqFfea0=yr0R Yxir=Jbba9q8aq0=yq=He9q8qqQ8frFve9Fve9Ff0dmeaabaqaciGa caGaaeqabaWaaeaadaaakabbaaaaaaaacXwyJTgapeqaa8aacaWG5b WaaSbaaSqaaiaadMgaaeqaaOGaeyicI48efv3ySLgznfgDOjdaryqr 1ngBPrginfgDObcv39gaiqaacqWFDeIuaaa@4226@   MathType@MTEF@5@5@+= feaahqart1ev3aqatCvAUfeBSjuyZL2yd9gzLbvyNv2CaerbuLwBLn hiov2DGi1BTfMBaeXatLxBI9gBaerbd9wDYLwzYbItLDharqqtubsr 4rNCHbGeaGqiVu0Je9sqqrpepC0xbbL8F4rqqrFfpeea0xe9Lq=Jc9 vqaqpepm0xbba9pwe9Q8fs0=yqaqpepae9pg0FirpepeKkFr0xfr=x fr=xb9adbaqaaeGaciGaaiaabeqaamaabaabaaGcqqaaaaaaaaGqSf 2yRbWdbeaaruWqHXwAIjxAaGqbaKqzGfaeaaaaaaaaa8GacaWFuaca aa@3C73@  измеряемый выход, равный среднему отклонению от соседей; N i MathType@MTEF@5@5@+= feaahqart1ev3aaatCvAUfeBSjuyZL2yd9gzLbvyNv2CaerbuLwBLn hiov2DGi1BTfMBaeXatLxBI9gBaebbnrfifHhDYfgasaacH8srps0l bbf9q8WrFfeuY=Hhbbf9v8qqaqFr0xc9pk0xbba9q8WqFfea0=yr0R Yxir=Jbba9q8aq0=yq=He9q8qqQ8frFve9Fve9Ff0dmeaabaqaciGa caGaaeqabaWaaeaadaaakabbaaaaaaaacXwyJTgapeqaa8aacaWGob WaaSbaaSqaaiaadMgaaeqaaaaa@35B6@   MathType@MTEF@5@5@+= feaahqart1ev3aqatCvAUfeBSjuyZL2yd9gzLbvyNv2CaerbuLwBLn hiov2DGi1BTfMBaeXatLxBI9gBaerbd9wDYLwzYbItLDharqqtubsr 4rNCHbGeaGqiVu0Je9sqqrpepC0xbbL8F4rqqrFfpeea0xe9Lq=Jc9 vqaqpepm0xbba9pwe9Q8fs0=yqaqpepae9pg0FirpepeKkFr0xfr=x fr=xb9adbaqaaeGaciGaaiaabeqaamaabaabaaGcqqaaaaaaaaGqSf 2yRbWdbeaaruWqHXwAIjxAaGqbaKqzGfaeaaaaaaaaa8GacaWFuaca aa@3C73@  множество соседей агента (если множество соседей пусто, то считаем, что y i 0 MathType@MTEF@5@5@+= feaahqart1ev3aaatCvAUfeBSjuyZL2yd9gzLbvyNv2CaerbuLwBLn hiov2DGi1BTfMBaeXatLxBI9gBaebbnrfifHhDYfgasaacH8srps0l bbf9q8WrFfeuY=Hhbbf9v8qqaqFr0xc9pk0xbba9q8WqFfea0=yr0R Yxir=Jbba9q8aq0=yq=He9q8qqQ8frFve9Fve9Ff0dmeaabaqaciGa caGaaeqabaWaaeaadaaakabbaaaaaaaacXwyJTgapeqaa8aacaWG5b WaaSbaaSqaaiaadMgaaeqaaOGaeyyyIORaaGimaaaa@386E@  ); A, MathType@MTEF@5@5@+= feaahqart1ev3aaatCvAUfeBSjuyZL2yd9gzLbvyNv2CaerbuLwBLn hiov2DGi1BTfMBaeXatLxBI9gBaebbnrfifHhDYfgasaacH8srps0l bbf9q8WrFfeuY=Hhbbf9v8qqaqFr0xc9pk0xbba9q8WqFfea0=yr0R Yxir=Jbba9q8aq0=yq=He9q8qqQ8frFve9Fve9Ff0dmeaabaqaciGa caGaaeqabaWaaeaadaaakabbaaaaaaaacXwyJTgapeqaa8aacaWGbb GaaGilaaaa@3545@   B, MathType@MTEF@5@5@+= feaahqart1ev3aaatCvAUfeBSjuyZL2yd9gzLbvyNv2CaerbuLwBLn hiov2DGi1BTfMBaeXatLxBI9gBaebbnrfifHhDYfgasaacH8srps0l bbf9q8WrFfeuY=Hhbbf9v8qqaqFr0xc9pk0xbba9q8WqFfea0=yr0R Yxir=Jbba9q8aq0=yq=He9q8qqQ8frFve9Fve9Ff0dmeaabaqaciGa caGaaeqabaWaaeaadaaakabbaaaaaaaacXwyJTgapeqaa8aacaWGcb GaaGilaaaa@3546@   C MathType@MTEF@5@5@+= feaahqart1ev3aaatCvAUfeBSjuyZL2yd9gzLbvyNv2CaerbuLwBLn hiov2DGi1BTfMBaeXatLxBI9gBaebbnrfifHhDYfgasaacH8srps0l bbf9q8WrFfeuY=Hhbbf9v8qqaqFr0xc9pk0xbba9q8WqFfea0=yr0R Yxir=Jbba9q8aq0=yq=He9q8qqQ8frFve9Fve9Ff0dmeaabaqaciGa caGaaeqabaWaaeaadaaakabbaaaaaaaacXwyJTgapeqaa8aacaWGdb aaaa@3491@   MathType@MTEF@5@5@+= feaahqart1ev3aqatCvAUfeBSjuyZL2yd9gzLbvyNv2CaerbuLwBLn hiov2DGi1BTfMBaeXatLxBI9gBaerbd9wDYLwzYbItLDharqqtubsr 4rNCHbGeaGqiVu0Je9sqqrpepC0xbbL8F4rqqrFfpeea0xe9Lq=Jc9 vqaqpepm0xbba9pwe9Q8fs0=yqaqpepae9pg0FirpepeKkFr0xfr=x fr=xb9adbaqaaeGaciGaaiaabeqaamaabaabaaGcqqaaaaaaaaGqSf 2yRbWdbeaaruWqHXwAIjxAaGqbaKqzGfaeaaaaaaaaa8GacaWFuaca aa@3C73@  одинаковые для всех агентов матрицы. Считаем, что множество соседей не изменяется с течением времени. В классической задаче консенсуса требуется в асимптотике достигнуть равенства состояния агентов:

                                                   xitxjt0для любых i, j.

Мультиагентую систему можно описать в виде графа G MathType@MTEF@5@5@+= feaahqart1ev3aaatCvAUfeBSjuyZL2yd9gzLbvyNv2CaerbuLwBLn hiov2DGi1BTfMBaeXatLxBI9gBaebbnrfifHhDYfgasaacH8srps0l bbf9q8WrFfeuY=Hhbbf9v8qqaqFr0xc9pk0xbba9q8WqFfea0=yr0R Yxir=Jbba9q8aq0=yq=He9q8qqQ8frFve9Fve9Ff0dmeaabaqaciGa caGaaeqabaWaaeaadaaakabbaaaaaaaacXwyJTgapeqaa8aacaWGhb aaaa@3495@ , вершинами которого являются агенты. Направленные ребра означают, что один агент получает информацию о другом, например, агенту i MathType@MTEF@5@5@+= feaahqart1ev3aaatCvAUfeBSjuyZL2yd9gzLbvyNv2CaerbuLwBLn hiov2DGi1BTfMBaeXatLxBI9gBaebbnrfifHhDYfgasaacH8srps0l bbf9q8WrFfeuY=Hhbbf9v8qqaqFr0xc9pk0xbba9q8WqFfea0=yr0R Yxir=Jbba9q8aq0=yq=He9q8qqQ8frFve9Fve9Ff0dmeaabaqaciGa caGaaeqabaWaaeaadaaakabbaaaaaaaacXwyJTgapeqaa8aacaWGPb aaaa@34B7@  из (1) соответствуют ребра {(j,i):j N i } MathType@MTEF@5@5@+= feaahqart1ev3aaatCvAUfeBSjuyZL2yd9gzLbvyNv2CaerbuLwBLn hiov2DGi1BTfMBaeXatLxBI9gBaebbnrfifHhDYfgasaacH8srps0l bbf9q8WrFfeuY=Hhbbf9v8qqaqFr0xc9pk0xbba9q8WqFfea0=yr0R Yxir=Jbba9q8aq0=yq=He9q8qqQ8frFve9Fve9Ff0dmeaabaqaciGa caGaaeqabaWaaeaadaaakabbaaaaaaaacXwyJTgapeqaa8aacaaI7b GaaGikaiaadQgacaaISaGaamyAaiaaiMcacaaI6aGaamOAaiabgIGi olaad6eadaWgaaWcbaGaamyAaaqabaGccaaI9baaaa@3EFB@ .

Другим представлением информации о связях между агентами является матрица Лапласа MathType@MTEF@5@5@+= feaahqart1ev3aqatCvAUfeBSjuyZL2yd9gzLbvyNv2CaerbuLwBLn hiov2DGi1BTfMBaeXatLxBI9gBaerbd9wDYLwzYbItLDharqqtubsr 4rNCHbGeaGqiVu0Je9sqqrpepC0xbbL8F4rqqrFfpeea0xe9Lq=Jc9 vqaqpepm0xbba9pwe9Q8fs0=yqaqpepae9pg0FirpepeKkFr0xfr=x fr=xb9adbaqaaeGaciGaaiaabeqaamaabaabaaGcqqaaaaaaaaGqSf 2yRbWdbeaaruWqHXwAIjxAaGqbaKqzGfaeaaaaaaaaa8GacaWFuaca aa@3C73@  матрица размера N×N MathType@MTEF@5@5@+= feaahqart1ev3aaatCvAUfeBSjuyZL2yd9gzLbvyNv2CaerbuLwBLn hiov2DGi1BTfMBaeXatLxBI9gBaebbnrfifHhDYfgasaacH8srps0l bbf9q8WrFfeuY=Hhbbf9v8qqaqFr0xc9pk0xbba9q8WqFfea0=yr0R Yxir=Jbba9q8aq0=yq=He9q8qqQ8frFve9Fve9Ff0dmeaabaqaciGa caGaaeqabaWaaeaadaaakabbaaaaaaaacXwyJTgapeqaa8aacaWGob Gaey41aqRaamOtaaaa@3786@  с элементами

                                        L ii = 1, | N i |>0, 0, | N i |=0, L ij = 1| N i |, j N i , 0, j N i . MathType@MTEF@5@5@+= feaahqart1ev3aaatCvAUfeBSjuyZL2yd9gzLbvyNv2CaerbuLwBLn hiov2DGi1BTfMBaeXatLxBI9gBaebbnrfifHhDYfgasaacH8srps0l bbf9q8WrFfeuY=Hhbbf9v8qqaqFr0xc9pk0xbba9q8WqFfea0=yr0R Yxir=Jbba9q8aq0=yq=He9q8qqQ8frFve9Fve9Ff0dmeaabaqaciGa caGaaeqabaWaaeaadaaakabbaaaaaaaacXwyJTgapeqaa8aacaWGmb WaaSbaaSqaaiaadMgacaWGPbaabeaakiaai2dadaGabaqaauaabeqa ciaaaeaacaaIXaGaaGilaaqaaiaaiYhacaWGobWaaSbaaSqaaiaadM gaaeqaaOGaaGiFaiaai6dacaaIWaGaaGilaaqaaiaaicdacaaISaaa baGaaGiFaiaad6eadaWgaaWcbaGaamyAaaqabaGccaaI8bGaaGypai aaicdacaaISaaaaaGaay5EaaGaaGzbVlaadYeadaWgaaWcbaGaamyA aiaadQgaaeqaaOGaaGypamaaceaabaqbaeqabmGaaaqaaiabgkHiTi aaigdacaaI8bGaamOtamaaBaaaleaacaWGPbaabeaakiaaiYhacaaI SaaabaGaamOAaiabgIGiolaad6eadaWgaaWcbaGaamyAaaqabaGcca aISaaabaGaaGimaiaaiYcaaeaacaWGQbGafyicI4SbaybacaWGobWa aSbaaSqaaiaadMgaaeqaaOGaaGOlaaqaaaqaaaaaaiaawUhaaaaa@6089@

Мы рассматриваем не меняющуюся во времени топологию агентов. Задачу консенсуса для всей системы имеет смысл рассматривать, когда в графе G MathType@MTEF@5@5@+= feaahqart1ev3aaatCvAUfeBSjuyZL2yd9gzLbvyNv2CaerbuLwBLn hiov2DGi1BTfMBaeXatLxBI9gBaebbnrfifHhDYfgasaacH8srps0l bbf9q8WrFfeuY=Hhbbf9v8qqaqFr0xc9pk0xbba9q8WqFfea0=yr0R Yxir=Jbba9q8aq0=yq=He9q8qqQ8frFve9Fve9Ff0dmeaabaqaciGa caGaaeqabaWaaeaadaaakabbaaaaaaaacXwyJTgapeqaa8aacaWGhb aaaa@3495@  существует остовное направленное дерево (для ненаправленного графа это требование означает, что граф является связным). В этом случае матрица Лапласа имеет ровно одно собственное значение, равное нулю, а у остальных собственных значений положительная вещественная часть.

1.1. Протокол с коммуникацией

В работе [6] был предложен следующий распределённый протокол управления:

x ˙ i =A x i +BK v i , v ˙ i =A v i +BK v i +F(C 1 | N i | j N i ( v i v j ) y i ), y i = 1 | N i | C j N i ( x i x j ), MathType@MTEF@5@5@+= feaahqart1ev3aaatCvAUfeBSjuyZL2yd9gzLbvyNv2CaerbuLwBLn hiov2DGi1BTfMBaeXatLxBI9gBaebbnrfifHhDYfgasaacH8srps0l bbf9q8WrFfeuY=Hhbbf9v8qqaqFr0xc9pk0xbba9q8WqFfea0=yr0R Yxir=Jbba9q8aq0=yq=He9q8qqQ8frFve9Fve9Ff0dmeaabaqaciGa caGaaeqabaWaaeaadaaakabbaaaaaaaacXwyJTgapeqaa8aaceWG4b GbaiaadaWgaaWcbaGaamyAaaqabaGccaaI9aGaamyqaiaadIhadaWg aaWcbaGaamyAaaqabaGccqGHRaWkcaWGcbGaam4saiaadAhadaWgaa WcbaGaamyAaaqabaGccaaISaGaaGzbVlqadAhagaGaamaaBaaaleaa caWGPbaabeaakiaai2dacaWGbbGaamODamaaBaaaleaacaWGPbaabe aakiabgUcaRiaadkeacaWGlbGaamODamaaBaaaleaacaWGPbaabeaa kiabgUcaRiaadAeacaaIOaGaam4qamaalaaabaGaaGymaaqaaiaaiY hacaWGobWaaSbaaSqaaiaadMgaaeqaaOGaaGiFaaaadaaeqbqabSqa aiaadQgacqGHiiIZcaWGobWaaSbaaeaacaWGPbaabeaaaeqaniabgg HiLdGccaaIOaGaamODamaaBaaaleaacaWGPbaabeaakiabgkHiTiaa dAhadaWgaaWcbaGaamOAaaqabaGccaaIPaGaeyOeI0IaamyEamaaBa aaleaacaWGPbaabeaakiaaiMcacaaISaGaaGzbVlaadMhadaWgaaWc baGaamyAaaqabaGccaaI9aWaaSaaaeaacaaIXaaabaGaaGiFaiaad6 eadaWgaaWcbaGaamyAaaqabaGccaaI8baaaiaadoeadaaeqbqabSqa aiaadQgacqGHiiIZcaWGobWaaSbaaeaacaWGPbaabeaaaeqaniabgg HiLdGccaaIOaGaamiEamaaBaaaleaacaWGPbaabeaakiabgkHiTiaa dIhadaWgaaWcbaGaamOAaaqabaGccaaIPaGaaGilaaaa@7C45@        (2)

 где u i =K v i MathType@MTEF@5@5@+= feaahqart1ev3aaatCvAUfeBSjuyZL2yd9gzLbvyNv2CaerbuLwBLn hiov2DGi1BTfMBaeXatLxBI9gBaebbnrfifHhDYfgasaacH8srps0l bbf9q8WrFfeuY=Hhbbf9v8qqaqFr0xc9pk0xbba9q8WqFfea0=yr0R Yxir=Jbba9q8aq0=yq=He9q8qqQ8frFve9Fve9Ff0dmeaabaqaciGa caGaaeqabaWaaeaadaaakabbaaaaaaaacXwyJTgapeqaa8aacaWG1b WaaSbaaSqaaiaadMgaaeqaaOGaaGypaiaadUeacaWG2bWaaSbaaSqa aiaadMgaaeqaaaaa@3993@ , v i MathType@MTEF@5@5@+= feaahqart1ev3aaatCvAUfeBSjuyZL2yd9gzLbvyNv2CaerbuLwBLn hiov2DGi1BTfMBaeXatLxBI9gBaebbnrfifHhDYfgasaacH8srps0l bbf9q8WrFfeuY=Hhbbf9v8qqaqFr0xc9pk0xbba9q8WqFfea0=yr0R Yxir=Jbba9q8aq0=yq=He9q8qqQ8frFve9Fve9Ff0dmeaabaqaciGa caGaaeqabaWaaeaadaaakabbaaaaaaaacXwyJTgapeqaa8aacaWG2b WaaSbaaSqaaiaadMgaaeqaaaaa@35DE@   MathType@MTEF@5@5@+= feaahqart1ev3aqatCvAUfeBSjuyZL2yd9gzLbvyNv2CaerbuLwBLn hiov2DGi1BTfMBaeXatLxBI9gBaerbd9wDYLwzYbItLDharqqtubsr 4rNCHbGeaGqiVu0Je9sqqrpepC0xbbL8F4rqqrFfpeea0xe9Lq=Jc9 vqaqpepm0xbba9pwe9Q8fs0=yqaqpepae9pg0FirpepeKkFr0xfr=x fr=xb9adbaqaaeGaciGaaiaabeqaamaabaabaaGcqqaaaaaaaaGqSf 2yRbWdbeaaruWqHXwAIjxAaGqbaKqzGfaeaaaaaaaaa8GacaWFuaca aa@3C73@  состояние регулятора. Расчёт v i MathType@MTEF@5@5@+= feaahqart1ev3aaatCvAUfeBSjuyZL2yd9gzLbvyNv2CaerbuLwBLn hiov2DGi1BTfMBaeXatLxBI9gBaebbnrfifHhDYfgasaacH8srps0l bbf9q8WrFfeuY=Hhbbf9v8qqaqFr0xc9pk0xbba9q8WqFfea0=yr0R Yxir=Jbba9q8aq0=yq=He9q8qqQ8frFve9Fve9Ff0dmeaabaqaciGa caGaaeqabaWaaeaadaaakabbaaaaaaaacXwyJTgapeqaa8aacaWG2b WaaSbaaSqaaiaadMgaaeqaaaaa@35DE@  зависит от v j MathType@MTEF@5@5@+= feaahqart1ev3aaatCvAUfeBSjuyZL2yd9gzLbvyNv2CaerbuLwBLn hiov2DGi1BTfMBaeXatLxBI9gBaebbnrfifHhDYfgasaacH8srps0l bbf9q8WrFfeuY=Hhbbf9v8qqaqFr0xc9pk0xbba9q8WqFfea0=yr0R Yxir=Jbba9q8aq0=yq=He9q8qqQ8frFve9Fve9Ff0dmeaabaqaciGa caGaaeqabaWaaeaadaaakabbaaaaaaaacXwyJTgapeqaa8aacaWG2b WaaSbaaSqaaiaadQgaaeqaaaaa@35DF@ , что требует передачи информации между агентами. В протоколе (2) F MathType@MTEF@5@5@+= feaahqart1ev3aaatCvAUfeBSjuyZL2yd9gzLbvyNv2CaerbuLwBLn hiov2DGi1BTfMBaeXatLxBI9gBaebbnrfifHhDYfgasaacH8srps0l bbf9q8WrFfeuY=Hhbbf9v8qqaqFr0xc9pk0xbba9q8WqFfea0=yr0R Yxir=Jbba9q8aq0=yq=He9q8qqQ8frFve9Fve9Ff0dmeaabaqaciGa caGaaeqabaWaaeaadaaakabbaaaaaaaacXwyJTgapeqaa8aacaWGgb aaaa@3494@  и K MathType@MTEF@5@5@+= feaahqart1ev3aaatCvAUfeBSjuyZL2yd9gzLbvyNv2CaerbuLwBLn hiov2DGi1BTfMBaeXatLxBI9gBaebbnrfifHhDYfgasaacH8srps0l bbf9q8WrFfeuY=Hhbbf9v8qqaqFr0xc9pk0xbba9q8WqFfea0=yr0R Yxir=Jbba9q8aq0=yq=He9q8qqQ8frFve9Fve9Ff0dmeaabaqaciGa caGaaeqabaWaaeaadaaakabbaaaaaaaacXwyJTgapeqaa8aacaWGlb aaaa@3499@   MathType@MTEF@5@5@+= feaahqart1ev3aqatCvAUfeBSjuyZL2yd9gzLbvyNv2CaerbuLwBLn hiov2DGi1BTfMBaeXatLxBI9gBaerbd9wDYLwzYbItLDharqqtubsr 4rNCHbGeaGqiVu0Je9sqqrpepC0xbbL8F4rqqrFfpeea0xe9Lq=Jc9 vqaqpepm0xbba9pwe9Q8fs0=yqaqpepae9pg0FirpepeKkFr0xfr=x fr=xb9adbaqaaeGaciGaaiaabeqaamaabaabaaGcqqaaaaaaaaGqSf 2yRbWdbeaaruWqHXwAIjxAaGqbaKqzGfaeaaaaaaaaa8GacaWFuaca aa@3C73@  это матрицы коэффициентов регулятора, одинаковые для всех агентов.

1.2. Протокол без коммуникации

В статье [7] был предложен протокол, в котором коммуникация не требуется, т.е. не требуется передача информации о внутреннем состоянии регулятора, как предусмотрено в протоколе (2). Но агентам доступна информация об относительном положении, которая содержится в y i MathType@MTEF@5@5@+= feaahqart1ev3aaatCvAUfeBSjuyZL2yd9gzLbvyNv2CaerbuLwBLn hiov2DGi1BTfMBaeXatLxBI9gBaebbnrfifHhDYfgasaacH8srps0l bbf9q8WrFfeuY=Hhbbf9v8qqaqFr0xc9pk0xbba9q8WqFfea0=yr0R Yxir=Jbba9q8aq0=yq=He9q8qqQ8frFve9Fve9Ff0dmeaabaqaciGa caGaaeqabaWaaeaadaaakabbaaaaaaaacXwyJTgapeqaa8aacaWG5b WaaSbaaSqaaiaadMgaaeqaaaaa@35E1@ :

            x ˙ i =A x i +BK z i , z ˙ i =A z i +BK z i +F(C z i y i ), y i = 1 | N i | C j N i ( x i x j ), MathType@MTEF@5@5@+= feaahqart1ev3aaatCvAUfeBSjuyZL2yd9gzLbvyNv2CaerbuLwBLn hiov2DGi1BTfMBaeXatLxBI9gBaebbnrfifHhDYfgasaacH8srps0l bbf9q8WrFfeuY=Hhbbf9v8qqaqFr0xc9pk0xbba9q8WqFfea0=yr0R Yxir=Jbba9q8aq0=yq=He9q8qqQ8frFve9Fve9Ff0dmeaabaqaciGa caGaaeqabaWaaeaadaaakabbaaaaaaaacXwyJTgapeqaa8aaceWG4b GbaiaadaWgaaWcbaGaamyAaaqabaGccaaI9aGaamyqaiaadIhadaWg aaWcbaGaamyAaaqabaGccqGHRaWkcaWGcbGaam4saiaadQhadaWgaa WcbaGaamyAaaqabaGccaaISaGaaGzbVlqadQhagaGaamaaBaaaleaa caWGPbaabeaakiaai2dacaWGbbGaamOEamaaBaaaleaacaWGPbaabe aakiabgUcaRiaadkeacaWGlbGaamOEamaaBaaaleaacaWGPbaabeaa kiabgUcaRiaadAeacaaIOaGaam4qaiaadQhadaWgaaWcbaGaamyAaa qabaGccqGHsislcaWG5bWaaSbaaSqaaiaadMgaaeqaaOGaaGykaiaa iYcacaaMf8UaamyEamaaBaaaleaacaWGPbaabeaakiaai2dadaWcaa qaaiaaigdaaeaacaaI8bGaamOtamaaBaaaleaacaWGPbaabeaakiaa iYhaaaGaam4qamaaqafabeWcbaGaamOAaiabgIGiolaad6eadaWgaa qaaiaadMgaaeqaaaqab0GaeyyeIuoakiaaiIcacaWG4bWaaSbaaSqa aiaadMgaaeqaaOGaeyOeI0IaamiEamaaBaaaleaacaWGQbaabeaaki aaiMcacaaISaaaaa@6C96@        (3)

 где z i MathType@MTEF@5@5@+= feaahqart1ev3aaatCvAUfeBSjuyZL2yd9gzLbvyNv2CaerbuLwBLn hiov2DGi1BTfMBaeXatLxBI9gBaebbnrfifHhDYfgasaacH8srps0l bbf9q8WrFfeuY=Hhbbf9v8qqaqFr0xc9pk0xbba9q8WqFfea0=yr0R Yxir=Jbba9q8aq0=yq=He9q8qqQ8frFve9Fve9Ff0dmeaabaqaciGa caGaaeqabaWaaeaadaaakabbaaaaaaaacXwyJTgapeqaa8aacaWG6b WaaSbaaSqaaiaadMgaaeqaaaaa@35E2@   MathType@MTEF@5@5@+= feaahqart1ev3aqatCvAUfeBSjuyZL2yd9gzLbvyNv2CaerbuLwBLn hiov2DGi1BTfMBaeXatLxBI9gBaerbd9wDYLwzYbItLDharqqtubsr 4rNCHbGeaGqiVu0Je9sqqrpepC0xbbL8F4rqqrFfpeea0xe9Lq=Jc9 vqaqpepm0xbba9pwe9Q8fs0=yqaqpepae9pg0FirpepeKkFr0xfr=x fr=xb9adbaqaaeGaciGaaiaabeqaamaabaabaaGcqqaaaaaaaaGqSf 2yRbWdbeaaruWqHXwAIjxAaGqbaKqzGfaeaaaaaaaaa8GacaWFuaca aa@3C73@  состояние регулятора, F MathType@MTEF@5@5@+= feaahqart1ev3aaatCvAUfeBSjuyZL2yd9gzLbvyNv2CaerbuLwBLn hiov2DGi1BTfMBaeXatLxBI9gBaebbnrfifHhDYfgasaacH8srps0l bbf9q8WrFfeuY=Hhbbf9v8qqaqFr0xc9pk0xbba9q8WqFfea0=yr0R Yxir=Jbba9q8aq0=yq=He9q8qqQ8frFve9Fve9Ff0dmeaabaqaciGa caGaaeqabaWaaeaadaaakabbaaaaaaaacXwyJTgapeqaa8aacaWGgb aaaa@3494@  и K MathType@MTEF@5@5@+= feaahqart1ev3aaatCvAUfeBSjuyZL2yd9gzLbvyNv2CaerbuLwBLn hiov2DGi1BTfMBaeXatLxBI9gBaebbnrfifHhDYfgasaacH8srps0l bbf9q8WrFfeuY=Hhbbf9v8qqaqFr0xc9pk0xbba9q8WqFfea0=yr0R Yxir=Jbba9q8aq0=yq=He9q8qqQ8frFve9Fve9Ff0dmeaabaqaciGa caGaaeqabaWaaeaadaaakabbaaaaaaaacXwyJTgapeqaa8aacaWGlb aaaa@3499@   MathType@MTEF@5@5@+= feaahqart1ev3aqatCvAUfeBSjuyZL2yd9gzLbvyNv2CaerbuLwBLn hiov2DGi1BTfMBaeXatLxBI9gBaerbd9wDYLwzYbItLDharqqtubsr 4rNCHbGeaGqiVu0Je9sqqrpepC0xbbL8F4rqqrFfpeea0xe9Lq=Jc9 vqaqpepm0xbba9pwe9Q8fs0=yqaqpepae9pg0FirpepeKkFr0xfr=x fr=xb9adbaqaaeGaciGaaiaabeqaamaabaabaaGcqqaaaaaaaaGqSf 2yRbWdbeaaruWqHXwAIjxAaGqbaKqzGfaeaaaaaaaaa8GacaWFuaca aa@3C73@  матрицы коэффициентов обратной связи. Заметим, что во втором уравнении (3), т.е. законе управления для i MathType@MTEF@5@5@+= feaahqart1ev3aaatCvAUfeBSjuyZL2yd9gzLbvyNv2CaerbuLwBLn hiov2DGi1BTfMBaeXatLxBI9gBaebbnrfifHhDYfgasaacH8srps0l bbf9q8WrFfeuY=Hhbbf9v8qqaqFr0xc9pk0xbba9q8WqFfea0=yr0R Yxir=Jbba9q8aq0=yq=He9q8qqQ8frFve9Fve9Ff0dmeaabaqaciGa caGaaeqabaWaaeaadaaakabbaaaaaaaacXwyJTgapeqaa8aacaWGPb aaaa@34B7@  -го агента, содержатся переменные только с индексом i MathType@MTEF@5@5@+= feaahqart1ev3aaatCvAUfeBSjuyZL2yd9gzLbvyNv2CaerbuLwBLn hiov2DGi1BTfMBaeXatLxBI9gBaebbnrfifHhDYfgasaacH8srps0l bbf9q8WrFfeuY=Hhbbf9v8qqaqFr0xc9pk0xbba9q8WqFfea0=yr0R Yxir=Jbba9q8aq0=yq=He9q8qqQ8frFve9Fve9Ff0dmeaabaqaciGa caGaaeqabaWaaeaadaaakabbaaaaaaaacXwyJTgapeqaa8aacaWGPb aaaa@34B7@ . Это означает, что агент не использует информацию от других агентов, поэтому коммуникация не требуется.

 Теорема 1 [7]. Пусть граф G MathType@MTEF@5@5@+= feaahqart1ev3aaatCvAUfeBSjuyZL2yd9gzLbvyNv2CaerbuLwBLn hiov2DGi1BTfMBaeXatLxBI9gBaebbnrfifHhDYfgasaacH8srps0l bbf9q8WrFfeuY=Hhbbf9v8qqaqFr0xc9pk0xbba9q8WqFfea0=yr0R Yxir=Jbba9q8aq0=yq=He9q8qqQ8frFve9Fve9Ff0dmeaabaqaciGa caGaaeqabaWaaeaadaaakabbaaaaaaaacXwyJTgapeqaa8aacaWGhb aaaa@3495@  содержит остовное направленное дерево. Протокол (3) решает задачу консенсуса тогда и только тогда, когда каждая из матриц

                                                             A BK λ i FC A+BK+FC MathType@MTEF@5@5@+= feaahqart1ev3aaatCvAUfeBSjuyZL2yd9gzLbvyNv2CaerbuLwBLn hiov2DGi1BTfMBaeXatLxBI9gBaebbnrfifHhDYfgasaacH8srps0l bbf9q8WrFfeuY=Hhbbf9v8qqaqFr0xc9pk0xbba9q8WqFfea0=yr0R Yxir=Jbba9q8aq0=yq=He9q8qqQ8frFve9Fve9Ff0dmeaabaqaciGa caGaaeqabaWaaeaadaaakabbaaaaaaaacXwyJTgapeqaa8aadaWada qaauaabeqaciaaaeaacaWGbbaabaGaamOqaiaadUeaaeaacqGHsisl cqaH7oaBdaWgaaWcbaGaamyAaaqabaGccaWGgbGaam4qaaqaaiaadg eacqGHRaWkcaWGcbGaam4saiabgUcaRiaadAeacaWGdbaaaaGaay5w aiaaw2faaaaa@4334@           (4)

 гурвицева, где λ i MathType@MTEF@5@5@+= feaahqart1ev3aaatCvAUfeBSjuyZL2yd9gzLbvyNv2CaerbuLwBLn hiov2DGi1BTfMBaeXatLxBI9gBaebbnrfifHhDYfgasaacH8srps0l bbf9q8WrFfeuY=Hhbbf9v8qqaqFr0xc9pk0xbba9q8WqFfea0=yr0R Yxir=Jbba9q8aq0=yq=He9q8qqQ8frFve9Fve9Ff0dmeaabaqaciGa caGaaeqabaWaaeaadaaakabbaaaaaaaacXwyJTgapeqaa8aacqaH7o aBdaWgaaWcbaGaamyAaaqabaaaaa@3697@ , i= 2,N ¯ MathType@MTEF@5@5@+= feaahqart1ev3aaatCvAUfeBSjuyZL2yd9gzLbvyNv2CaerbuLwBLn hiov2DGi1BTfMBaeXatLxBI9gBaebbnrfifHhDYfgasaacH8srps0l bbf9q8WrFfeuY=Hhbbf9v8qqaqFr0xc9pk0xbba9q8WqFfea0=yr0R Yxir=Jbba9q8aq0=yq=He9q8qqQ8frFve9Fve9Ff0dmeaabaqaciGa caGaaeqabaWaaeaadaaakabbaaaaaaaacXwyJTgapeqaa8aacaWGPb GaaGypamaanaaabaGaaGOmaiaaiYcacaWGobaaaaaa@37D4@ , MathType@MTEF@5@5@+= feaahqart1ev3aqatCvAUfeBSjuyZL2yd9gzLbvyNv2CaerbuLwBLn hiov2DGi1BTfMBaeXatLxBI9gBaerbd9wDYLwzYbItLDharqqtubsr 4rNCHbGeaGqiVu0Je9sqqrpepC0xbbL8F4rqqrFfpeea0xe9Lq=Jc9 vqaqpepm0xbba9pwe9Q8fs0=yqaqpepae9pg0FirpepeKkFr0xfr=x fr=xb9adbaqaaeGaciGaaiaabeqaamaabaabaaGcqqaaaaaaaaGqSf 2yRbWdbeaaruWqHXwAIjxAaGqbaKqzGfaeaaaaaaaaa8GacaWFuaca aa@3C73@  ненулевые собственные значения матрицы Лапласа, соответствущей графу G MathType@MTEF@5@5@+= feaahqart1ev3aaatCvAUfeBSjuyZL2yd9gzLbvyNv2CaerbuLwBLn hiov2DGi1BTfMBaeXatLxBI9gBaebbnrfifHhDYfgasaacH8srps0l bbf9q8WrFfeuY=Hhbbf9v8qqaqFr0xc9pk0xbba9q8WqFfea0=yr0R Yxir=Jbba9q8aq0=yq=He9q8qqQ8frFve9Fve9Ff0dmeaabaqaciGa caGaaeqabaWaaeaadaaakabbaaaaaaaacXwyJTgapeqaa8aacaWGhb aaaa@3495@

1.3. Каскадный наблюдатель

Рассмотрим систему

                                                               x ˙ =Ax+Bξ,y=Cx, MathType@MTEF@5@5@+= feaahqart1ev3aaatCvAUfeBSjuyZL2yd9gzLbvyNv2CaerbuLwBLn hiov2DGi1BTfMBaeXatLxBI9gBaebbnrfifHhDYfgasaacH8srps0l bbf9q8WrFfeuY=Hhbbf9v8qqaqFr0xc9pk0xbba9q8WqFfea0=yr0R Yxir=Jbba9q8aq0=yq=He9q8qqQ8frFve9Fve9Ff0dmeaabaqaciGa caGaaeqabaWaaeaadaaakabbaaaaaaaacXwyJTgapeqaa8aaceWG4b GbaiaacaaI9aGaamyqaiaadIhacqGHRaWkcaWGcbGaeqOVdGNaaGil aiaaywW7caWG5bGaaGypaiaadoeacaWG4bGaaGilaaaa@4149@        (5)

 где A MathType@MTEF@5@5@+= feaahqart1ev3aaatCvAUfeBSjuyZL2yd9gzLbvyNv2CaerbuLwBLn hiov2DGi1BTfMBaeXatLxBI9gBaebbnrfifHhDYfgasaacH8srps0l bbf9q8WrFfeuY=Hhbbf9v8qqaqFr0xc9pk0xbba9q8WqFfea0=yr0R Yxir=Jbba9q8aq0=yq=He9q8qqQ8frFve9Fve9Ff0dmeaabaqaciGa caGaaeqabaWaaeaadaaakabbaaaaaaaacXwyJTgapeqaa8aacaWGbb aaaa@348F@   MathType@MTEF@5@5@+= feaahqart1ev3aqatCvAUfeBSjuyZL2yd9gzLbvyNv2CaerbuLwBLn hiov2DGi1BTfMBaeXatLxBI9gBaerbd9wDYLwzYbItLDharqqtubsr 4rNCHbGeaGqiVu0Je9sqqrpepC0xbbL8F4rqqrFfpeea0xe9Lq=Jc9 vqaqpepm0xbba9pwe9Q8fs0=yqaqpepae9pg0FirpepeKkFr0xfr=x fr=xb9adbaqaaeGaciGaaiaabeqaamaabaabaaGcqqaaaaaaaaGqSf 2yRbWdbeaaruWqHXwAIjxAaGqbaKqzGfaeaaaaaaaaa8GacaWFuaca aa@3C73@  гурвицева матрица, тройка (A,B,C) MathType@MTEF@5@5@+= feaahqart1ev3aaatCvAUfeBSjuyZL2yd9gzLbvyNv2CaerbuLwBLn hiov2DGi1BTfMBaeXatLxBI9gBaebbnrfifHhDYfgasaacH8srps0l bbf9q8WrFfeuY=Hhbbf9v8qqaqFr0xc9pk0xbba9q8WqFfea0=yr0R Yxir=Jbba9q8aq0=yq=He9q8qqQ8frFve9Fve9Ff0dmeaabaqaciGa caGaaeqabaWaaeaadaaakabbaaaaaaaacXwyJTgapeqaa8aacaaIOa GaamyqaiaaiYcacaWGcbGaaGilaiaadoeacaaIPaaaaa@38EF@  в общем положении, т.е. управляемая и наблюдаемая; |ξ(t)| ξ 0 MathType@MTEF@5@5@+= feaahqart1ev3aaatCvAUfeBSjuyZL2yd9gzLbvyNv2CaerbuLwBLn hiov2DGi1BTfMBaeXatLxBI9gBaebbnrfifHhDYfgasaacH8srps0l bbf9q8WrFfeuY=Hhbbf9v8qqaqFr0xc9pk0xbba9q8WqFfea0=yr0R Yxir=Jbba9q8aq0=yq=He9q8qqQ8frFve9Fve9Ff0dmeaabaqaciGa caGaaeqabaWaaeaadaaakabbaaaaaaaacXwyJTgapeqaa8aacaaI8b GaeqOVdGNaaGikaiaadshacaaIPaGaaGiFaiabgsMiJkabe67a4naa BaaaleaacaaIWaaabeaaaaa@3E54@   MathType@MTEF@5@5@+= feaahqart1ev3aqatCvAUfeBSjuyZL2yd9gzLbvyNv2CaerbuLwBLn hiov2DGi1BTfMBaeXatLxBI9gBaerbd9wDYLwzYbItLDharqqtubsr 4rNCHbGeaGqiVu0Je9sqqrpepC0xbbL8F4rqqrFfpeea0xe9Lq=Jc9 vqaqpepm0xbba9pwe9Q8fs0=yqaqpepae9pg0FirpepeKkFr0xfr=x fr=xb9adbaqaaeGaciGaaiaabeqaamaabaabaaGcqqaaaaaaaaGqSf 2yRbWdbeaaruWqHXwAIjxAaGqbaKqzGfaeaaaaaaaaa8GacaWFuaca aa@3C73@  ограниченная помеха. Пусть тройка (A,B,C) MathType@MTEF@5@5@+= feaahqart1ev3aaatCvAUfeBSjuyZL2yd9gzLbvyNv2CaerbuLwBLn hiov2DGi1BTfMBaeXatLxBI9gBaebbnrfifHhDYfgasaacH8srps0l bbf9q8WrFfeuY=Hhbbf9v8qqaqFr0xc9pk0xbba9q8WqFfea0=yr0R Yxir=Jbba9q8aq0=yq=He9q8qqQ8frFve9Fve9Ff0dmeaabaqaciGa caGaaeqabaWaaeaadaaakabbaaaaaaaacXwyJTgapeqaa8aacaaIOa GaamyqaiaaiYcacaWGcbGaaGilaiaadoeacaaIPaaaaa@38EF@  определяет систему с устойчивой нулевой динамикой. Это означает устойчивость инвариантных нулей системы, которые определяются как значения s MathType@MTEF@5@5@+= feaahqart1ev3aaatCvAUfeBSjuyZL2yd9gzLbvyNv2CaerbuLwBLn hiov2DGi1BTfMBaeXatLxBI9gBaebbnrfifHhDYfgasaacH8srps0l bbf9q8WrFfeuY=Hhbbf9v8qqaqFr0xc9pk0xbba9q8WqFfea0=yr0R Yxir=Jbba9q8aq0=yq=He9q8qqQ8frFve9Fve9Ff0dmeaabaqaciGa caGaaeqabaWaaeaadaaakabbaaaaaaaacXwyJTgapeqaa8aacaWGZb aaaa@34C1@ , при которых понижается ранг матрицы Розенброка

                                                                 R(S)= sIA B C 0 . MathType@MTEF@5@5@+= feaahqart1ev3aaatCvAUfeBSjuyZL2yd9gzLbvyNv2CaerbuLwBLn hiov2DGi1BTfMBaeXatLxBI9gBaebbnrfifHhDYfgasaacH8srps0l bbf9q8WrFfeuY=Hhbbf9v8qqaqFr0xc9pk0xbba9q8WqFfea0=yr0R Yxir=Jbba9q8aq0=yq=He9q8qqQ8frFve9Fve9Ff0dmeaabaqaciGa caGaaeqabaWaaeaadaaakabbaaaaaaaacXwyJTgapeqaa8aacaWGsb GaaGikaiaadofacaaIPaGaaGypamaadmaabaqbaeqabiGaaaqaaiaa dohacaWGjbGaeyOeI0IaamyqaaqaaiaadkeaaeaacaWGdbaabaGaaG imaaaaaiaawUfacaGLDbaacaaMb8UaaGOlaaaa@41AA@

В работе [8] был предложен алгоритм построения каскадного наблюдателя на основе супер-скручивающего наблюдателя [10]. В [11] выведены необходимые и достаточные условия сходимости супер-скручивающего наблюдателя.

Теорема 2 [8].  Пусть A MathType@MTEF@5@5@+= feaahqart1ev3aaatCvAUfeBSjuyZL2yd9gzLbvyNv2CaerbuLwBLn hiov2DGi1BTfMBaeXatLxBI9gBaebbnrfifHhDYfgasaacH8srps0l bbf9q8WrFfeuY=Hhbbf9v8qqaqFr0xc9pk0xbba9q8WqFfea0=yr0R Yxir=Jbba9q8aq0=yq=He9q8qqQ8frFve9Fve9Ff0dmeaabaqaciGa caGaaeqabaWaaeaadaaakabbaaaaaaaacXwyJTgapeqaa8aacaWGbb aaaa@348F@   MathType@MTEF@5@5@+= feaahqart1ev3aqatCvAUfeBSjuyZL2yd9gzLbvyNv2CaerbuLwBLn hiov2DGi1BTfMBaeXatLxBI9gBaerbd9wDYLwzYbItLDharqqtubsr 4rNCHbGeaGqiVu0Je9sqqrpepC0xbbL8F4rqqrFfpeea0xe9Lq=Jc9 vqaqpepm0xbba9pwe9Q8fs0=yqaqpepae9pg0FirpepeKkFr0xfr=x fr=xb9adbaqaaeGaciGaaiaabeqaamaabaabaaGcqqaaaaaaaaGqSf 2yRbWdbeaaruWqHXwAIjxAaGqbaKqzGfaeaaaaaaaaa8GacaWFuaca aa@3C73@  устойчивая матрица, (A,B,C) MathType@MTEF@5@5@+= feaahqart1ev3aaatCvAUfeBSjuyZL2yd9gzLbvyNv2CaerbuLwBLn hiov2DGi1BTfMBaeXatLxBI9gBaebbnrfifHhDYfgasaacH8srps0l bbf9q8WrFfeuY=Hhbbf9v8qqaqFr0xc9pk0xbba9q8WqFfea0=yr0R Yxir=Jbba9q8aq0=yq=He9q8qqQ8frFve9Fve9Ff0dmeaabaqaciGa caGaaeqabaWaaeaadaaakabbaaaaaaaacXwyJTgapeqaa8aacaaIOa GaamyqaiaaiYcacaWGcbGaaGilaiaadoeacaaIPaaaaa@38EF@   MathType@MTEF@5@5@+= feaahqart1ev3aqatCvAUfeBSjuyZL2yd9gzLbvyNv2CaerbuLwBLn hiov2DGi1BTfMBaeXatLxBI9gBaerbd9wDYLwzYbItLDharqqtubsr 4rNCHbGeaGqiVu0Je9sqqrpepC0xbbL8F4rqqrFfpeea0xe9Lq=Jc9 vqaqpepm0xbba9pwe9Q8fs0=yqaqpepae9pg0FirpepeKkFr0xfr=x fr=xb9adbaqaaeGaciGaaiaabeqaamaabaabaaGcqqaaaaaaaaGqSf 2yRbWdbeaaruWqHXwAIjxAaGqbaKqzGfaeaaaaaaaaa8GacaWFuaca aa@3C73@  SISO система c устойчивой нулевой динамикой, управляемая и наблюдаемая, |ξ(t)|< ξ 0 MathType@MTEF@5@5@+= feaahqart1ev3aaatCvAUfeBSjuyZL2yd9gzLbvyNv2CaerbuLwBLn hiov2DGi1BTfMBaeXatLxBI9gBaebbnrfifHhDYfgasaacH8srps0l bbf9q8WrFfeuY=Hhbbf9v8qqaqFr0xc9pk0xbba9q8WqFfea0=yr0R Yxir=Jbba9q8aq0=yq=He9q8qqQ8frFve9Fve9Ff0dmeaabaqaciGa caGaaeqabaWaaeaadaaakabbaaaaaaaacXwyJTgapeqaa8aacaaI8b GaeqOVdGNaaGikaiaadshacaaIPaGaaGiFaiaaiYdacqaH+oaEdaWg aaWcbaGaaGimaaqabaaaaa@3D65@   MathType@MTEF@5@5@+= feaahqart1ev3aqatCvAUfeBSjuyZL2yd9gzLbvyNv2CaerbuLwBLn hiov2DGi1BTfMBaeXatLxBI9gBaerbd9wDYLwzYbItLDharqqtubsr 4rNCHbGeaGqiVu0Je9sqqrpepC0xbbL8F4rqqrFfpeea0xe9Lq=Jc9 vqaqpepm0xbba9pwe9Q8fs0=yqaqpepae9pg0FirpepeKkFr0xfr=x fr=xb9adbaqaaeGaciGaaiaabeqaamaabaabaaGcqqaaaaaaaaGqSf 2yRbWdbeaaruWqHXwAIjxAaGqbaKqzGfaeaaaaaaaaa8GacaWFuaca aa@3C73@  ограниченная неизвестная помеха. Тогда можно построить каскадный наблюдатель, чтобы ошибка оценки вектора x MathType@MTEF@5@5@+= feaahqart1ev3aaatCvAUfeBSjuyZL2yd9gzLbvyNv2CaerbuLwBLn hiov2DGi1BTfMBaeXatLxBI9gBaebbnrfifHhDYfgasaacH8srps0l bbf9q8WrFfeuY=Hhbbf9v8qqaqFr0xc9pk0xbba9q8WqFfea0=yr0R Yxir=Jbba9q8aq0=yq=He9q8qqQ8frFve9Fve9Ff0dmeaabaqaciGa caGaaeqabaWaaeaadaaakabbaaaaaaaacXwyJTgapeqaa8aacaWG4b aaaa@34C6@  стремилась к нулю. 

Для решения задачи оценивания фазового вектора система (5) приводится к нормальной форме, для которой часть подсистемы, соответствующая нулевой динамике, устойчива и может быть оценена экспоненциально точно, а оставшаяся часть порядка r MathType@MTEF@5@5@+= feaahqart1ev3aaatCvAUfeBSjuyZL2yd9gzLbvyNv2CaerbuLwBLn hiov2DGi1BTfMBaeXatLxBI9gBaebbnrfifHhDYfgasaacH8srps0l bbf9q8WrFfeuY=Hhbbf9v8qqaqFr0xc9pk0xbba9q8WqFfea0=yr0R Yxir=Jbba9q8aq0=yq=He9q8qqQ8frFve9Fve9Ff0dmeaabaqaciGa caGaaeqabaWaaeaadaaakabbaaaaaaaacXwyJTgapeqaa8aacaWGYb aaaa@34C0@  ( r MathType@MTEF@5@5@+= feaahqart1ev3aaatCvAUfeBSjuyZL2yd9gzLbvyNv2CaerbuLwBLn hiov2DGi1BTfMBaeXatLxBI9gBaebbnrfifHhDYfgasaacH8srps0l bbf9q8WrFfeuY=Hhbbf9v8qqaqFr0xc9pk0xbba9q8WqFfea0=yr0R Yxir=Jbba9q8aq0=yq=He9q8qqQ8frFve9Fve9Ff0dmeaabaqaciGa caGaaeqabaWaaeaadaaakabbaaaaaaaacXwyJTgapeqaa8aacaWGYb aaaa@34C0@   MathType@MTEF@5@5@+= feaahqart1ev3aqatCvAUfeBSjuyZL2yd9gzLbvyNv2CaerbuLwBLn hiov2DGi1BTfMBaeXatLxBI9gBaerbd9wDYLwzYbItLDharqqtubsr 4rNCHbGeaGqiVu0Je9sqqrpepC0xbbL8F4rqqrFfpeea0xe9Lq=Jc9 vqaqpepm0xbba9pwe9Q8fs0=yqaqpepae9pg0FirpepeKkFr0xfr=x fr=xb9adbaqaaeGaciGaaiaabeqaamaabaabaaGcqqaaaaaaaaGqSf 2yRbWdbeaaruWqHXwAIjxAaGqbaKqzGfaeaaaaaaaaa8GacaWFuaca aa@3C73@  относительный порядок системы) имеет каноническую форму

                       ε ˙ = A ˜ ε+ b 0 ξ, y ˜ = ε 1 , A ˜ = l 1 1 0 0 l 2 0 1 0 l r1 0 0 1 l r 0 0 , b 0 = 0 0 1 , MathType@MTEF@5@5@+= feaahqart1ev3aaatCvAUfeBSjuyZL2yd9gzLbvyNv2CaerbuLwBLn hiov2DGi1BTfMBaeXatLxBI9gBaebbnrfifHhDYfgasaacH8srps0l bbf9q8WrFfeuY=Hhbbf9v8qqaqFr0xc9pk0xbba9q8WqFfea0=yr0R Yxir=Jbba9q8aq0=yq=He9q8qqQ8frFve9Fve9Ff0dmeaabaqaciGa caGaaeqabaWaaeaadaaakabbaaaaaaaacXwyJTgapeqaa8aacuaH1o qzgaGaaiaai2daceWGbbGbaGaacqaH1oqzcqGHRaWkcaWGIbWaaSba aSqaaiaaicdaaeqaaOGaeqOVdGNaaGilaiaaywW7ceWG5bGbaGaaca aI9aGaeqyTdu2aaSbaaSqaaiaaigdaaeqaaOGaaGilaiaaywW7ceWG bbGbaGaacaaI9aWaamWaaeaafaqabeqbfaaaaaqaaiabgkHiTiaadY gadaWgaaWcbaGaaGymaaqabaaakeaacaaIXaaabaGaaGimaaqaaiab l+UimbqaaiaaicdaaeaacqGHsislcaWGSbWaaSbaaSqaaiaaikdaae qaaaGcbaGaaGimaaqaaiaaigdaaeaacqWIVlctaeaacaaIWaaabaGa eS47IWeabaaabaaabaaabaaabaGaeyOeI0IaamiBamaaBaaaleaaca WGYbGaeyOeI0IaaGymaaqabaaakeaacaaIWaaabaGaeS47IWeabaGa aGimaaqaaiaaigdaaeaacqGHsislcaWGSbWaaSbaaSqaaiaadkhaae qaaaGcbaGaaGimaaqaaiabl+UimbqaaiaaicdaaeaaaaaacaGLBbGa ayzxaaGaaGzaVlaaiYcacaaMf8UaamOyamaaBaaaleaacaaIWaaabe aakiaai2dadaWadaqaauaabeqaeeaaaaqaaiaaicdaaeaacqWIUlst aeaacaaIWaaabaGaaGymaaaaaiaawUfacaGLDbaacaaMb8UaaGilaa aa@77B5@           (6)

 для которой строится каскадный наблюдатель

ε ˜ ˙ i = l i y ˜ + ε ¯ i+1 + k i sgn( ε ¯ i ε ˜ i )| ε ¯ i ε ˜ i | 12 , ε ¯ ˙ i+1 = l i+1 y ˜ + μ i sgn( ε ¯ i ε ˜ i ),i= 1,r1 ¯ , MathType@MTEF@5@5@+= feaahqart1ev3aaatCvAUfeBSjuyZL2yd9gzLbvyNv2CaerbuLwBLn hiov2DGi1BTfMBaeXatLxBI9gBaebbnrfifHhDYfgasaacH8srps0l bbf9q8WrFfeuY=Hhbbf9v8qqaqFr0xc9pk0xbba9q8WqFfea0=yr0R Yxir=Jbba9q8aq0=yq=He9q8qqQ8frFve9Fve9Ff0dmeaabaqaciGa caGaaeqabaWaaeaadaaakabbaaaaaaaacXwyJTgapeqaa8aacuaH1o qzgaacgaGaamaaBaaaleaacaWGPbaabeaakiaai2dacqGHsislcaWG SbWaaSbaaSqaaiaadMgaaeqaaOGabmyEayaaiaGaey4kaSIafqyTdu MbaebadaWgaaWcbaGaamyAaiabgUcaRiaaigdaaeqaaOGaey4kaSIa am4AamaaBaaaleaacaWGPbaabeaakiaadohacaWGNbGaamOBaiaaiI cacuaH1oqzgaqeamaaBaaaleaacaWGPbaabeaakiabgkHiTiqbew7a LzaaiaWaaSbaaSqaaiaadMgaaeqaaOGaaGykaiaaiYhacuaH1oqzga qeamaaBaaaleaacaWGPbaabeaakiabgkHiTiqbew7aLzaaiaWaaSba aSqaaiaadMgaaeqaaOGaaGiFamaaCaaaleqabaGaaGymaiaaikdaaa GccaaISaGaaGzbVlqbew7aLzaaryaacaWaaSbaaSqaaiaadMgacqGH RaWkcaaIXaaabeaakiaai2dacqGHsislcaWGSbWaaSbaaSqaaiaadM gacqGHRaWkcaaIXaaabeaakiqadMhagaacaiabgUcaRiabeY7aTnaa BaaaleaacaWGPbaabeaakiaadohacaWGNbGaamOBaiaaiIcacuaH1o qzgaqeamaaBaaaleaacaWGPbaabeaakiabgkHiTiqbew7aLzaaiaWa aSbaaSqaaiaadMgaaeqaaOGaaGykaiaaiYcacaaMf8UaamyAaiaai2 dadaqdaaqaaiaaigdacaaISaGaamOCaiabgkHiTiaaigdaaaGaaGil aaaa@7DD4@        (7)

 где ε ¯ i (t) MathType@MTEF@5@5@+= feaahqart1ev3aaatCvAUfeBSjuyZL2yd9gzLbvyNv2CaerbuLwBLn hiov2DGi1BTfMBaeXatLxBI9gBaebbnrfifHhDYfgasaacH8srps0l bbf9q8WrFfeuY=Hhbbf9v8qqaqFr0xc9pk0xbba9q8WqFfea0=yr0R Yxir=Jbba9q8aq0=yq=He9q8qqQ8frFve9Fve9Ff0dmeaabaqaciGa caGaaeqabaWaaeaadaaakabbaaaaaaaacXwyJTgapeqaa8aacuaH1o qzgaqeamaaBaaaleaacaWGPbaabeaakiaaiIcacaWG0bGaaGykaaaa @390A@   MathType@MTEF@5@5@+= feaahqart1ev3aqatCvAUfeBSjuyZL2yd9gzLbvyNv2CaerbuLwBLn hiov2DGi1BTfMBaeXatLxBI9gBaerbd9wDYLwzYbItLDharqqtubsr 4rNCHbGeaGqiVu0Je9sqqrpepC0xbbL8F4rqqrFfpeea0xe9Lq=Jc9 vqaqpepm0xbba9pwe9Q8fs0=yqaqpepae9pg0FirpepeKkFr0xfr=x fr=xb9adbaqaaeGaciGaaiaabeqaamaabaabaaGcqqaaaaaaaaGqSf 2yRbWdbeaaruWqHXwAIjxAaGqbaKqzGfaeaaaaaaaaa8GacaWFuaca aa@3C73@  оценка сигнала ε i (t) MathType@MTEF@5@5@+= feaahqart1ev3aaatCvAUfeBSjuyZL2yd9gzLbvyNv2CaerbuLwBLn hiov2DGi1BTfMBaeXatLxBI9gBaebbnrfifHhDYfgasaacH8srps0l bbf9q8WrFfeuY=Hhbbf9v8qqaqFr0xc9pk0xbba9q8WqFfea0=yr0R Yxir=Jbba9q8aq0=yq=He9q8qqQ8frFve9Fve9Ff0dmeaabaqaciGa caGaaeqabaWaaeaadaaakabbaaaaaaaacXwyJTgapeqaa8aacqaH1o qzdaWgaaWcbaGaamyAaaqabaGccaaIOaGaamiDaiaaiMcaaaa@38F2@ , построенная на предыдущем шаге каскада; ε ¯ i+1 (t) MathType@MTEF@5@5@+= feaahqart1ev3aaatCvAUfeBSjuyZL2yd9gzLbvyNv2CaerbuLwBLn hiov2DGi1BTfMBaeXatLxBI9gBaebbnrfifHhDYfgasaacH8srps0l bbf9q8WrFfeuY=Hhbbf9v8qqaqFr0xc9pk0xbba9q8WqFfea0=yr0R Yxir=Jbba9q8aq0=yq=He9q8qqQ8frFve9Fve9Ff0dmeaabaqaciGa caGaaeqabaWaaeaadaaakabbaaaaaaaacXwyJTgapeqaa8aacuaH1o qzgaqeamaaBaaaleaacaWGPbGaey4kaSIaaGymaaqabaGccaaIOaGa amiDaiaaiMcaaaa@3AA7@   MathType@MTEF@5@5@+= feaahqart1ev3aqatCvAUfeBSjuyZL2yd9gzLbvyNv2CaerbuLwBLn hiov2DGi1BTfMBaeXatLxBI9gBaerbd9wDYLwzYbItLDharqqtubsr 4rNCHbGeaGqiVu0Je9sqqrpepC0xbbL8F4rqqrFfpeea0xe9Lq=Jc9 vqaqpepm0xbba9pwe9Q8fs0=yqaqpepae9pg0FirpepeKkFr0xfr=x fr=xb9adbaqaaeGaciGaaiaabeqaamaabaabaaGcqqaaaaaaaaGqSf 2yRbWdbeaaruWqHXwAIjxAaGqbaKqzGfaeaaaaaaaaa8GacaWFuaca aa@3C73@  оценка сигнала ε i+1 (t) MathType@MTEF@5@5@+= feaahqart1ev3aaatCvAUfeBSjuyZL2yd9gzLbvyNv2CaerbuLwBLn hiov2DGi1BTfMBaeXatLxBI9gBaebbnrfifHhDYfgasaacH8srps0l bbf9q8WrFfeuY=Hhbbf9v8qqaqFr0xc9pk0xbba9q8WqFfea0=yr0R Yxir=Jbba9q8aq0=yq=He9q8qqQ8frFve9Fve9Ff0dmeaabaqaciGa caGaaeqabaWaaeaadaaakabbaaaaaaaacXwyJTgapeqaa8aacqaH1o qzdaWgaaWcbaGaamyAaiabgUcaRiaaigdaaeqaaOGaaGikaiaadsha caaIPaaaaa@3A8F@ , вырабатываемая наблюдателем (7) на текущем шаге каскада. В качестве оценки ε ¯ 1 MathType@MTEF@5@5@+= feaahqart1ev3aaatCvAUfeBSjuyZL2yd9gzLbvyNv2CaerbuLwBLn hiov2DGi1BTfMBaeXatLxBI9gBaebbnrfifHhDYfgasaacH8srps0l bbf9q8WrFfeuY=Hhbbf9v8qqaqFr0xc9pk0xbba9q8WqFfea0=yr0R Yxir=Jbba9q8aq0=yq=He9q8qqQ8frFve9Fve9Ff0dmeaabaqaciGa caGaaeqabaWaaeaadaaakabbaaaaaaaacXwyJTgapeqaa8aacuaH1o qzgaqeamaaBaaaleaacaaIXaaabeaaaaa@366F@  используется выход y ˜ MathType@MTEF@5@5@+= feaahqart1ev3aaatCvAUfeBSjuyZL2yd9gzLbvyNv2CaerbuLwBLn hiov2DGi1BTfMBaeXatLxBI9gBaebbnrfifHhDYfgasaacH8srps0l bbf9q8WrFfeuY=Hhbbf9v8qqaqFr0xc9pk0xbba9q8WqFfea0=yr0R Yxir=Jbba9q8aq0=yq=He9q8qqQ8frFve9Fve9Ff0dmeaabaqaciGa caGaaeqabaWaaeaadaaakabbaaaaaaaacXwyJTgapeqaa8aaceWG5b GbaGaaaaa@34D6@  системы (6).

Алгоритм поиска коэффициентов k i , MathType@MTEF@5@5@+= feaahqart1ev3aaatCvAUfeBSjuyZL2yd9gzLbvyNv2CaerbuLwBLn hiov2DGi1BTfMBaeXatLxBI9gBaebbnrfifHhDYfgasaacH8srps0l bbf9q8WrFfeuY=Hhbbf9v8qqaqFr0xc9pk0xbba9q8WqFfea0=yr0R Yxir=Jbba9q8aq0=yq=He9q8qqQ8frFve9Fve9Ff0dmeaabaqaciGa caGaaeqabaWaaeaadaaakabbaaaaaaaacXwyJTgapeqaa8aacaWGRb WaaSbaaSqaaiaadMgaaeqaaOGaaGilaaaa@3693@   μ i MathType@MTEF@5@5@+= feaahqart1ev3aaatCvAUfeBSjuyZL2yd9gzLbvyNv2CaerbuLwBLn hiov2DGi1BTfMBaeXatLxBI9gBaebbnrfifHhDYfgasaacH8srps0l bbf9q8WrFfeuY=Hhbbf9v8qqaqFr0xc9pk0xbba9q8WqFfea0=yr0R Yxir=Jbba9q8aq0=yq=He9q8qqQ8frFve9Fve9Ff0dmeaabaqaciGa caGaaeqabaWaaeaadaaakabbaaaaaaaacXwyJTgapeqaa8aacqaH8o qBdaWgaaWcbaGaamyAaaqabaaaaa@3699@  описан в работе [8].

2. СРАВНЕНИЕ ПРОТОКОЛОВ

 Покажем, что протокол без коммуникации проигрывает в точности, когда на систему действуют ограниченные возмущения. Для этого рассмотрим задачу консенсуса (1), когда на агенты действуют два вида помехи MathType@MTEF@5@5@+= feaahqart1ev3aqatCvAUfeBSjuyZL2yd9gzLbvyNv2CaerbuLwBLn hiov2DGi1BTfMBaeXatLxBI9gBaerbd9wDYLwzYbItLDharqqtubsr 4rNCHbGeaGqiVu0Je9sqqrpepC0xbbL8F4rqqrFfpeea0xe9Lq=Jc9 vqaqpepm0xbba9pwe9Q8fs0=yqaqpepae9pg0FirpepeKkFr0xfr=x fr=xb9adbaqaaeGaciGaaiaabeqaamaabaabaaGcqqaaaaaaaaGqSf 2yRbWdbeaaruWqHXwAIjxAaGqbaKqzGfaeaaaaaaaaa8GacaWFuaca aa@3C73@  в управлении и в измерении:

                          x ˙ i =A x i +B u i +B ξ i , y i =C v i + ω i , v i = 1 | N i | j N i ( x i x j ), MathType@MTEF@5@5@+= feaahqart1ev3aaatCvAUfeBSjuyZL2yd9gzLbvyNv2CaerbuLwBLn hiov2DGi1BTfMBaeXatLxBI9gBaebbnrfifHhDYfgasaacH8srps0l bbf9q8WrFfeuY=Hhbbf9v8qqaqFr0xc9pk0xbba9q8WqFfea0=yr0R Yxir=Jbba9q8aq0=yq=He9q8qqQ8frFve9Fve9Ff0dmeaabaqaciGa caGaaeqabaWaaeaadaaakabbaaaaaaaacXwyJTgapeqaa8aaceWG4b GbaiaadaWgaaWcbaGaamyAaaqabaGccaaI9aGaamyqaiaadIhadaWg aaWcbaGaamyAaaqabaGccqGHRaWkcaWGcbGaamyDamaaBaaaleaaca WGPbaabeaakiabgUcaRiaadkeacqaH+oaEdaWgaaWcbaGaamyAaaqa baGccaaISaGaaGzbVlaadMhadaWgaaWcbaGaamyAaaqabaGccaaI9a Gaam4qaiaadAhadaWgaaWcbaGaamyAaaqabaGccqGHRaWkcqaHjpWD daWgaaWcbaGaamyAaaqabaGccaaISaGaaGzbVlaadAhadaWgaaWcba GaamyAaaqabaGccaaI9aWaaSaaaeaacaaIXaaabaGaaGiFaiaad6ea daWgaaWcbaGaamyAaaqabaGccaaI8baaamaaqafabeWcbaGaamOAai abgIGiolaad6eadaWgaaqaaiaadMgaaeqaaaqab0GaeyyeIuoakiaa iIcacaWG4bWaaSbaaSqaaiaadMgaaeqaaOGaeyOeI0IaamiEamaaBa aaleaacaWGQbaabeaakiaaiMcacaaISaaaaa@65A5@

                                                                ξ i ξ 0 , ω i ω 0 , MathType@MTEF@5@5@+= feaahqart1ev3aaatCvAUfeBSjuyZL2yd9gzLbvyNv2CaerbuLwBLn hiov2DGi1BTfMBaeXatLxBI9gBaebbnrfifHhDYfgasaacH8srps0l bbf9q8WrFfeuY=Hhbbf9v8qqaqFr0xc9pk0xbba9q8WqFfea0=yr0R Yxir=Jbba9q8aq0=yq=He9q8qqQ8frFve9Fve9Ff0dmeaabaqaciGa caGaaeqabaWaaeaadaaakabbaaaaaaaacXwyJTgapeqaaebbfv3ySL gzGueE0jxyaGaba8aacqWFLicucqaH+oaEdaWgaaWcbaGaamyAaaqa baGccqWFLicucqGHKjYOcqaH+oaEdaWgaaWcbaGaaGimaaqabaGcca aISaGaaGzbVlab=vIiqjabeM8a3naaBaaaleaacaWGPbaabeaakiab =vIiqjabgsMiJkabeM8a3naaBaaaleaacaaIWaaabeaakiaaiYcaaa a@4E80@

 где ξ i (t), MathType@MTEF@5@5@+= feaahqart1ev3aaatCvAUfeBSjuyZL2yd9gzLbvyNv2CaerbuLwBLn hiov2DGi1BTfMBaeXatLxBI9gBaebbnrfifHhDYfgasaacH8srps0l bbf9q8WrFfeuY=Hhbbf9v8qqaqFr0xc9pk0xbba9q8WqFfea0=yr0R Yxir=Jbba9q8aq0=yq=He9q8qqQ8frFve9Fve9Ff0dmeaabaqaciGa caGaaeqabaWaaeaadaaakabbaaaaaaaacXwyJTgapeqaa8aacqaH+o aEdaWgaaWcbaGaamyAaaqabaGccaaIOaGaamiDaiaaiMcacaaISaaa aa@39C4@   ω i (t) MathType@MTEF@5@5@+= feaahqart1ev3aaatCvAUfeBSjuyZL2yd9gzLbvyNv2CaerbuLwBLn hiov2DGi1BTfMBaeXatLxBI9gBaebbnrfifHhDYfgasaacH8srps0l bbf9q8WrFfeuY=Hhbbf9v8qqaqFr0xc9pk0xbba9q8WqFfea0=yr0R Yxir=Jbba9q8aq0=yq=He9q8qqQ8frFve9Fve9Ff0dmeaabaqaciGa caGaaeqabaWaaeaadaaakabbaaaaaaaacXwyJTgapeqaa8aacqaHjp WDdaWgaaWcbaGaamyAaaqabaGccaaIOaGaamiDaiaaiMcaaaa@3918@   MathType@MTEF@5@5@+= feaahqart1ev3aqatCvAUfeBSjuyZL2yd9gzLbvyNv2CaerbuLwBLn hiov2DGi1BTfMBaeXatLxBI9gBaerbd9wDYLwzYbItLDharqqtubsr 4rNCHbGeaGqiVu0Je9sqqrpepC0xbbL8F4rqqrFfpeea0xe9Lq=Jc9 vqaqpepm0xbba9pwe9Q8fs0=yqaqpepae9pg0FirpepeKkFr0xfr=x fr=xb9adbaqaaeGaciGaaiaabeqaamaabaabaaGcqqaaaaaaaaGqSf 2yRbWdbeaaruWqHXwAIjxAaGqbaKqzGfaeaaaaaaaaa8GacaWFuaca aa@3C73@  неизвестные кусочно-непрерывные функции с известными мажорантами, одинаковыми для всех агентов.

Векторы v i MathType@MTEF@5@5@+= feaahqart1ev3aaatCvAUfeBSjuyZL2yd9gzLbvyNv2CaerbuLwBLn hiov2DGi1BTfMBaeXatLxBI9gBaebbnrfifHhDYfgasaacH8srps0l bbf9q8WrFfeuY=Hhbbf9v8qqaqFr0xc9pk0xbba9q8WqFfea0=yr0R Yxir=Jbba9q8aq0=yq=He9q8qqQ8frFve9Fve9Ff0dmeaabaqaciGa caGaaeqabaWaaeaadaaakabbaaaaaaaacXwyJTgapeqaa8aacaWG2b WaaSbaaSqaaiaadMgaaeqaaaaa@35DE@  описывают локальную ошибку консенсуса. Будем обозначать через v, MathType@MTEF@5@5@+= feaahqart1ev3aaatCvAUfeBSjuyZL2yd9gzLbvyNv2CaerbuLwBLn hiov2DGi1BTfMBaeXatLxBI9gBaebbnrfifHhDYfgasaacH8srps0l bbf9q8WrFfeuY=Hhbbf9v8qqaqFr0xc9pk0xbba9q8WqFfea0=yr0R Yxir=Jbba9q8aq0=yq=He9q8qqQ8frFve9Fve9Ff0dmeaabaqaciGa caGaaeqabaWaaeaadaaakabbaaaaaaaacXwyJTgapeqaa8aacaWG2b GaaGilaaaa@357A@   ξ, MathType@MTEF@5@5@+= feaahqart1ev3aaatCvAUfeBSjuyZL2yd9gzLbvyNv2CaerbuLwBLn hiov2DGi1BTfMBaeXatLxBI9gBaebbnrfifHhDYfgasaacH8srps0l bbf9q8WrFfeuY=Hhbbf9v8qqaqFr0xc9pk0xbba9q8WqFfea0=yr0R Yxir=Jbba9q8aq0=yq=He9q8qqQ8frFve9Fve9Ff0dmeaabaqaciGa caGaaeqabaWaaeaadaaakabbaaaaaaaacXwyJTgapeqaa8aacqaH+o aEcaaISaaaaa@3642@   ω MathType@MTEF@5@5@+= feaahqart1ev3aaatCvAUfeBSjuyZL2yd9gzLbvyNv2CaerbuLwBLn hiov2DGi1BTfMBaeXatLxBI9gBaebbnrfifHhDYfgasaacH8srps0l bbf9q8WrFfeuY=Hhbbf9v8qqaqFr0xc9pk0xbba9q8WqFfea0=yr0R Yxir=Jbba9q8aq0=yq=He9q8qqQ8frFve9Fve9Ff0dmeaabaqaciGa caGaaeqabaWaaeaadaaakabbaaaaaaaacXwyJTgapeqaa8aacqaHjp WDaaa@3596@  конкатенацию v i , MathType@MTEF@5@5@+= feaahqart1ev3aaatCvAUfeBSjuyZL2yd9gzLbvyNv2CaerbuLwBLn hiov2DGi1BTfMBaeXatLxBI9gBaebbnrfifHhDYfgasaacH8srps0l bbf9q8WrFfeuY=Hhbbf9v8qqaqFr0xc9pk0xbba9q8WqFfea0=yr0R Yxir=Jbba9q8aq0=yq=He9q8qqQ8frFve9Fve9Ff0dmeaabaqaciGa caGaaeqabaWaaeaadaaakabbaaaaaaaacXwyJTgapeqaa8aacaWG2b WaaSbaaSqaaiaadMgaaeqaaOGaaGilaaaa@369E@   ξ i , MathType@MTEF@5@5@+= feaahqart1ev3aaatCvAUfeBSjuyZL2yd9gzLbvyNv2CaerbuLwBLn hiov2DGi1BTfMBaeXatLxBI9gBaebbnrfifHhDYfgasaacH8srps0l bbf9q8WrFfeuY=Hhbbf9v8qqaqFr0xc9pk0xbba9q8WqFfea0=yr0R Yxir=Jbba9q8aq0=yq=He9q8qqQ8frFve9Fve9Ff0dmeaabaqaciGa caGaaeqabaWaaeaadaaakabbaaaaaaaacXwyJTgapeqaa8aacqaH+o aEdaWgaaWcbaGaamyAaaqabaGccaaISaaaaa@3766@   ω i MathType@MTEF@5@5@+= feaahqart1ev3aaatCvAUfeBSjuyZL2yd9gzLbvyNv2CaerbuLwBLn hiov2DGi1BTfMBaeXatLxBI9gBaebbnrfifHhDYfgasaacH8srps0l bbf9q8WrFfeuY=Hhbbf9v8qqaqFr0xc9pk0xbba9q8WqFfea0=yr0R Yxir=Jbba9q8aq0=yq=He9q8qqQ8frFve9Fve9Ff0dmeaabaqaciGa caGaaeqabaWaaeaadaaakabbaaaaaaaacXwyJTgapeqaa8aacqaHjp WDdaWgaaWcbaGaamyAaaqabaaaaa@36B0@ :

                                  v= v 1 v N nN ,ξ= ξ 1 ξ N N ,ω= ω 1 ω N N . MathType@MTEF@5@5@+= feaahqart1ev3aaatCvAUfeBSjuyZL2yd9gzLbvyNv2CaerbuLwBLn hiov2DGi1BTfMBaeXatLxBI9gBaebbnrfifHhDYfgasaacH8srps0l bbf9q8WrFfeuY=Hhbbf9v8qqaqFr0xc9pk0xbba9q8WqFfea0=yr0R Yxir=Jbba9q8aq0=yq=He9q8qqQ8frFve9Fve9Ff0dmeaabaqaciGa caGaaeqabaWaaeaadaaakabbaaaaaaaacXwyJTgapeqaa8aacaWG2b GaaGypamaadmaabaqbaeqabmqaaaqaaiaadAhadaWgaaWcbaGaaGym aaqabaaakeaacqWIUlstaeaacaWG2bWaaSbaaSqaaiaad6eaaeqaaa aaaOGaay5waiaaw2faaiabgIGioprr1ngBPrwtHrhAYaqeguuDJXwA KbstHrhAGq1DVbaceaGae8xhHi1aaWbaaSqabeaacaWGUbGaamOtaa aakiaaiYcacaaMf8UaeqOVdGNaaGypamaadmaabaqbaeqabmqaaaqa aiabe67a4naaBaaaleaacaaIXaaabeaaaOqaaiabl6Uinbqaaiabe6 7a4naaBaaaleaacaWGobaabeaaaaaakiaawUfacaGLDbaacqGHiiIZ cqWFDeIudaahaaWcbeqaaiaad6eaaaGccaaISaGaaGzbVlabeM8a3j aai2dadaWadaqaauaabeqadeaaaeaacqaHjpWDdaWgaaWcbaGaaGym aaqabaaakeaacqWIUlstaeaacqaHjpWDdaWgaaWcbaGaamOtaaqaba aaaaGccaGLBbGaayzxaaGaeyicI4Sae8xhHi1aaWbaaSqabeaacaWG obaaaOGaaGOlaaaa@7038@

Рассмотрим две нормы H MathType@MTEF@5@5@+= feaahqart1ev3aaatCvAUfeBSjuyZL2yd9gzLbvyNv2CaerbuLwBLn hiov2DGi1BTfMBaeXatLxBI9gBaebbnrfifHhDYfgasaacH8srps0l bbf9q8WrFfeuY=Hhbbf9v8qqaqFr0xc9pk0xbba9q8WqFfea0=yr0R Yxir=Jbba9q8aq0=yq=He9q8qqQ8frFve9Fve9Ff0dmeaabaqaciGa caGaaeqabaWaaeaadaaakabbaaaaaaaacXwyJTgapeqaa8aacaWGib WaaSbaaSqaaiabg6HiLcqabaaaaa@3633@ , которые отражают зависимость ошибки консенсуса от возмущений ξ, MathType@MTEF@5@5@+= feaahqart1ev3aaatCvAUfeBSjuyZL2yd9gzLbvyNv2CaerbuLwBLn hiov2DGi1BTfMBaeXatLxBI9gBaebbnrfifHhDYfgasaacH8srps0l bbf9q8WrFfeuY=Hhbbf9v8qqaqFr0xc9pk0xbba9q8WqFfea0=yr0R Yxir=Jbba9q8aq0=yq=He9q8qqQ8frFve9Fve9Ff0dmeaabaqaciGa caGaaeqabaWaaeaadaaakabbaaaaaaaacXwyJTgapeqaa8aacqaH+o aEcaaISaaaaa@3642@   ω MathType@MTEF@5@5@+= feaahqart1ev3aaatCvAUfeBSjuyZL2yd9gzLbvyNv2CaerbuLwBLn hiov2DGi1BTfMBaeXatLxBI9gBaebbnrfifHhDYfgasaacH8srps0l bbf9q8WrFfeuY=Hhbbf9v8qqaqFr0xc9pk0xbba9q8WqFfea0=yr0R Yxir=Jbba9q8aq0=yq=He9q8qqQ8frFve9Fve9Ff0dmeaabaqaciGa caGaaeqabaWaaeaadaaakabbaaaaaaaacXwyJTgapeqaa8aacqaHjp WDaaa@3596@ : чем больше норма, тем хуже управление подавляет помеху. Для расчёта норм используют нулевые начальные условия для всех агентов:

                                                              x L 2 =( 0 x(t) 2 dt ) 12 , MathType@MTEF@5@5@+= feaahqart1ev3aaatCvAUfeBSjuyZL2yd9gzLbvyNv2CaerbuLwBLn hiov2DGi1BTfMBaeXatLxBI9gBaebbnrfifHhDYfgasaacH8srps0l bbf9q8WrFfeuY=Hhbbf9v8qqaqFr0xc9pk0xbba9q8WqFfea0=yr0R Yxir=Jbba9q8aq0=yq=He9q8qqQ8frFve9Fve9Ff0dmeaabaqaciGa caGaaeqabaWaaeaadaaakabbaaaaaaaacXwyJTgapeqaaebbfv3ySL gzGueE0jxyaGaba8aacqWFLicucaWG4bGae8xjIa1aaSbaaSqaaiaa dYeadaWgaaqaaiaaikdaaeqaaaqabaGccaaI9aGaaGikamaapehabe WcbaGaaGimaaqaaiabg6HiLcqdcqGHRiI8aOGae8xjIaLaamiEaiaa iIcacaWG0bGaaGykaiab=vIiqnaaCaaaleqabaGaaGOmaaaakiaads gacaWG0bGaaGykamaaCaaaleqabaGaaGzaVlaaigdacaaIYaaaaOGa aGilaaaa@509E@

                               H (ξv)= max ξ 0 v L 2 ξ L 2 , H (ωv)= max ω 0 v L 2 ω L 2 . MathType@MTEF@5@5@+= feaahqart1ev3aaatCvAUfeBSjuyZL2yd9gzLbvyNv2CaerbuLwBLn hiov2DGi1BTfMBaeXatLxBI9gBaebbnrfifHhDYfgasaacH8srps0l bbf9q8WrFfeuY=Hhbbf9v8qqaqFr0xc9pk0xbba9q8WqFfea0=yr0R Yxir=Jbba9q8aq0=yq=He9q8qqQ8frFve9Fve9Ff0dmeaabaqaciGa caGaaeqabaWaaeaadaaakabbaaaaaaaacXwyJTgapeqaa8aacaWGib WaaSbaaSqaaiabg6HiLcqabaGccaaIOaGaeqOVdGNaeyOKH4QaamOD aiaaiMcacaaI9aWaaybuaeqaleaacqaH+oaEcuGHHjIUgaGfaiaaic daaeqakeaaciGGTbGaaiyyaiaacIhaaaWaaSaaaeaarqqr1ngBPrgi fHhDYfgaiqaacqWFLicucaWG2bGae8xjIa1aaSbaaSqaaiaadYeada WgaaqaaiaaikdaaeqaaaqabaaakeaacqWFLicucqaH+oaEcqWFLicu daWgaaWcbaGaamitamaaBaaabaGaaGOmaaqabaaabeaaaaGccaaISa GaaGzbVlaadIeadaWgaaWcbaGaeyOhIukabeaakiaaiIcacqaHjpWD cqGHsgIRcaWG2bGaaGykaiaai2dadaGfqbqabSqaaiabeM8a3jqbgg Mi6AaawaGaaGimaaqabOqaaiGac2gacaGGHbGaaiiEaaaadaWcaaqa aiab=vIiqjaadAhacqWFLicudaWgaaWcbaGaamitamaaBaaabaGaaG OmaaqabaaabeaaaOqaaiab=vIiqjabeM8a3jab=vIiqnaaBaaaleaa caWGmbWaaSbaaeaacaaIYaaabeaaaeqaaaaakiaai6caaaa@7396@        (8)

Сравним, насколько хорошо оба протокола могут подавлять помехи ξ, MathType@MTEF@5@5@+= feaahqart1ev3aaatCvAUfeBSjuyZL2yd9gzLbvyNv2CaerbuLwBLn hiov2DGi1BTfMBaeXatLxBI9gBaebbnrfifHhDYfgasaacH8srps0l bbf9q8WrFfeuY=Hhbbf9v8qqaqFr0xc9pk0xbba9q8WqFfea0=yr0R Yxir=Jbba9q8aq0=yq=He9q8qqQ8frFve9Fve9Ff0dmeaabaqaciGa caGaaeqabaWaaeaadaaakabbaaaaaaaacXwyJTgapeqaa8aacqaH+o aEcaaISaaaaa@3642@   ω MathType@MTEF@5@5@+= feaahqart1ev3aaatCvAUfeBSjuyZL2yd9gzLbvyNv2CaerbuLwBLn hiov2DGi1BTfMBaeXatLxBI9gBaebbnrfifHhDYfgasaacH8srps0l bbf9q8WrFfeuY=Hhbbf9v8qqaqFr0xc9pk0xbba9q8WqFfea0=yr0R Yxir=Jbba9q8aq0=yq=He9q8qqQ8frFve9Fve9Ff0dmeaabaqaciGa caGaaeqabaWaaeaadaaakabbaaaaaaaacXwyJTgapeqaa8aacqaHjp WDaaa@3596@ . Для анализа будем использовать следующий численный эксперимент.

1. Зафиксируем число агентов, связи между ними и уравнение динамики.

2. Сгенерируем 50 000 разных пар матриц (K,F) MathType@MTEF@5@5@+= feaahqart1ev3aaatCvAUfeBSjuyZL2yd9gzLbvyNv2CaerbuLwBLn hiov2DGi1BTfMBaeXatLxBI9gBaebbnrfifHhDYfgasaacH8srps0l bbf9q8WrFfeuY=Hhbbf9v8qqaqFr0xc9pk0xbba9q8WqFfea0=yr0R Yxir=Jbba9q8aq0=yq=He9q8qqQ8frFve9Fve9Ff0dmeaabaqaciGa caGaaeqabaWaaeaadaaakabbaaaaaaaacXwyJTgapeqaa8aacaaIOa Gaam4saiaaiYcacaWGgbGaaGykaaaa@377F@ , удовлетворяющих теореме .

3. Для каждой пары посчитаем нормы (8) для двух протоколов.

4. Для каждого протокола выберем множество оптимальных по Парето пар (K,F) MathType@MTEF@5@5@+= feaahqart1ev3aaatCvAUfeBSjuyZL2yd9gzLbvyNv2CaerbuLwBLn hiov2DGi1BTfMBaeXatLxBI9gBaebbnrfifHhDYfgasaacH8srps0l bbf9q8WrFfeuY=Hhbbf9v8qqaqFr0xc9pk0xbba9q8WqFfea0=yr0R Yxir=Jbba9q8aq0=yq=He9q8qqQ8frFve9Fve9Ff0dmeaabaqaciGa caGaaeqabaWaaeaadaaakabbaaaaaaaacXwyJTgapeqaa8aacaaIOa Gaam4saiaaiYcacaWGgbGaaGykaaaa@377F@ . Пара оптимальна по Парето, если не существует другой пары, для которой значение обеих норм было бы меньше.

5. Сравним полученные оптимальные пары двух протоколов.

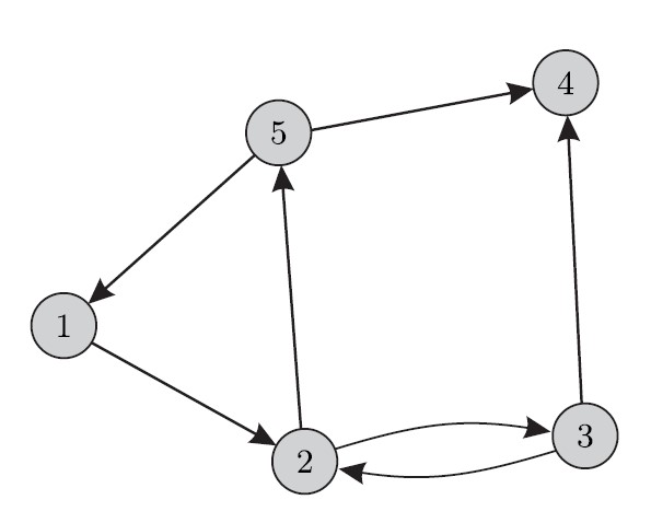
Далее опишем один набор параметров эксперимента, так как при других параметрах результаты качественно не отличались. Для эксперимента выберем систему из пяти агентов третьего порядка. Граф коммуникации агентов представлен на рис. 1. Мы выбрали матрицы A MathType@MTEF@5@5@+= feaahqart1ev3aaatCvAUfeBSjuyZL2yd9gzLbvyNv2CaerbuLwBLn hiov2DGi1BTfMBaeXatLxBI9gBaebbnrfifHhDYfgasaacH8srps0l bbf9q8WrFfeuY=Hhbbf9v8qqaqFr0xc9pk0xbba9q8WqFfea0=yr0R Yxir=Jbba9q8aq0=yq=He9q8qqQ8frFve9Fve9Ff0dmeaabaqaciGa caGaaeqabaWaaeaadaaakabbaaaaaaaacXwyJTgapeqaa8aacaWGbb aaaa@348F@ , B MathType@MTEF@5@5@+= feaahqart1ev3aaatCvAUfeBSjuyZL2yd9gzLbvyNv2CaerbuLwBLn hiov2DGi1BTfMBaeXatLxBI9gBaebbnrfifHhDYfgasaacH8srps0l bbf9q8WrFfeuY=Hhbbf9v8qqaqFr0xc9pk0xbba9q8WqFfea0=yr0R Yxir=Jbba9q8aq0=yq=He9q8qqQ8frFve9Fve9Ff0dmeaabaqaciGa caGaaeqabaWaaeaadaaakabbaaaaaaaacXwyJTgapeqaa8aacaWGcb aaaa@3490@ , C MathType@MTEF@5@5@+= feaahqart1ev3aaatCvAUfeBSjuyZL2yd9gzLbvyNv2CaerbuLwBLn hiov2DGi1BTfMBaeXatLxBI9gBaebbnrfifHhDYfgasaacH8srps0l bbf9q8WrFfeuY=Hhbbf9v8qqaqFr0xc9pk0xbba9q8WqFfea0=yr0R Yxir=Jbba9q8aq0=yq=He9q8qqQ8frFve9Fve9Ff0dmeaabaqaciGa caGaaeqabaWaaeaadaaakabbaaaaaaaacXwyJTgapeqaa8aacaWGdb aaaa@3491@  минимального порядка, для которых имеет смысл рассматривать каскадный наблюдатель:

                                           A= 0 1 0 0 0 1 0 0 0 ,B= 0 0 1 ,C= 1 0 0 . MathType@MTEF@5@5@+= feaahqart1ev3aaatCvAUfeBSjuyZL2yd9gzLbvyNv2CaerbuLwBLn hiov2DGi1BTfMBaeXatLxBI9gBaebbnrfifHhDYfgasaacH8srps0l bbf9q8WrFfeuY=Hhbbf9v8qqaqFr0xc9pk0xbba9q8WqFfea0=yr0R Yxir=Jbba9q8aq0=yq=He9q8qqQ8frFve9Fve9Ff0dmeaabaqaciGa caGaaeqabaWaaeaadaaakabbaaaaaaaacXwyJTgapeqaa8aacaWGbb GaaGypamaadmaabaqbaeqabmWaaaqaaiaaicdaaeaacaaIXaaabaGa aGimaaqaaiaaicdaaeaacaaIWaaabaGaaGymaaqaaiaaicdaaeaaca aIWaaabaGaaGimaaaaaiaawUfacaGLDbaacaaMb8UaaGilaiaaywW7 caWGcbGaaGypamaadmaabaqbaeqabmqaaaqaaiaaicdaaeaacaaIWa aabaGaaGymaaaaaiaawUfacaGLDbaacaaMb8UaaGilaiaaywW7caWG dbGaaGypamaadmaabaqbaeqabeWaaaqaaiaaigdaaeaacaaIWaaaba GaaGimaaaaaiaawUfacaGLDbaacaaMb8UaaGOlaaaa@5346@

 

Рис. 1. Граф коммуникации.

 

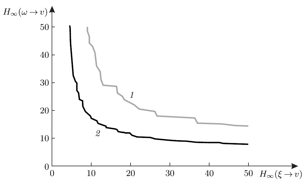
Далее мы сгенерировали 50 000 разных пар матриц (K,F) MathType@MTEF@5@5@+= feaahqart1ev3aaatCvAUfeBSjuyZL2yd9gzLbvyNv2CaerbuLwBLn hiov2DGi1BTfMBaeXatLxBI9gBaebbnrfifHhDYfgasaacH8srps0l bbf9q8WrFfeuY=Hhbbf9v8qqaqFr0xc9pk0xbba9q8WqFfea0=yr0R Yxir=Jbba9q8aq0=yq=He9q8qqQ8frFve9Fve9Ff0dmeaabaqaciGa caGaaeqabaWaaeaadaaakabbaaaaaaaacXwyJTgapeqaa8aacaaIOa Gaam4saiaaiYcacaWGgbGaaGykaaaa@377F@ , посчитали нормы (8), используя пакет ControlSystems.jl [12], затем выбрали множество оптимальных по Парето пар для каждого протокола. Каждой паре (K,F) MathType@MTEF@5@5@+= feaahqart1ev3aaatCvAUfeBSjuyZL2yd9gzLbvyNv2CaerbuLwBLn hiov2DGi1BTfMBaeXatLxBI9gBaebbnrfifHhDYfgasaacH8srps0l bbf9q8WrFfeuY=Hhbbf9v8qqaqFr0xc9pk0xbba9q8WqFfea0=yr0R Yxir=Jbba9q8aq0=yq=He9q8qqQ8frFve9Fve9Ff0dmeaabaqaciGa caGaaeqabaWaaeaadaaakabbaaaaaaaacXwyJTgapeqaa8aacaaIOa Gaam4saiaaiYcacaWGgbGaaGykaaaa@377F@  соответствует пара норм ( H (ξv), H (ωv)) MathType@MTEF@5@5@+= feaahqart1ev3aaatCvAUfeBSjuyZL2yd9gzLbvyNv2CaerbuLwBLn hiov2DGi1BTfMBaeXatLxBI9gBaebbnrfifHhDYfgasaacH8srps0l bbf9q8WrFfeuY=Hhbbf9v8qqaqFr0xc9pk0xbba9q8WqFfea0=yr0R Yxir=Jbba9q8aq0=yq=He9q8qqQ8frFve9Fve9Ff0dmeaabaqaciGa caGaaeqabaWaaeaadaaakabbaaaaaaaacXwyJTgapeqaa8aacaaIOa GaamisamaaBaaaleaacqGHEisPaeqaaOGaaGikaiabe67a4jabgkzi UkaadAhacaaIPaGaaGilaiaadIeadaWgaaWcbaGaeyOhIukabeaaki aaiIcacqaHjpWDcqGHsgIRcaWG2bGaaGykaiaaiMcaaaa@46F6@ . Оптимальные пары показаны на рис. 1. Сравнив оптимальные пары для двух протоколов, получили ожидаемый результат: протокол без коммуникации менее устойчив к возмущениям, чем протокол с коммуникацией.

 

Рис. 2. Сравнение протоколов (линии соединяют точки, соответствующие оптимальным по Парето парам K, F. Видно, что для каждой пары K, F протокола без коммуникации (1) существует пара K, F протокола с коммуникацией (2), которая лучше подавляет обе помехи.

 

Так как эксперимент численный, то нельзя с уверенностью утверждать, что протокол с коммуникацией всегда будет лучше. Однако результаты показывают, что такие системы существуют, следовательно, для них требуется улучшить протокол без коммуникации. Мы предлагаем сделать это путём добавления нелинейного наблюдателя, основанного на каскадном супер-скручивающемся наблюдателе.

3. ПЕРЕХОД К ЗАДАЧЕ НАБЛЮДЕНИЯ

В п. 2 было показано, что протокол без коммуникации менее устойчив к возмущениям, чем протокол с коммуникацией. Ниже покажем, как неизвестное управление влияет на ошибку наблюдателя и как можно построить нелинейный наблюдатель, который даст асимптотически точную оценку.

Рассмотрим ошибку наблюдателя, возникающую из-за помехи ξ MathType@MTEF@5@5@+= feaahqart1ev3aaatCvAUfeBSjuyZL2yd9gzLbvyNv2CaerbuLwBLn hiov2DGi1BTfMBaeXatLxBI9gBaebbnrfifHhDYfgasaacH8srps0l bbf9q8WrFfeuY=Hhbbf9v8qqaqFr0xc9pk0xbba9q8WqFfea0=yr0R Yxir=Jbba9q8aq0=yq=He9q8qqQ8frFve9Fve9Ff0dmeaabaqaciGa caGaaeqabaWaaeaadaaakabbaaaaaaaacXwyJTgapeqaa8aacqaH+o aEaaa@358C@  для протокола (3). Протокол (3) с добавлением помехи примет вид

x ˙ i =A x i +BK z i +B ξ i , z ˙ i =A z i +BK z i +F(C z i y i ), y i =C v i , v i = 1 | N i | j N i ( x i x j ). MathType@MTEF@5@5@+= feaahqart1ev3aaatCvAUfeBSjuyZL2yd9gzLbvyNv2CaerbuLwBLn hiov2DGi1BTfMBaeXatLxBI9gBaebbnrfifHhDYfgasaacH8srps0l bbf9q8WrFfeuY=Hhbbf9v8qqaqFr0xc9pk0xbba9q8WqFfea0=yr0R Yxir=Jbba9q8aq0=yq=He9q8qqQ8frFve9Fve9Ff0dmeaabaqaciGa caGaaeqabaWaaeaadaaakabbaaaaaaaacXwyJTgapeqaa8aaceWG4b GbaiaadaWgaaWcbaGaamyAaaqabaGccaaI9aGaamyqaiaadIhadaWg aaWcbaGaamyAaaqabaGccqGHRaWkcaWGcbGaam4saiaadQhadaWgaa WcbaGaamyAaaqabaGccqGHRaWkcaWGcbGaeqOVdG3aaSbaaSqaaiaa dMgaaeqaaOGaaGilaiaaywW7ceWG6bGbaiaadaWgaaWcbaGaamyAaa qabaGccaaI9aGaamyqaiaadQhadaWgaaWcbaGaamyAaaqabaGccqGH RaWkcaWGcbGaam4saiaadQhadaWgaaWcbaGaamyAaaqabaGccqGHRa WkcaWGgbGaaGikaiaadoeacaWG6bWaaSbaaSqaaiaadMgaaeqaaOGa eyOeI0IaamyEamaaBaaaleaacaWGPbaabeaakiaaiMcacaaISaGaaG zbVlaadMhadaWgaaWcbaGaamyAaaqabaGccaaI9aGaam4qaiaadAha daWgaaWcbaGaamyAaaqabaGccaaISaGaaGzbVlaadAhadaWgaaWcba GaamyAaaqabaGccaaI9aWaaSaaaeaacaaIXaaabaGaaGiFaiaad6ea daWgaaWcbaGaamyAaaqabaGccaaI8baaamaaqafabeWcbaGaamOAai abgIGiolaad6eadaWgaaqaaiaadMgaaeqaaaqab0GaeyyeIuoakiaa iIcacaWG4bWaaSbaaSqaaiaadMgaaeqaaOGaeyOeI0IaamiEamaaBa aaleaacaWGQbaabeaakiaaiMcacaaIUaaaaa@7871@

Будем считать z i MathType@MTEF@5@5@+= feaahqart1ev3aaatCvAUfeBSjuyZL2yd9gzLbvyNv2CaerbuLwBLn hiov2DGi1BTfMBaeXatLxBI9gBaebbnrfifHhDYfgasaacH8srps0l bbf9q8WrFfeuY=Hhbbf9v8qqaqFr0xc9pk0xbba9q8WqFfea0=yr0R Yxir=Jbba9q8aq0=yq=He9q8qqQ8frFve9Fve9Ff0dmeaabaqaciGa caGaaeqabaWaaeaadaaakabbaaaaaaaacXwyJTgapeqaa8aacaWG6b WaaSbaaSqaaiaadMgaaeqaaaaa@35E2@  оценкой для v i MathType@MTEF@5@5@+= feaahqart1ev3aaatCvAUfeBSjuyZL2yd9gzLbvyNv2CaerbuLwBLn hiov2DGi1BTfMBaeXatLxBI9gBaebbnrfifHhDYfgasaacH8srps0l bbf9q8WrFfeuY=Hhbbf9v8qqaqFr0xc9pk0xbba9q8WqFfea0=yr0R Yxir=Jbba9q8aq0=yq=He9q8qqQ8frFve9Fve9Ff0dmeaabaqaciGa caGaaeqabaWaaeaadaaakabbaaaaaaaacXwyJTgapeqaa8aacaWG2b WaaSbaaSqaaiaadMgaaeqaaaaa@35DE@ :

1mu1mu v i =A v i +BK 1 | N i | j N i ( z i z j )+B 1 | N i | j N i ( ξ i ξ j )=A v i +BK z i 1 | N i | j N i z j +B 1 | N i | j N i ( ξ i ξ j ), MathType@MTEF@5@5@+= feaahqart1ev3aaatCvAUfeBSjuyZL2yd9gzLbvyNv2CaerbuLwBLn hiov2DGi1BTfMBaeXatLxBI9gBaebbnrfifHhDYfgasaacH8srps0l bbf9q8WrFfeuY=Hhbbf9v8qqaqFr0xc9pk0xbba9q8WqFfea0=yr0R Yxir=Jbba9q8aq0=yq=He9q8qqQ8frFve9Fve9Ff0dmeaabaqaciGa caGaaeqabaWaaeaadaaakabbaaaaaaaacXwyJTgapeqaa8aacaaMi8 UaaGymaiaad2gacaWG1bGaaGymaiaad2gacaWG1bGaaGjbVlaaysW7 caWG2bWaaSbaaSqaaiaadMgaaeqaaOGaaGjbVlaai2dacaaMe8Uaam yqaiaaysW7caWG2bWaaSbaaSqaaiaadMgaaeqaaOGaaGjbVlabgUca RiaaysW7caWGcbGaaGjbVlaadUeacaaMe8+aaSaaaeaacaaIXaaaba GaaGiFaiaad6eadaWgaaWcbaGaamyAaaqabaGccaaI8baaamaaqafa beWcbaGaamOAaiaaysW7cqGHiiIZcaaMe8UaamOtamaaBaaabaGaam yAaaqabaaabeqdcqGHris5aOGaaGjbVlaaiIcacaWG6bWaaSbaaSqa aiaadMgaaeqaaOGaaGjbVlabgkHiTiaaysW7caWG6bWaaSbaaSqaai aadQgaaeqaaOGaaGykaiaaysW7cqGHRaWkcaaMe8UaamOqaiaaysW7 daWcaaqaaiaaigdaaeaacaaI8bGaamOtamaaBaaaleaacaWGPbaabe aakiaaiYhaaaWaaabuaeqaleaacaWGQbGaaGjbVlabgIGiolaaysW7 caWGobWaaSbaaeaacaWGPbaabeaaaeqaniabggHiLdGccaaMe8UaaG ikaiabe67a4naaBaaaleaacaWGPbaabeaakiaaysW7cqGHsislcaaM e8UaeqOVdG3aaSbaaSqaaiaadQgaaeqaaOGaaGykaiaaysW7caaI9a GaaGjbVlaadgeacaaMe8UaamODamaaBaaaleaacaWGPbaabeaakiaa ysW7cqGHRaWkcaaMe8UaamOqaiaaysW7caWGlbGaaGjbVlaadQhada WgaaWcbaGaamyAaaqabaGccaaMe8UaeyOeI0IaaGjbVpaalaaabaGa aGymaaqaaiaaiYhacaWGobWaaSbaaSqaaiaadMgaaeqaaOGaaGiFaa aadaaeqbqabSqaaiaadQgacaaMe8UaeyicI4SaaGjbVlaad6eadaWg aaqaaiaadMgaaeqaaaqab0GaeyyeIuoakiaaysW7caWG6bWaaSbaaS qaaiaadQgaaeqaaOGaaGjbVlabgUcaRiaaysW7caWGcbGaaGjbVpaa laaabaGaaGymaaqaaiaaiYhacaWGobWaaSbaaSqaaiaadMgaaeqaaO GaaGiFaaaadaaeqbqabSqaaiaadQgacaaMe8UaeyicI4SaaGjbVlaa d6eadaWgaaqaaiaadMgaaeqaaaqab0GaeyyeIuoakiaaysW7caaIOa GaeqOVdG3aaSbaaSqaaiaadMgaaeqaaOGaaGjbVlabgkHiTiaaysW7 cqaH+oaEdaWgaaWcbaGaamOAaaqabaGccaaIPaGaaGilaiaaysW7ca aMi8oaaa@DAAC@

                                                       z ˙ i =A z i +BK z i +F(C z i C v i ). MathType@MTEF@5@5@+= feaahqart1ev3aaatCvAUfeBSjuyZL2yd9gzLbvyNv2CaerbuLwBLn hiov2DGi1BTfMBaeXatLxBI9gBaebbnrfifHhDYfgasaacH8srps0l bbf9q8WrFfeuY=Hhbbf9v8qqaqFr0xc9pk0xbba9q8WqFfea0=yr0R Yxir=Jbba9q8aq0=yq=He9q8qqQ8frFve9Fve9Ff0dmeaabaqaciGa caGaaeqabaWaaeaadaaakabbaaaaaaaacXwyJTgapeqaa8aaceWG6b GbaiaadaWgaaWcbaGaamyAaaqabaGccaaI9aGaamyqaiaadQhadaWg aaWcbaGaamyAaaqabaGccqGHRaWkcaWGcbGaam4saiaadQhadaWgaa WcbaGaamyAaaqabaGccqGHRaWkcaWGgbGaaGikaiaadoeacaWG6bWa aSbaaSqaaiaadMgaaeqaaOGaeyOeI0Iaam4qaiaadAhadaWgaaWcba GaamyAaaqabaGccaaIPaGaaGOlaaaa@48CA@

Рассмотрим ошибку оценки e i = v i z i MathType@MTEF@5@5@+= feaahqart1ev3aaatCvAUfeBSjuyZL2yd9gzLbvyNv2CaerbuLwBLn hiov2DGi1BTfMBaeXatLxBI9gBaebbnrfifHhDYfgasaacH8srps0l bbf9q8WrFfeuY=Hhbbf9v8qqaqFr0xc9pk0xbba9q8WqFfea0=yr0R Yxir=Jbba9q8aq0=yq=He9q8qqQ8frFve9Fve9Ff0dmeaabaqaciGa caGaaeqabaWaaeaadaaakabbaaaaaaaacXwyJTgapeqaa8aacaWGLb WaaSbaaSqaaiaadMgaaeqaaOGaaGypaiaadAhadaWgaaWcbaGaamyA aaqabaGccqGHsislcaWG6bWaaSbaaSqaaiaadMgaaeqaaaaa@3BC3@ :

                                 e ˙ i =(A+FC) e i BK 1 | N i | j N i z j +B 1 | N i | j N i ( ξ i ξ j ). MathType@MTEF@5@5@+= feaahqart1ev3aaatCvAUfeBSjuyZL2yd9gzLbvyNv2CaerbuLwBLn hiov2DGi1BTfMBaeXatLxBI9gBaebbnrfifHhDYfgasaacH8srps0l bbf9q8WrFfeuY=Hhbbf9v8qqaqFr0xc9pk0xbba9q8WqFfea0=yr0R Yxir=Jbba9q8aq0=yq=He9q8qqQ8frFve9Fve9Ff0dmeaabaqaciGa caGaaeqabaWaaeaadaaakabbaaaaaaaacXwyJTgapeqaa8aaceWGLb GbaiaadaWgaaWcbaGaamyAaaqabaGccaaI9aGaaGikaiaadgeacqGH RaWkcaWGgbGaam4qaiaaiMcacaWGLbWaaSbaaSqaaiaadMgaaeqaaO GaeyOeI0IaamOqaiaadUeadaWcaaqaaiaaigdaaeaacaaI8bGaamOt amaaBaaaleaacaWGPbaabeaakiaaiYhaaaWaaabuaeqaleaacaWGQb GaeyicI4SaamOtamaaBaaabaGaamyAaaqabaaabeqdcqGHris5aOGa amOEamaaBaaaleaacaWGQbaabeaakiabgUcaRiaadkeadaWcaaqaai aaigdaaeaacaaI8bGaamOtamaaBaaaleaacaWGPbaabeaakiaaiYha aaWaaabuaeqaleaacaWGQbGaeyicI4SaamOtamaaBaaabaGaamyAaa qabaaabeqdcqGHris5aOGaaGikaiabe67a4naaBaaaleaacaWGPbaa beaakiabgkHiTiabe67a4naaBaaaleaacaWGQbaabeaakiaaiMcaca aIUaaaaa@6321@        (9)

 

Выделим два типа возмущений: внешнее возмущение ( ξ ˜ i ) MathType@MTEF@5@5@+= feaahqart1ev3aaatCvAUfeBSjuyZL2yd9gzLbvyNv2CaerbuLwBLn hiov2DGi1BTfMBaeXatLxBI9gBaebbnrfifHhDYfgasaacH8srps0l bbf9q8WrFfeuY=Hhbbf9v8qqaqFr0xc9pk0xbba9q8WqFfea0=yr0R Yxir=Jbba9q8aq0=yq=He9q8qqQ8frFve9Fve9Ff0dmeaabaqaciGa caGaaeqabaWaaeaadaaakabbaaaaaaaacXwyJTgapeqaa8aacaaIOa GafqOVdGNbaGaadaWgaaWcbaGaamyAaaqabaGccaaIPaaaaa@3824@  и неизвестное управление соседей ( δ i ) MathType@MTEF@5@5@+= feaahqart1ev3aaatCvAUfeBSjuyZL2yd9gzLbvyNv2CaerbuLwBLn hiov2DGi1BTfMBaeXatLxBI9gBaebbnrfifHhDYfgasaacH8srps0l bbf9q8WrFfeuY=Hhbbf9v8qqaqFr0xc9pk0xbba9q8WqFfea0=yr0R Yxir=Jbba9q8aq0=yq=He9q8qqQ8frFve9Fve9Ff0dmeaabaqaciGa caGaaeqabaWaaeaadaaakabbaaaaaaaacXwyJTgapeqaa8aacaaIOa GaeqiTdq2aaSbaaSqaaiaadMgaaeqaaOGaaGykaaaa@37F7@ :

             e ˙ i =(A+FC) e i +BK δ i +B ξ ˜ i , δ i = 1 | N i | j N i z j , ξ ˜ i = 1 | N i | j N i ( ξ i ξ j ). MathType@MTEF@5@5@+= feaahqart1ev3aaatCvAUfeBSjuyZL2yd9gzLbvyNv2CaerbuLwBLn hiov2DGi1BTfMBaeXatLxBI9gBaebbnrfifHhDYfgasaacH8srps0l bbf9q8WrFfeuY=Hhbbf9v8qqaqFr0xc9pk0xbba9q8WqFfea0=yr0R Yxir=Jbba9q8aq0=yq=He9q8qqQ8frFve9Fve9Ff0dmeaabaqaciGa caGaaeqabaWaaeaadaaakabbaaaaaaaacXwyJTgapeqaa8aaceWGLb GbaiaadaWgaaWcbaGaamyAaaqabaGccaaI9aGaaGikaiaadgeacqGH RaWkcaWGgbGaam4qaiaaiMcacaWGLbWaaSbaaSqaaiaadMgaaeqaaO Gaey4kaSIaamOqaiaadUeacqaH0oazdaWgaaWcbaGaamyAaaqabaGc cqGHRaWkcaWGcbGafqOVdGNbaGaadaWgaaWcbaGaamyAaaqabaGcca aISaGaaGzbVlabes7aKnaaBaaaleaacaWGPbaabeaakiaai2dacqGH sisldaWcaaqaaiaaigdaaeaacaaI8bGaamOtamaaBaaaleaacaWGPb aabeaakiaaiYhaaaWaaabuaeqaleaacaWGQbGaeyicI4SaamOtamaa BaaabaGaamyAaaqabaaabeqdcqGHris5aOGaamOEamaaBaaaleaaca WGQbaabeaakiaaiYcacaaMf8UafqOVdGNbaGaadaWgaaWcbaGaamyA aaqabaGccaaI9aWaaSaaaeaacaaIXaaabaGaaGiFaiaad6eadaWgaa WcbaGaamyAaaqabaGccaaI8baaamaaqafabeWcbaGaamOAaiabgIGi olaad6eadaWgaaqaaiaadMgaaeqaaaqab0GaeyyeIuoakiaaiIcacq aH+oaEdaWgaaWcbaGaamyAaaqabaGccqGHsislcqaH+oaEdaWgaaWc baGaamOAaaqabaGccaaIPaGaaGOlaaaa@7597@        (10)

Обозначим суммарное возмущение как f i =K δ i + ξ ˜ i MathType@MTEF@5@5@+= feaahqart1ev3aaatCvAUfeBSjuyZL2yd9gzLbvyNv2CaerbuLwBLn hiov2DGi1BTfMBaeXatLxBI9gBaebbnrfifHhDYfgasaacH8srps0l bbf9q8WrFfeuY=Hhbbf9v8qqaqFr0xc9pk0xbba9q8WqFfea0=yr0R Yxir=Jbba9q8aq0=yq=He9q8qqQ8frFve9Fve9Ff0dmeaabaqaciGa caGaaeqabaWaaeaadaaakabbaaaaaaaacXwyJTgapeqaa8aacaWGMb WaaSbaaSqaaiaadMgaaeqaaOGaaGypaiaadUeacqaH0oazdaWgaaWc baGaamyAaaqabaGccqGHRaWkcuaH+oaEgaacamaaBaaaleaacaWGPb aabeaaaaa@3E06@ . Заметим, что мы знаем C e i MathType@MTEF@5@5@+= feaahqart1ev3aaatCvAUfeBSjuyZL2yd9gzLbvyNv2CaerbuLwBLn hiov2DGi1BTfMBaeXatLxBI9gBaebbnrfifHhDYfgasaacH8srps0l bbf9q8WrFfeuY=Hhbbf9v8qqaqFr0xc9pk0xbba9q8WqFfea0=yr0R Yxir=Jbba9q8aq0=yq=He9q8qqQ8frFve9Fve9Ff0dmeaabaqaciGa caGaaeqabaWaaeaadaaakabbaaaaaaaacXwyJTgapeqaa8aacaWGdb GaamyzamaaBaaaleaacaWGPbaabeaaaaa@3695@ . Таким образом, требуется рассмотреть асимптотические свойства следующей системы обыкновенных дифференциальных уравнений:

                                                     e ˙ i =(A+FC) e i +B f i , y i e =C e i . MathType@MTEF@5@5@+= feaahqart1ev3aaatCvAUfeBSjuyZL2yd9gzLbvyNv2CaerbuLwBLn hiov2DGi1BTfMBaeXatLxBI9gBaebbnrfifHhDYfgasaacH8srps0l bbf9q8WrFfeuY=Hhbbf9v8qqaqFr0xc9pk0xbba9q8WqFfea0=yr0R Yxir=Jbba9q8aq0=yq=He9q8qqQ8frFve9Fve9Ff0dmeaabaqaciGa caGaaeqabaWaaeaadaaakabbaaaaaaaacXwyJTgapeqaa8aaceWGLb GbaiaadaWgaaWcbaGaamyAaaqabaGccaaI9aGaaGikaiaadgeacqGH RaWkcaWGgbGaam4qaiaaiMcacaWGLbWaaSbaaSqaaiaadMgaaeqaaO Gaey4kaSIaamOqaiaadAgadaWgaaWcbaGaamyAaaqabaGccaaISaGa aGzbVlaadMhadaqhaaWcbaGaamyAaaqaaiaadwgaaaGccaaI9aGaam 4qaiaadwgadaWgaaWcbaGaamyAaaqabaGccaaIUaaaaa@4AB3@      (11)

3.1. Локальный каскадный наблюдатель

Система (11) повторяет структуру системы (5) из теоремы  о каскадном наблюдателе. Предположим, что выполняются другие условия теоремы, в частности устойчивость нулевой динамики и ограниченность входа f i MathType@MTEF@5@5@+= feaahqart1ev3aaatCvAUfeBSjuyZL2yd9gzLbvyNv2CaerbuLwBLn hiov2DGi1BTfMBaeXatLxBI9gBaebbnrfifHhDYfgasaacH8srps0l bbf9q8WrFfeuY=Hhbbf9v8qqaqFr0xc9pk0xbba9q8WqFfea0=yr0R Yxir=Jbba9q8aq0=yq=He9q8qqQ8frFve9Fve9Ff0dmeaabaqaciGa caGaaeqabaWaaeaadaaakabbaaaaaaaacXwyJTgapeqaa8aacaWGMb WaaSbaaSqaaiaadMgaaeqaaaaa@35CE@ . Тогда можно построить каскадный наблюдатель типа (7), позволяющий получить асимптотически точную оценку e i MathType@MTEF@5@5@+= feaahqart1ev3aaatCvAUfeBSjuyZL2yd9gzLbvyNv2CaerbuLwBLn hiov2DGi1BTfMBaeXatLxBI9gBaebbnrfifHhDYfgasaacH8srps0l bbf9q8WrFfeuY=Hhbbf9v8qqaqFr0xc9pk0xbba9q8WqFfea0=yr0R Yxir=Jbba9q8aq0=yq=He9q8qqQ8frFve9Fve9Ff0dmeaabaqaciGa caGaaeqabaWaaeaadaaakabbaaaaaaaacXwyJTgapeqaa8aacaWGLb WaaSbaaSqaaiaadMgaaeqaaaaa@35CD@ . Обозначим эту оценку как e ^ i MathType@MTEF@5@5@+= feaahqart1ev3aaatCvAUfeBSjuyZL2yd9gzLbvyNv2CaerbuLwBLn hiov2DGi1BTfMBaeXatLxBI9gBaebbnrfifHhDYfgasaacH8srps0l bbf9q8WrFfeuY=Hhbbf9v8qqaqFr0xc9pk0xbba9q8WqFfea0=yr0R Yxir=Jbba9q8aq0=yq=He9q8qqQ8frFve9Fve9Ff0dmeaabaqaciGa caGaaeqabaWaaeaadaaakabbaaaaaaaacXwyJTgapeqaa8aaceWGLb GbaKaadaWgaaWcbaGaamyAaaqabaaaaa@35DD@ , а систему каскадных наблюдателей через оператор S σ,μ MathType@MTEF@5@5@+= feaahqart1ev3aaatCvAUfeBSjuyZL2yd9gzLbvyNv2CaerbuLwBLn hiov2DGi1BTfMBaeXatLxBI9gBaebbnrfifHhDYfgasaacH8srps0l bbf9q8WrFfeuY=Hhbbf9v8qqaqFr0xc9pk0xbba9q8WqFfea0=yr0R Yxir=Jbba9q8aq0=yq=He9q8qqQ8frFve9Fve9Ff0dmeaabaqaciGa caGaaeqabaWaaeaadaaakabbaaaaaaaacXwyJTgapeqaa8aacaWGtb WaaSbaaSqaaiabeo8aZjaaiYcacqaH8oqBaeqaaaaa@38FC@ . Тогда e ^ i MathType@MTEF@5@5@+= feaahqart1ev3aaatCvAUfeBSjuyZL2yd9gzLbvyNv2CaerbuLwBLn hiov2DGi1BTfMBaeXatLxBI9gBaebbnrfifHhDYfgasaacH8srps0l bbf9q8WrFfeuY=Hhbbf9v8qqaqFr0xc9pk0xbba9q8WqFfea0=yr0R Yxir=Jbba9q8aq0=yq=He9q8qqQ8frFve9Fve9Ff0dmeaabaqaciGa caGaaeqabaWaaeaadaaakabbaaaaaaaacXwyJTgapeqaa8aaceWGLb GbaKaadaWgaaWcbaGaamyAaaqabaaaaa@35DD@  будет результатом применения оператора S σ,μ MathType@MTEF@5@5@+= feaahqart1ev3aaatCvAUfeBSjuyZL2yd9gzLbvyNv2CaerbuLwBLn hiov2DGi1BTfMBaeXatLxBI9gBaebbnrfifHhDYfgasaacH8srps0l bbf9q8WrFfeuY=Hhbbf9v8qqaqFr0xc9pk0xbba9q8WqFfea0=yr0R Yxir=Jbba9q8aq0=yq=He9q8qqQ8frFve9Fve9Ff0dmeaabaqaciGa caGaaeqabaWaaeaadaaakabbaaaaaaaacXwyJTgapeqaa8aacaWGtb WaaSbaaSqaaiabeo8aZjaaiYcacqaH8oqBaeqaaaaa@38FC@  к известному входу C e i MathType@MTEF@5@5@+= feaahqart1ev3aaatCvAUfeBSjuyZL2yd9gzLbvyNv2CaerbuLwBLn hiov2DGi1BTfMBaeXatLxBI9gBaebbnrfifHhDYfgasaacH8srps0l bbf9q8WrFfeuY=Hhbbf9v8qqaqFr0xc9pk0xbba9q8WqFfea0=yr0R Yxir=Jbba9q8aq0=yq=He9q8qqQ8frFve9Fve9Ff0dmeaabaqaciGa caGaaeqabaWaaeaadaaakabbaaaaaaaacXwyJTgapeqaa8aacaWGdb GaamyzamaaBaaaleaacaWGPbaabeaaaaa@3695@ :

                                                                       e ^ i = S σ,μ (C e i ), MathType@MTEF@5@5@+= feaahqart1ev3aaatCvAUfeBSjuyZL2yd9gzLbvyNv2CaerbuLwBLn hiov2DGi1BTfMBaeXatLxBI9gBaebbnrfifHhDYfgasaacH8srps0l bbf9q8WrFfeuY=Hhbbf9v8qqaqFr0xc9pk0xbba9q8WqFfea0=yr0R Yxir=Jbba9q8aq0=yq=He9q8qqQ8frFve9Fve9Ff0dmeaabaqaciGa caGaaeqabaWaaeaadaaakabbaaaaaaaacXwyJTgapeqaa8aaceWGLb GbaKaadaWgaaWcbaGaamyAaaqabaGccaaI9aGaam4uamaaBaaaleaa cqaHdpWCcaaISaGaeqiVd0gabeaakiaaiIcacaWGdbGaamyzamaaBa aaleaacaWGPbaabeaakiaaiMcacaaISaaaaa@40DC@

 где σ + n1 MathType@MTEF@5@5@+= feaahqart1ev3aaatCvAUfeBSjuyZL2yd9gzLbvyNv2CaerbuLwBLn hiov2DGi1BTfMBaeXatLxBI9gBaebbnrfifHhDYfgasaacH8srps0l bbf9q8WrFfeuY=Hhbbf9v8qqaqFr0xc9pk0xbba9q8WqFfea0=yr0R Yxir=Jbba9q8aq0=yq=He9q8qqQ8frFve9Fve9Ff0dmeaabaqaciGa caGaaeqabaWaaeaadaaakabbaaaaaaaacXwyJTgapeqaa8aacqaHdp WCcqGHiiIZtuuDJXwAK1uy0HMmaeHbfv3ySLgzG0uy0HgiuD3BaGab aiab=1risnaaDaaaleaacqGHRaWkaeaacaWGUbGaeyOeI0IaaGymaa aaaaa@4571@ , μ + n1 MathType@MTEF@5@5@+= feaahqart1ev3aaatCvAUfeBSjuyZL2yd9gzLbvyNv2CaerbuLwBLn hiov2DGi1BTfMBaeXatLxBI9gBaebbnrfifHhDYfgasaacH8srps0l bbf9q8WrFfeuY=Hhbbf9v8qqaqFr0xc9pk0xbba9q8WqFfea0=yr0R Yxir=Jbba9q8aq0=yq=He9q8qqQ8frFve9Fve9Ff0dmeaabaqaciGa caGaaeqabaWaaeaadaaakabbaaaaaaaacXwyJTgapeqaa8aacqaH8o qBcqGHiiIZtuuDJXwAK1uy0HMmaeHbfv3ySLgzG0uy0HgiuD3BaGab aiab=1risnaaDaaaleaacqGHRaWkaeaacaWGUbGaeyOeI0IaaGymaa aaaaa@4564@   MathType@MTEF@5@5@+= feaahqart1ev3aqatCvAUfeBSjuyZL2yd9gzLbvyNv2CaerbuLwBLn hiov2DGi1BTfMBaeXatLxBI9gBaerbd9wDYLwzYbItLDharqqtubsr 4rNCHbGeaGqiVu0Je9sqqrpepC0xbbL8F4rqqrFfpeea0xe9Lq=Jc9 vqaqpepm0xbba9pwe9Q8fs0=yqaqpepae9pg0FirpepeKkFr0xfr=x fr=xb9adbaqaaeGaciGaaiaabeqaamaabaabaaGcqqaaaaaaaaGqSf 2yRbWdbeaaruWqHXwAIjxAaGqbaKqzGfaeaaaaaaaaa8GacaWFuaca aa@3C73@  векторы коэффициентов каскадного наблюдателя, одинаковые для всех агентов. Оператор S σ,μ MathType@MTEF@5@5@+= feaahqart1ev3aaatCvAUfeBSjuyZL2yd9gzLbvyNv2CaerbuLwBLn hiov2DGi1BTfMBaeXatLxBI9gBaebbnrfifHhDYfgasaacH8srps0l bbf9q8WrFfeuY=Hhbbf9v8qqaqFr0xc9pk0xbba9q8WqFfea0=yr0R Yxir=Jbba9q8aq0=yq=He9q8qqQ8frFve9Fve9Ff0dmeaabaqaciGa caGaaeqabaWaaeaadaaakabbaaaaaaaacXwyJTgapeqaa8aacaWGtb WaaSbaaSqaaiabeo8aZjaaiYcacqaH8oqBaeqaaaaa@38FC@  состоит из n1 MathType@MTEF@5@5@+= feaahqart1ev3aaatCvAUfeBSjuyZL2yd9gzLbvyNv2CaerbuLwBLn hiov2DGi1BTfMBaeXatLxBI9gBaebbnrfifHhDYfgasaacH8srps0l bbf9q8WrFfeuY=Hhbbf9v8qqaqFr0xc9pk0xbba9q8WqFfea0=yr0R Yxir=Jbba9q8aq0=yq=He9q8qqQ8frFve9Fve9Ff0dmeaabaqaciGa caGaaeqabaWaaeaadaaakabbaaaaaaaacXwyJTgapeqaa8aacaWGUb GaeyOeI0IaaGymaaaa@3664@  систем (7) второго порядка, а также (если относительный порядок системы r<n MathType@MTEF@5@5@+= feaahqart1ev3aaatCvAUfeBSjuyZL2yd9gzLbvyNv2CaerbuLwBLn hiov2DGi1BTfMBaeXatLxBI9gBaebbnrfifHhDYfgasaacH8srps0l bbf9q8WrFfeuY=Hhbbf9v8qqaqFr0xc9pk0xbba9q8WqFfea0=yr0R Yxir=Jbba9q8aq0=yq=He9q8qqQ8frFve9Fve9Ff0dmeaabaqaciGa caGaaeqabaWaaeaadaaakabbaaaaaaaacXwyJTgapeqaa8aacaWGYb GaaGipaiaad6gaaaa@3679@  ) из наблюдателя для нулевой динамики порядка (nr) MathType@MTEF@5@5@+= feaahqart1ev3aaatCvAUfeBSjuyZL2yd9gzLbvyNv2CaerbuLwBLn hiov2DGi1BTfMBaeXatLxBI9gBaebbnrfifHhDYfgasaacH8srps0l bbf9q8WrFfeuY=Hhbbf9v8qqaqFr0xc9pk0xbba9q8WqFfea0=yr0R Yxir=Jbba9q8aq0=yq=He9q8qqQ8frFve9Fve9Ff0dmeaabaqaciGa caGaaeqabaWaaeaadaaakabbaaaaaaaacXwyJTgapeqaa8aacaaIOa GaamOBaiabgkHiTiaadkhacaaIPaaaaa@3805@ .

3.2. Теорема о достаточных условиях

Рассмотрим семейство систем достижения консенсуса с протоколом, при котором агенты не обмениваются информацией. Докажем теорему о достаточных условиях, когда можно построить локальный каскадный наблюдатель S σ,μ MathType@MTEF@5@5@+= feaahqart1ev3aaatCvAUfeBSjuyZL2yd9gzLbvyNv2CaerbuLwBLn hiov2DGi1BTfMBaeXatLxBI9gBaebbnrfifHhDYfgasaacH8srps0l bbf9q8WrFfeuY=Hhbbf9v8qqaqFr0xc9pk0xbba9q8WqFfea0=yr0R Yxir=Jbba9q8aq0=yq=He9q8qqQ8frFve9Fve9Ff0dmeaabaqaciGa caGaaeqabaWaaeaadaaakabbaaaaaaaacXwyJTgapeqaa8aacaWGtb WaaSbaaSqaaiabeo8aZjaaiYcacqaH8oqBaeqaaaaa@38FC@ , чтобы оценить разницу между линейным наблюдателем z i MathType@MTEF@5@5@+= feaahqart1ev3aaatCvAUfeBSjuyZL2yd9gzLbvyNv2CaerbuLwBLn hiov2DGi1BTfMBaeXatLxBI9gBaebbnrfifHhDYfgasaacH8srps0l bbf9q8WrFfeuY=Hhbbf9v8qqaqFr0xc9pk0xbba9q8WqFfea0=yr0R Yxir=Jbba9q8aq0=yq=He9q8qqQ8frFve9Fve9Ff0dmeaabaqaciGa caGaaeqabaWaaeaadaaakabbaaaaaaaacXwyJTgapeqaa8aacaWG6b WaaSbaaSqaaiaadMgaaeqaaaaa@35E2@  и средним отклонением от соседей v i MathType@MTEF@5@5@+= feaahqart1ev3aaatCvAUfeBSjuyZL2yd9gzLbvyNv2CaerbuLwBLn hiov2DGi1BTfMBaeXatLxBI9gBaebbnrfifHhDYfgasaacH8srps0l bbf9q8WrFfeuY=Hhbbf9v8qqaqFr0xc9pk0xbba9q8WqFfea0=yr0R Yxir=Jbba9q8aq0=yq=He9q8qqQ8frFve9Fve9Ff0dmeaabaqaciGa caGaaeqabaWaaeaadaaakabbaaaaaaaacXwyJTgapeqaa8aacaWG2b WaaSbaaSqaaiaadMgaaeqaaaaa@35DE@ :

                      x ˙ i =A x i +BK z i +B ξ i , z ˙ i =A z i +BK z i +F(C z i y i ), y i =C v i , MathType@MTEF@5@5@+= feaahqart1ev3aaatCvAUfeBSjuyZL2yd9gzLbvyNv2CaerbuLwBLn hiov2DGi1BTfMBaeXatLxBI9gBaebbnrfifHhDYfgasaacH8srps0l bbf9q8WrFfeuY=Hhbbf9v8qqaqFr0xc9pk0xbba9q8WqFfea0=yr0R Yxir=Jbba9q8aq0=yq=He9q8qqQ8frFve9Fve9Ff0dmeaabaqaciGa caGaaeqabaWaaeaadaaakabbaaaaaaaacXwyJTgapeqaa8aaceWG4b GbaiaadaWgaaWcbaGaamyAaaqabaGccaaI9aGaamyqaiaadIhadaWg aaWcbaGaamyAaaqabaGccqGHRaWkcaWGcbGaam4saiaadQhadaWgaa WcbaGaamyAaaqabaGccqGHRaWkcaWGcbGaeqOVdG3aaSbaaSqaaiaa dMgaaeqaaOGaaGilaiaaywW7ceWG6bGbaiaadaWgaaWcbaGaamyAaa qabaGccaaI9aGaamyqaiaadQhadaWgaaWcbaGaamyAaaqabaGccqGH RaWkcaWGcbGaam4saiaadQhadaWgaaWcbaGaamyAaaqabaGccqGHRa WkcaWGgbGaaGikaiaadoeacaWG6bWaaSbaaSqaaiaadMgaaeqaaOGa eyOeI0IaamyEamaaBaaaleaacaWGPbaabeaakiaaiMcacaaISaGaaG zbVlaadMhadaWgaaWcbaGaamyAaaqabaGccaaI9aGaam4qaiaadAha daWgaaWcbaGaamyAaaqabaGccaaISaaaaa@615F@

                                   v i = 1 | N i | j N i ( x i x j ), e i = v i z i , e ^ i = S σ,μ (C e i ). MathType@MTEF@5@5@+= feaahqart1ev3aaatCvAUfeBSjuyZL2yd9gzLbvyNv2CaerbuLwBLn hiov2DGi1BTfMBaeXatLxBI9gBaebbnrfifHhDYfgasaacH8srps0l bbf9q8WrFfeuY=Hhbbf9v8qqaqFr0xc9pk0xbba9q8WqFfea0=yr0R Yxir=Jbba9q8aq0=yq=He9q8qqQ8frFve9Fve9Ff0dmeaabaqaciGa caGaaeqabaWaaeaadaaakabbaaaaaaaacXwyJTgapeqaa8aacaWG2b WaaSbaaSqaaiaadMgaaeqaaOGaaGypamaalaaabaGaaGymaaqaaiaa iYhacaWGobWaaSbaaSqaaiaadMgaaeqaaOGaaGiFaaaadaaeqbqabS qaaiaadQgacqGHiiIZcaWGobWaaSbaaeaacaWGPbaabeaaaeqaniab ggHiLdGccaaIOaGaamiEamaaBaaaleaacaWGPbaabeaakiabgkHiTi aadIhadaWgaaWcbaGaamOAaaqabaGccaaIPaGaaGilaiaaywW7caWG LbWaaSbaaSqaaiaadMgaaeqaaOGaaGypaiaadAhadaWgaaWcbaGaam yAaaqabaGccqGHsislcaWG6bWaaSbaaSqaaiaadMgaaeqaaOGaaGil aiaaywW7ceWGLbGbaKaadaWgaaWcbaGaamyAaaqabaGccaaI9aGaam 4uamaaBaaaleaacqaHdpWCcaaISaGaeqiVd0gabeaakiaaiIcacaWG dbGaamyzamaaBaaaleaacaWGPbaabeaakiaaiMcacaaIUaaaaa@6236@      (12)

 Теорема 3. Пусть для системы (12) выполнены предположения:

1) для матриц F MathType@MTEF@5@5@+= feaahqart1ev3aaatCvAUfeBSjuyZL2yd9gzLbvyNv2CaerbuLwBLn hiov2DGi1BTfMBaeXatLxBI9gBaebbnrfifHhDYfgasaacH8srps0l bbf9q8WrFfeuY=Hhbbf9v8qqaqFr0xc9pk0xbba9q8WqFfea0=yr0R Yxir=Jbba9q8aq0=yq=He9q8qqQ8frFve9Fve9Ff0dmeaabaqaciGa caGaaeqabaWaaeaadaaakabbaaaaaaaacXwyJTgapeqaa8aacaWGgb aaaa@3494@ , K MathType@MTEF@5@5@+= feaahqart1ev3aaatCvAUfeBSjuyZL2yd9gzLbvyNv2CaerbuLwBLn hiov2DGi1BTfMBaeXatLxBI9gBaebbnrfifHhDYfgasaacH8srps0l bbf9q8WrFfeuY=Hhbbf9v8qqaqFr0xc9pk0xbba9q8WqFfea0=yr0R Yxir=Jbba9q8aq0=yq=He9q8qqQ8frFve9Fve9Ff0dmeaabaqaciGa caGaaeqabaWaaeaadaaakabbaaaaaaaacXwyJTgapeqaa8aacaWGlb aaaa@3499@  выполнено условие (4);

2) ξ i MathType@MTEF@5@5@+= feaahqart1ev3aaatCvAUfeBSjuyZL2yd9gzLbvyNv2CaerbuLwBLn hiov2DGi1BTfMBaeXatLxBI9gBaebbnrfifHhDYfgasaacH8srps0l bbf9q8WrFfeuY=Hhbbf9v8qqaqFr0xc9pk0xbba9q8WqFfea0=yr0R Yxir=Jbba9q8aq0=yq=He9q8qqQ8frFve9Fve9Ff0dmeaabaqaciGa caGaaeqabaWaaeaadaaakabbaaaaaaaacXwyJTgapeqaa8aacqaH+o aEdaWgaaWcbaGaamyAaaqabaaaaa@36A6@   MathType@MTEF@5@5@+= feaahqart1ev3aqatCvAUfeBSjuyZL2yd9gzLbvyNv2CaerbuLwBLn hiov2DGi1BTfMBaeXatLxBI9gBaerbd9wDYLwzYbItLDharqqtubsr 4rNCHbGeaGqiVu0Je9sqqrpepC0xbbL8F4rqqrFfpeea0xe9Lq=Jc9 vqaqpepm0xbba9pwe9Q8fs0=yqaqpepae9pg0FirpepeKkFr0xfr=x fr=xb9adbaqaaeGaciGaaiaabeqaamaabaabaaGcqqaaaaaaaaGqSf 2yRbWdbeaaruWqHXwAIjxAaGqbaKqzGfaeaaaaaaaaa8GacaWFuaca aa@3C73@  ограниченные помехи с общей для всех агентов мажорантой;

3) матрица A+BK+FC MathType@MTEF@5@5@+= feaahqart1ev3aaatCvAUfeBSjuyZL2yd9gzLbvyNv2CaerbuLwBLn hiov2DGi1BTfMBaeXatLxBI9gBaebbnrfifHhDYfgasaacH8srps0l bbf9q8WrFfeuY=Hhbbf9v8qqaqFr0xc9pk0xbba9q8WqFfea0=yr0R Yxir=Jbba9q8aq0=yq=He9q8qqQ8frFve9Fve9Ff0dmeaabaqaciGa caGaaeqabaWaaeaadaaakabbaaaaaaaacXwyJTgapeqaa8aacaWGbb Gaey4kaSIaamOqaiaadUeacqGHRaWkcaWGgbGaam4qaaaa@397D@  гурвицева;

4) матрица A+FC MathType@MTEF@5@5@+= feaahqart1ev3aaatCvAUfeBSjuyZL2yd9gzLbvyNv2CaerbuLwBLn hiov2DGi1BTfMBaeXatLxBI9gBaebbnrfifHhDYfgasaacH8srps0l bbf9q8WrFfeuY=Hhbbf9v8qqaqFr0xc9pk0xbba9q8WqFfea0=yr0R Yxir=Jbba9q8aq0=yq=He9q8qqQ8frFve9Fve9Ff0dmeaabaqaciGa caGaaeqabaWaaeaadaaakabbaaaaaaaacXwyJTgapeqaa8aacaWGbb Gaey4kaSIaamOraiaadoeaaaa@3704@  гурвицева;

5) система (A,B,C) MathType@MTEF@5@5@+= feaahqart1ev3aaatCvAUfeBSjuyZL2yd9gzLbvyNv2CaerbuLwBLn hiov2DGi1BTfMBaeXatLxBI9gBaebbnrfifHhDYfgasaacH8srps0l bbf9q8WrFfeuY=Hhbbf9v8qqaqFr0xc9pk0xbba9q8WqFfea0=yr0R Yxir=Jbba9q8aq0=yq=He9q8qqQ8frFve9Fve9Ff0dmeaabaqaciGa caGaaeqabaWaaeaadaaakabbaaaaaaaacXwyJTgapeqaa8aacaaIOa GaamyqaiaaiYcacaWGcbGaaGilaiaadoeacaaIPaaaaa@38EF@  обладает устойчивой нулевой динамикой.

Тогда существуют коэффициенты σ + n1 MathType@MTEF@5@5@+= feaahqart1ev3aaatCvAUfeBSjuyZL2yd9gzLbvyNv2CaerbuLwBLn hiov2DGi1BTfMBaeXatLxBI9gBaebbnrfifHhDYfgasaacH8srps0l bbf9q8WrFfeuY=Hhbbf9v8qqaqFr0xc9pk0xbba9q8WqFfea0=yr0R Yxir=Jbba9q8aq0=yq=He9q8qqQ8frFve9Fve9Ff0dmeaabaqaciGa caGaaeqabaWaaeaadaaakabbaaaaaaaacXwyJTgapeqaa8aacqaHdp WCcqGHiiIZtuuDJXwAK1uy0HMmaeHbfv3ySLgzG0uy0HgiuD3BaGab aiab=1risnaaDaaaleaacqGHRaWkaeaacaWGUbGaeyOeI0IaaGymaa aaaaa@4571@ , μ + n1 MathType@MTEF@5@5@+= feaahqart1ev3aaatCvAUfeBSjuyZL2yd9gzLbvyNv2CaerbuLwBLn hiov2DGi1BTfMBaeXatLxBI9gBaebbnrfifHhDYfgasaacH8srps0l bbf9q8WrFfeuY=Hhbbf9v8qqaqFr0xc9pk0xbba9q8WqFfea0=yr0R Yxir=Jbba9q8aq0=yq=He9q8qqQ8frFve9Fve9Ff0dmeaabaqaciGa caGaaeqabaWaaeaadaaakabbaaaaaaaacXwyJTgapeqaa8aacqaH8o qBcqGHiiIZtuuDJXwAK1uy0HMmaeHbfv3ySLgzG0uy0HgiuD3BaGab aiab=1risnaaDaaaleaacqGHRaWkaeaacaWGUbGaeyOeI0IaaGymaa aaaaa@4564@ , одинаковые для всех агентов, такие, что каскадный наблюдатель e ^ i MathType@MTEF@5@5@+= feaahqart1ev3aaatCvAUfeBSjuyZL2yd9gzLbvyNv2CaerbuLwBLn hiov2DGi1BTfMBaeXatLxBI9gBaebbnrfifHhDYfgasaacH8srps0l bbf9q8WrFfeuY=Hhbbf9v8qqaqFr0xc9pk0xbba9q8WqFfea0=yr0R Yxir=Jbba9q8aq0=yq=He9q8qqQ8frFve9Fve9Ff0dmeaabaqaciGa caGaaeqabaWaaeaadaaakabbaaaaaaaacXwyJTgapeqaa8aaceWGLb GbaKaadaWgaaWcbaGaamyAaaqabaaaaa@35DD@  даёт асимптотически точную оценку e i = v i z i MathType@MTEF@5@5@+= feaahqart1ev3aaatCvAUfeBSjuyZL2yd9gzLbvyNv2CaerbuLwBLn hiov2DGi1BTfMBaeXatLxBI9gBaebbnrfifHhDYfgasaacH8srps0l bbf9q8WrFfeuY=Hhbbf9v8qqaqFr0xc9pk0xbba9q8WqFfea0=yr0R Yxir=Jbba9q8aq0=yq=He9q8qqQ8frFve9Fve9Ff0dmeaabaqaciGa caGaaeqabaWaaeaadaaakabbaaaaaaaacXwyJTgapeqaa8aacaWGLb WaaSbaaSqaaiaadMgaaeqaaOGaaGypaiaadAhadaWgaaWcbaGaamyA aaqabaGccqGHsislcaWG6bWaaSbaaSqaaiaadMgaaeqaaaaa@3BC3@ .

Доказательство. Согласно классическому подходу к изучению устойчивости консенсуса необходимо выделить подсистему, отвечающую за ошибку консенсуса. Пусть r T 1×N MathType@MTEF@5@5@+= feaahqart1ev3aaatCvAUfeBSjuyZL2yd9gzLbvyNv2CaerbuLwBLn hiov2DGi1BTfMBaeXatLxBI9gBaebbnrfifHhDYfgasaacH8srps0l bbf9q8WrFfeuY=Hhbbf9v8qqaqFr0xc9pk0xbba9q8WqFfea0=yr0R Yxir=Jbba9q8aq0=yq=He9q8qqQ8frFve9Fve9Ff0dmeaabaqaciGa caGaaeqabaWaaeaadaaakabbaaaaaaaacXwyJTgapeqaa8aacaWGYb WaaWbaaSqabeaacaWGubaaaOGaeyicI48efv3ySLgznfgDOjdaryqr 1ngBPrginfgDObcv39gaiqaacqWFDeIudaahaaWcbeqaaiaaigdacq GHxdaTcaWGobaaaaaa@45DD@   MathType@MTEF@5@5@+= feaahqart1ev3aqatCvAUfeBSjuyZL2yd9gzLbvyNv2CaerbuLwBLn hiov2DGi1BTfMBaeXatLxBI9gBaerbd9wDYLwzYbItLDharqqtubsr 4rNCHbGeaGqiVu0Je9sqqrpepC0xbbL8F4rqqrFfpeea0xe9Lq=Jc9 vqaqpepm0xbba9pwe9Q8fs0=yqaqpepae9pg0FirpepeKkFr0xfr=x fr=xb9adbaqaaeGaciGaaiaabeqaamaabaabaaGcqqaaaaaaaaGqSf 2yRbWdbeaaruWqHXwAIjxAaGqbaKqzGfaeaaaaaaaaa8GacaWFuaca aa@3C73@  левый собственный вектор матрицы Лапласа L MathType@MTEF@5@5@+= feaahqart1ev3aaatCvAUfeBSjuyZL2yd9gzLbvyNv2CaerbuLwBLn hiov2DGi1BTfMBaeXatLxBI9gBaebbnrfifHhDYfgasaacH8srps0l bbf9q8WrFfeuY=Hhbbf9v8qqaqFr0xc9pk0xbba9q8WqFfea0=yr0R Yxir=Jbba9q8aq0=yq=He9q8qqQ8frFve9Fve9Ff0dmeaabaqaciGa caGaaeqabaWaaeaadaaakabbaaaaaaaacXwyJTgapeqaa8aacaWGmb aaaa@349A@  и r T 1 N =1 MathType@MTEF@5@5@+= feaahqart1ev3aaatCvAUfeBSjuyZL2yd9gzLbvyNv2CaerbuLwBLn hiov2DGi1BTfMBaeXatLxBI9gBaebbnrfifHhDYfgasaacH8srps0l bbf9q8WrFfeuY=Hhbbf9v8qqaqFr0xc9pk0xbba9q8WqFfea0=yr0R Yxir=Jbba9q8aq0=yq=He9q8qqQ8frFve9Fve9Ff0dmeaabaqaciGa caGaaeqabaWaaeaadaaakabbaaaaaaaacXwyJTgapeqaa8aacaWGYb WaaWbaaSqabeaacaWGubaaaOGaaGymamaaBaaaleaacaWGobaabeaa kiaai2dacaaIXaaaaa@3916@ , где 1 N N MathType@MTEF@5@5@+= feaahqart1ev3aaatCvAUfeBSjuyZL2yd9gzLbvyNv2CaerbuLwBLn hiov2DGi1BTfMBaeXatLxBI9gBaebbnrfifHhDYfgasaacH8srps0l bbf9q8WrFfeuY=Hhbbf9v8qqaqFr0xc9pk0xbba9q8WqFfea0=yr0R Yxir=Jbba9q8aq0=yq=He9q8qqQ8frFve9Fve9Ff0dmeaabaqaciGa caGaaeqabaWaaeaadaaakabbaaaaaaaacXwyJTgapeqaa8aacaaIXa WaaSbaaSqaaiaad6eaaeqaaOGaeyicI48efv3ySLgznfgDOjdaryqr 1ngBPrginfgDObcv39gaiqaacqWFDeIudaahaaWcbeqaaiaad6eaaa aaaa@42C8@  и состоит из единиц. Пусть Δ (N1)×N MathType@MTEF@5@5@+= feaahqart1ev3aaatCvAUfeBSjuyZL2yd9gzLbvyNv2CaerbuLwBLn hiov2DGi1BTfMBaeXatLxBI9gBaebbnrfifHhDYfgasaacH8srps0l bbf9q8WrFfeuY=Hhbbf9v8qqaqFr0xc9pk0xbba9q8WqFfea0=yr0R Yxir=Jbba9q8aq0=yq=He9q8qqQ8frFve9Fve9Ff0dmeaabaqaciGa caGaaeqabaWaaeaadaaakabbaaaaaaaacXwyJTgapeqaa8aacqqHuo arcqGHiiIZtuuDJXwAK1uy0HMmaeHbfv3ySLgzG0uy0HgiuD3BaGab aiab=1risnaaCaaaleqabaGaaGikaiaad6eacqGHsislcaaIXaGaaG ykaiabgEna0kaad6eaaaaaaa@4861@   MathType@MTEF@5@5@+= feaahqart1ev3aqatCvAUfeBSjuyZL2yd9gzLbvyNv2CaerbuLwBLn hiov2DGi1BTfMBaeXatLxBI9gBaerbd9wDYLwzYbItLDharqqtubsr 4rNCHbGeaGqiVu0Je9sqqrpepC0xbbL8F4rqqrFfpeea0xe9Lq=Jc9 vqaqpepm0xbba9pwe9Q8fs0=yqaqpepae9pg0FirpepeKkFr0xfr=x fr=xb9adbaqaaeGaciGaaiaabeqaamaabaabaaGcqqaaaaaaaaGqSf 2yRbWdbeaaruWqHXwAIjxAaGqbaKqzGfaeaaaaaaaaa8GacaWFuaca aa@3C73@  матрица полного ранга, ортогональная к 1 N MathType@MTEF@5@5@+= feaahqart1ev3aaatCvAUfeBSjuyZL2yd9gzLbvyNv2CaerbuLwBLn hiov2DGi1BTfMBaeXatLxBI9gBaebbnrfifHhDYfgasaacH8srps0l bbf9q8WrFfeuY=Hhbbf9v8qqaqFr0xc9pk0xbba9q8WqFfea0=yr0R Yxir=Jbba9q8aq0=yq=He9q8qqQ8frFve9Fve9Ff0dmeaabaqaciGa caGaaeqabaWaaeaadaaakabbaaaaaaaacXwyJTgapeqaa8aacaaIXa WaaSbaaSqaaiaad6eaaeqaaaaa@3583@ . Тогда матрица T MathType@MTEF@5@5@+= feaahqart1ev3aaatCvAUfeBSjuyZL2yd9gzLbvyNv2CaerbuLwBLn hiov2DGi1BTfMBaeXatLxBI9gBaebbnrfifHhDYfgasaacH8srps0l bbf9q8WrFfeuY=Hhbbf9v8qqaqFr0xc9pk0xbba9q8WqFfea0=yr0R Yxir=Jbba9q8aq0=yq=He9q8qqQ8frFve9Fve9Ff0dmeaabaqaciGa caGaaeqabaWaaeaadaaakabbaaaaaaaacXwyJTgapeqaa8aacaWGub aaaa@34A2@ , составленная из r T MathType@MTEF@5@5@+= feaahqart1ev3aaatCvAUfeBSjuyZL2yd9gzLbvyNv2CaerbuLwBLn hiov2DGi1BTfMBaeXatLxBI9gBaebbnrfifHhDYfgasaacH8srps0l bbf9q8WrFfeuY=Hhbbf9v8qqaqFr0xc9pk0xbba9q8WqFfea0=yr0R Yxir=Jbba9q8aq0=yq=He9q8qqQ8frFve9Fve9Ff0dmeaabaqaciGa caGaaeqabaWaaeaadaaakabbaaaaaaaacXwyJTgapeqaa8aacaWGYb WaaWbaaSqabeaacaWGubaaaOGaaGzaVdaa@375A@ , Δ MathType@MTEF@5@5@+= feaahqart1ev3aaatCvAUfeBSjuyZL2yd9gzLbvyNv2CaerbuLwBLn hiov2DGi1BTfMBaeXatLxBI9gBaebbnrfifHhDYfgasaacH8srps0l bbf9q8WrFfeuY=Hhbbf9v8qqaqFr0xc9pk0xbba9q8WqFfea0=yr0R Yxir=Jbba9q8aq0=yq=He9q8qqQ8frFve9Fve9Ff0dmeaabaqaciGa caGaaeqabaWaaeaadaaakabbaaaaaaaacXwyJTgapeqaa8aacqqHuo araaa@352F@ , является невырожденной. Можно показать, что обратная матрица будет состоять из 1 N MathType@MTEF@5@5@+= feaahqart1ev3aaatCvAUfeBSjuyZL2yd9gzLbvyNv2CaerbuLwBLn hiov2DGi1BTfMBaeXatLxBI9gBaebbnrfifHhDYfgasaacH8srps0l bbf9q8WrFfeuY=Hhbbf9v8qqaqFr0xc9pk0xbba9q8WqFfea0=yr0R Yxir=Jbba9q8aq0=yq=He9q8qqQ8frFve9Fve9Ff0dmeaabaqaciGa caGaaeqabaWaaeaadaaakabbaaaaaaaacXwyJTgapeqaa8aacaaIXa WaaSbaaSqaaiaad6eaaeqaaaaa@3583@ , Δ + MathType@MTEF@5@5@+= feaahqart1ev3aaatCvAUfeBSjuyZL2yd9gzLbvyNv2CaerbuLwBLn hiov2DGi1BTfMBaeXatLxBI9gBaebbnrfifHhDYfgasaacH8srps0l bbf9q8WrFfeuY=Hhbbf9v8qqaqFr0xc9pk0xbba9q8WqFfea0=yr0R Yxir=Jbba9q8aq0=yq=He9q8qqQ8frFve9Fve9Ff0dmeaabaqaciGa caGaaeqabaWaaeaadaaakabbaaaaaaaacXwyJTgapeqaa8aacqqHuo ardaahaaWcbeqaaiabgUcaRaaaaaa@363E@ , т.е.

                                                          T= r T Δ , T 1 = 1 N Δ + . MathType@MTEF@5@5@+= feaahqart1ev3aaatCvAUfeBSjuyZL2yd9gzLbvyNv2CaerbuLwBLn hiov2DGi1BTfMBaeXatLxBI9gBaebbnrfifHhDYfgasaacH8srps0l bbf9q8WrFfeuY=Hhbbf9v8qqaqFr0xc9pk0xbba9q8WqFfea0=yr0R Yxir=Jbba9q8aq0=yq=He9q8qqQ8frFve9Fve9Ff0dmeaabaqaciGa caGaaeqabaWaaeaadaaakabbaaaaaaaacXwyJTgapeqaa8aacaWGub GaaGypamaadmaabaqbaeqabiqaaaqaaiaadkhadaahaaWcbeqaaiaa dsfaaaaakeaacqqHuoaraaaacaGLBbGaayzxaaGaaGzaVlaaiYcaca aMf8UaamivamaaCaaaleqabaGaeyOeI0IaaGymaaaakiaai2dadaWa daqaauaabeqabiaaaeaacaaIXaWaaSbaaSqaaiaad6eaaeqaaaGcba GaeuiLdq0aaWbaaSqabeaacqGHRaWkaaaaaaGccaGLBbGaayzxaaGa aGzaVlaai6caaaa@4AA6@

Более того, известно, что можно выбрать матрицу Δ MathType@MTEF@5@5@+= feaahqart1ev3aaatCvAUfeBSjuyZL2yd9gzLbvyNv2CaerbuLwBLn hiov2DGi1BTfMBaeXatLxBI9gBaebbnrfifHhDYfgasaacH8srps0l bbf9q8WrFfeuY=Hhbbf9v8qqaqFr0xc9pk0xbba9q8WqFfea0=yr0R Yxir=Jbba9q8aq0=yq=He9q8qqQ8frFve9Fve9Ff0dmeaabaqaciGa caGaaeqabaWaaeaadaaakabbaaaaaaaacXwyJTgapeqaa8aacqqHuo araaa@352F@  так, чтобы матрица J=TL T 1 MathType@MTEF@5@5@+= feaahqart1ev3aaatCvAUfeBSjuyZL2yd9gzLbvyNv2CaerbuLwBLn hiov2DGi1BTfMBaeXatLxBI9gBaebbnrfifHhDYfgasaacH8srps0l bbf9q8WrFfeuY=Hhbbf9v8qqaqFr0xc9pk0xbba9q8WqFfea0=yr0R Yxir=Jbba9q8aq0=yq=He9q8qqQ8frFve9Fve9Ff0dmeaabaqaciGa caGaaeqabaWaaeaadaaakabbaaaaaaaacXwyJTgapeqaa8aacaWGkb GaaGypaiaadsfacaWGmbGaamivamaaCaaaleqabaGaeyOeI0IaaGym aaaaaaa@39B7@  имела жорданову форму:

                                    J= 0 0 0 λ 2 * 0 0 0 λ 3 * 0 λ N = 0 0 0 Λ ,Λ=ΔL Δ + . MathType@MTEF@5@5@+= feaahqart1ev3aaatCvAUfeBSjuyZL2yd9gzLbvyNv2CaerbuLwBLn hiov2DGi1BTfMBaeXatLxBI9gBaebbnrfifHhDYfgasaacH8srps0l bbf9q8WrFfeuY=Hhbbf9v8qqaqFr0xc9pk0xbba9q8WqFfea0=yr0R Yxir=Jbba9q8aq0=yq=He9q8qqQ8frFve9Fve9Ff0dmeaabaqaciGa caGaaeqabaWaaeaadaaakabbaaaaaaaacXwyJTgapeqaa8aacaWGkb GaaGypamaadmaabaqbaeqabyqbaaaaaeaacaaIWaaabaGaaGimaaqa aiabl+UimbqaaaqaaaqaaiaaicdaaeaacqaH7oaBdaWgaaWcbaGaaG OmaaqabaaakeaacaaIQaaabaGaaGimaaqaaiabl+Uimbqaaiaaicda aeaacaaIWaaabaGaeq4UdW2aaSbaaSqaaiaaiodaaeqaaaGcbaGaaG Okaaqaaiabl+Uimbqaaiabl+Uimbqaaaqaaaqaaaqaaaqaaiabl+Ui mbqaaiaaicdaaeaacqaH7oaBdaWgaaWcbaGaamOtaaqabaaakeaaae aaaeaaaeaaaeaaaeaaaeaaaaaacaGLBbGaayzxaaGaaGypamaadmaa baqbaeqabiGaaaqaaiaaicdaaeaacaaIWaaabaGaaGimaaqaaiabfU 5ambaaaiaawUfacaGLDbaacaaMb8UaaGilaiaaywW7cqqHBoatcaaI 9aGaeuiLdqKaamitaiabfs5aenaaCaaaleqabaGaey4kaScaaOGaaG Olaaaa@6194@

Известно, что консенсус в системе достигается тогда и только тогда, когда

                                                                   x¯ΔInx

 где x ¯ n(N1) MathType@MTEF@5@5@+= feaahqart1ev3aaatCvAUfeBSjuyZL2yd9gzLbvyNv2CaerbuLwBLn hiov2DGi1BTfMBaeXatLxBI9gBaebbnrfifHhDYfgasaacH8srps0l bbf9q8WrFfeuY=Hhbbf9v8qqaqFr0xc9pk0xbba9q8WqFfea0=yr0R Yxir=Jbba9q8aq0=yq=He9q8qqQ8frFve9Fve9Ff0dmeaabaqaciGa caGaaeqabaWaaeaadaaakabbaaaaaaaacXwyJTgapeqaa8aaceWG4b GbaebacqGHiiIZtuuDJXwAK1uy0HMmaeHbfv3ySLgzG0uy0HgiuD3B aGabaiab=1risnaaCaaaleqabaGaamOBaiaaiIcacaWGobGaeyOeI0 IaaGymaiaaiMcaaaaaaa@4619@  описывает ошибку консенсуса, т.е. любой вектор v i MathType@MTEF@5@5@+= feaahqart1ev3aaatCvAUfeBSjuyZL2yd9gzLbvyNv2CaerbuLwBLn hiov2DGi1BTfMBaeXatLxBI9gBaebbnrfifHhDYfgasaacH8srps0l bbf9q8WrFfeuY=Hhbbf9v8qqaqFr0xc9pk0xbba9q8WqFfea0=yr0R Yxir=Jbba9q8aq0=yq=He9q8qqQ8frFve9Fve9Ff0dmeaabaqaciGa caGaaeqabaWaaeaadaaakabbaaaaaaaacXwyJTgapeqaa8aacaWG2b WaaSbaaSqaaiaadMgaaeqaaaaa@35DE@  можно выразить через x ¯ MathType@MTEF@5@5@+= feaahqart1ev3aaatCvAUfeBSjuyZL2yd9gzLbvyNv2CaerbuLwBLn hiov2DGi1BTfMBaeXatLxBI9gBaebbnrfifHhDYfgasaacH8srps0l bbf9q8WrFfeuY=Hhbbf9v8qqaqFr0xc9pk0xbba9q8WqFfea0=yr0R Yxir=Jbba9q8aq0=yq=He9q8qqQ8frFve9Fve9Ff0dmeaabaqaciGa caGaaeqabaWaaeaadaaakabbaaaaaaaacXwyJTgapeqaa8aaceWG4b Gbaebaaaa@34DE@ ; с другой стороны, x ¯ MathType@MTEF@5@5@+= feaahqart1ev3aaatCvAUfeBSjuyZL2yd9gzLbvyNv2CaerbuLwBLn hiov2DGi1BTfMBaeXatLxBI9gBaebbnrfifHhDYfgasaacH8srps0l bbf9q8WrFfeuY=Hhbbf9v8qqaqFr0xc9pk0xbba9q8WqFfea0=yr0R Yxir=Jbba9q8aq0=yq=He9q8qqQ8frFve9Fve9Ff0dmeaabaqaciGa caGaaeqabaWaaeaadaaakabbaaaaaaaacXwyJTgapeqaa8aaceWG4b Gbaebaaaa@34DE@  можно выразить через v= v 1 v 2 v N MathType@MTEF@5@5@+= feaahqart1ev3aaatCvAUfeBSjuyZL2yd9gzLbvyNv2CaerbuLwBLn hiov2DGi1BTfMBaeXatLxBI9gBaebbnrfifHhDYfgasaacH8srps0l bbf9q8WrFfeuY=Hhbbf9v8qqaqFr0xc9pk0xbba9q8WqFfea0=yr0R Yxir=Jbba9q8aq0=yq=He9q8qqQ8frFve9Fve9Ff0dmeaabaqaciGa caGaaeqabaWaaeaadaaakabbaaaaaaaacXwyJTgapeqaa8aacaWG2b GaaGypamaabmaabaqbaeqabeabaaaabaGaamODamaaBaaaleaacaaI XaaabeaaaOqaaiaadAhadaWgaaWcbaGaaGOmaaqabaaakeaacqWIVl ctaeaacaWG2bWaaSbaaSqaaiaad6eaaeqaaaaaaOGaayjkaiaawMca aaaa@3EF0@ . Поэтому нам достаточно рассмотреть динамику (Δ I n )x MathType@MTEF@5@5@+= feaahqart1ev3aaatCvAUfeBSjuyZL2yd9gzLbvyNv2CaerbuLwBLn hiov2DGi1BTfMBaeXatLxBI9gBaebbnrfifHhDYfgasaacH8srps0l bbf9q8WrFfeuY=Hhbbf9v8qqaqFr0xc9pk0xbba9q8WqFfea0=yr0R Yxir=Jbba9q8aq0=yq=He9q8qqQ8frFve9Fve9Ff0dmeaabaqaciGa caGaaeqabaWaaeaadaaakabbaaaaaaaacXwyJTgapeqaa8aacaaIOa GaeuiLdqKaey4LIqSaamysamaaBaaaleaacaWGUbaabeaakiaaiMca caWG4baaaa@3B91@ .

Пусть x MathType@MTEF@5@5@+= feaahqart1ev3aaatCvAUfeBSjuyZL2yd9gzLbvyNv2CaerbuLwBLn hiov2DGi1BTfMBaeXatLxBI9gBaebbnrfifHhDYfgasaacH8srps0l bbf9q8WrFfeuY=Hhbbf9v8qqaqFr0xc9pk0xbba9q8WqFfea0=yr0R Yxir=Jbba9q8aq0=yq=He9q8qqQ8frFve9Fve9Ff0dmeaabaqaciGa caGaaeqabaWaaeaadaaakabbaaaaaaaacXwyJTgapeqaa8aacaWG4b aaaa@34C6@ , z MathType@MTEF@5@5@+= feaahqart1ev3aaatCvAUfeBSjuyZL2yd9gzLbvyNv2CaerbuLwBLn hiov2DGi1BTfMBaeXatLxBI9gBaebbnrfifHhDYfgasaacH8srps0l bbf9q8WrFfeuY=Hhbbf9v8qqaqFr0xc9pk0xbba9q8WqFfea0=yr0R Yxir=Jbba9q8aq0=yq=He9q8qqQ8frFve9Fve9Ff0dmeaabaqaciGa caGaaeqabaWaaeaadaaakabbaaaaaaaacXwyJTgapeqaa8aacaWG6b aaaa@34C8@ , ξ MathType@MTEF@5@5@+= feaahqart1ev3aaatCvAUfeBSjuyZL2yd9gzLbvyNv2CaerbuLwBLn hiov2DGi1BTfMBaeXatLxBI9gBaebbnrfifHhDYfgasaacH8srps0l bbf9q8WrFfeuY=Hhbbf9v8qqaqFr0xc9pk0xbba9q8WqFfea0=yr0R Yxir=Jbba9q8aq0=yq=He9q8qqQ8frFve9Fve9Ff0dmeaabaqaciGa caGaaeqabaWaaeaadaaakabbaaaaaaaacXwyJTgapeqaa8aacqaH+o aEaaa@358C@   MathType@MTEF@5@5@+= feaahqart1ev3aqatCvAUfeBSjuyZL2yd9gzLbvyNv2CaerbuLwBLn hiov2DGi1BTfMBaeXatLxBI9gBaerbd9wDYLwzYbItLDharqqtubsr 4rNCHbGeaGqiVu0Je9sqqrpepC0xbbL8F4rqqrFfpeea0xe9Lq=Jc9 vqaqpepm0xbba9pwe9Q8fs0=yqaqpepae9pg0FirpepeKkFr0xfr=x fr=xb9adbaqaaeGaciGaaiaabeqaamaabaabaaGcqqaaaaaaaaGqSf 2yRbWdbeaaruWqHXwAIjxAaGqbaKqzGfaeaaaaaaaaa8GacaWFuaca aa@3C73@  конкатенация x i MathType@MTEF@5@5@+= feaahqart1ev3aaatCvAUfeBSjuyZL2yd9gzLbvyNv2CaerbuLwBLn hiov2DGi1BTfMBaeXatLxBI9gBaebbnrfifHhDYfgasaacH8srps0l bbf9q8WrFfeuY=Hhbbf9v8qqaqFr0xc9pk0xbba9q8WqFfea0=yr0R Yxir=Jbba9q8aq0=yq=He9q8qqQ8frFve9Fve9Ff0dmeaabaqaciGa caGaaeqabaWaaeaadaaakabbaaaaaaaacXwyJTgapeqaa8aacaWG4b WaaSbaaSqaaiaadMgaaeqaaaaa@35E0@ , z i MathType@MTEF@5@5@+= feaahqart1ev3aaatCvAUfeBSjuyZL2yd9gzLbvyNv2CaerbuLwBLn hiov2DGi1BTfMBaeXatLxBI9gBaebbnrfifHhDYfgasaacH8srps0l bbf9q8WrFfeuY=Hhbbf9v8qqaqFr0xc9pk0xbba9q8WqFfea0=yr0R Yxir=Jbba9q8aq0=yq=He9q8qqQ8frFve9Fve9Ff0dmeaabaqaciGa caGaaeqabaWaaeaadaaakabbaaaaaaaacXwyJTgapeqaa8aacaWG6b WaaSbaaSqaaiaadMgaaeqaaaaa@35E2@ , ξ i MathType@MTEF@5@5@+= feaahqart1ev3aaatCvAUfeBSjuyZL2yd9gzLbvyNv2CaerbuLwBLn hiov2DGi1BTfMBaeXatLxBI9gBaebbnrfifHhDYfgasaacH8srps0l bbf9q8WrFfeuY=Hhbbf9v8qqaqFr0xc9pk0xbba9q8WqFfea0=yr0R Yxir=Jbba9q8aq0=yq=He9q8qqQ8frFve9Fve9Ff0dmeaabaqaciGa caGaaeqabaWaaeaadaaakabbaaaaaaaacXwyJTgapeqaa8aacqaH+o aEdaWgaaWcbaGaamyAaaqabaaaaa@36A6@ . Перепишем систему (12) для x MathType@MTEF@5@5@+= feaahqart1ev3aaatCvAUfeBSjuyZL2yd9gzLbvyNv2CaerbuLwBLn hiov2DGi1BTfMBaeXatLxBI9gBaebbnrfifHhDYfgasaacH8srps0l bbf9q8WrFfeuY=Hhbbf9v8qqaqFr0xc9pk0xbba9q8WqFfea0=yr0R Yxir=Jbba9q8aq0=yq=He9q8qqQ8frFve9Fve9Ff0dmeaabaqaciGa caGaaeqabaWaaeaadaaakabbaaaaaaaacXwyJTgapeqaa8aacaWG4b aaaa@34C6@ , z MathType@MTEF@5@5@+= feaahqart1ev3aaatCvAUfeBSjuyZL2yd9gzLbvyNv2CaerbuLwBLn hiov2DGi1BTfMBaeXatLxBI9gBaebbnrfifHhDYfgasaacH8srps0l bbf9q8WrFfeuY=Hhbbf9v8qqaqFr0xc9pk0xbba9q8WqFfea0=yr0R Yxir=Jbba9q8aq0=yq=He9q8qqQ8frFve9Fve9Ff0dmeaabaqaciGa caGaaeqabaWaaeaadaaakabbaaaaaaaacXwyJTgapeqaa8aacaWG6b aaaa@34C8@ , ξ MathType@MTEF@5@5@+= feaahqart1ev3aaatCvAUfeBSjuyZL2yd9gzLbvyNv2CaerbuLwBLn hiov2DGi1BTfMBaeXatLxBI9gBaebbnrfifHhDYfgasaacH8srps0l bbf9q8WrFfeuY=Hhbbf9v8qqaqFr0xc9pk0xbba9q8WqFfea0=yr0R Yxir=Jbba9q8aq0=yq=He9q8qqQ8frFve9Fve9Ff0dmeaabaqaciGa caGaaeqabaWaaeaadaaakabbaaaaaaaacXwyJTgapeqaa8aacqaH+o aEaaa@358C@  и матрицы Лапласа L MathType@MTEF@5@5@+= feaahqart1ev3aaatCvAUfeBSjuyZL2yd9gzLbvyNv2CaerbuLwBLn hiov2DGi1BTfMBaeXatLxBI9gBaebbnrfifHhDYfgasaacH8srps0l bbf9q8WrFfeuY=Hhbbf9v8qqaqFr0xc9pk0xbba9q8WqFfea0=yr0R Yxir=Jbba9q8aq0=yq=He9q8qqQ8frFve9Fve9Ff0dmeaabaqaciGa caGaaeqabaWaaeaadaaakabbaaaaaaaacXwyJTgapeqaa8aacaWGmb aaaa@349A@ :

x ˙ =( I N A)x+( I N BK)z+( I N B)ξ, z ˙ =( I N (A+BK+FC))z(LC)x. MathType@MTEF@5@5@+= feaahqart1ev3aaatCvAUfeBSjuyZL2yd9gzLbvyNv2CaerbuLwBLn hiov2DGi1BTfMBaeXatLxBI9gBaebbnrfifHhDYfgasaacH8srps0l bbf9q8WrFfeuY=Hhbbf9v8qqaqFr0xc9pk0xbba9q8WqFfea0=yr0R Yxir=Jbba9q8aq0=yq=He9q8qqQ8frFve9Fve9Ff0dmeaabaqaciGa caGaaeqabaWaaeaadaaakabbaaaaaaaacXwyJTgapeqaa8aaceWG4b GbaiaacaaI9aGaaGikaiaadMeadaWgaaWcbaGaamOtaaqabaGccqGH xkcXcaWGbbGaaGykaiaadIhacqGHRaWkcaaIOaGaamysamaaBaaale aacaWGobaabeaakiabgEPielaadkeacaWGlbGaaGykaiaadQhacqGH RaWkcaaIOaGaamysamaaBaaaleaacaWGobaabeaakiabgEPielaadk eacaaIPaGaeqOVdGNaaGilaiaaywW7ceWG6bGbaiaacaaI9aGaaGik aiaadMeadaWgaaWcbaGaamOtaaqabaGccqGHxkcXcaaIOaGaamyqai abgUcaRiaadkeacaWGlbGaey4kaSIaamOraiaadoeacaaIPaGaaGyk aiaadQhacqGHsislcaaIOaGaamitaiabgEPielaadoeacaaIPaGaam iEaiaai6caaaa@6725@

Согласно [7] после ряда вычислений получим, что динамика x ¯ =(Δ I n )x MathType@MTEF@5@5@+= feaahqart1ev3aaatCvAUfeBSjuyZL2yd9gzLbvyNv2CaerbuLwBLn hiov2DGi1BTfMBaeXatLxBI9gBaebbnrfifHhDYfgasaacH8srps0l bbf9q8WrFfeuY=Hhbbf9v8qqaqFr0xc9pk0xbba9q8WqFfea0=yr0R Yxir=Jbba9q8aq0=yq=He9q8qqQ8frFve9Fve9Ff0dmeaabaqaciGa caGaaeqabaWaaeaadaaakabbaaaaaaaacXwyJTgapeqaa8aaceWG4b GbaebacaaI9aGaaGikaiabfs5aejabgEPielaadMeadaWgaaWcbaGa amOBaaqabaGccaaIPaGaamiEaaaa@3D6D@ , z ¯ =(Δ I n )z MathType@MTEF@5@5@+= feaahqart1ev3aaatCvAUfeBSjuyZL2yd9gzLbvyNv2CaerbuLwBLn hiov2DGi1BTfMBaeXatLxBI9gBaebbnrfifHhDYfgasaacH8srps0l bbf9q8WrFfeuY=Hhbbf9v8qqaqFr0xc9pk0xbba9q8WqFfea0=yr0R Yxir=Jbba9q8aq0=yq=He9q8qqQ8frFve9Fve9Ff0dmeaabaqaciGa caGaaeqabaWaaeaadaaakabbaaaaaaaacXwyJTgapeqaa8aaceWG6b GbaebacaaI9aGaaGikaiabfs5aejabgEPielaadMeadaWgaaWcbaGa amOBaaqabaGccaaIPaGaamOEaaaa@3D71@  замкнута относительно себя:

x ¯ ˙ =( I N1 A) x ¯ +( I N1 BK) z ¯ +(ΔB)ξ, z ¯ ˙ =( I N1 (A+BK+FC)) z ¯ (ΛC) x ¯ , MathType@MTEF@5@5@+= feaahqart1ev3aaatCvAUfeBSjuyZL2yd9gzLbvyNv2CaerbuLwBLn hiov2DGi1BTfMBaeXatLxBI9gBaebbnrfifHhDYfgasaacH8srps0l bbf9q8WrFfeuY=Hhbbf9v8qqaqFr0xc9pk0xbba9q8WqFfea0=yr0R Yxir=Jbba9q8aq0=yq=He9q8qqQ8frFve9Fve9Ff0dmeaabaqaciGa caGaaeqabaWaaeaadaaakabbaaaaaaaacXwyJTgapeqaa8aaceWG4b GbaeHbaiaacaaI9aGaaGikaiaadMeadaWgaaWcbaGaamOtaiabgkHi TiaaigdaaeqaaOGaey4LIqSaamyqaiaaiMcaceWG4bGbaebacqGHRa WkcaaIOaGaamysamaaBaaaleaacaWGobGaeyOeI0IaaGymaaqabaGc cqGHxkcXcaWGcbGaam4saiaaiMcaceWG6bGbaebacqGHRaWkcaaIOa GaeuiLdqKaey4LIqSaamOqaiaaiMcacqaH+oaEcaaISaGaaGzbVlqa dQhagaqegaGaaiaai2dacaaIOaGaamysamaaBaaaleaacaWGobGaey OeI0IaaGymaaqabaGccqGHxkcXcaaIOaGaamyqaiabgUcaRiaadkea caWGlbGaey4kaSIaamOraiaadoeacaaIPaGaaGykaiqadQhagaqeai abgkHiTiaaiIcacqqHBoatcqGHxkcXcaWGdbGaaGykaiqadIhagaqe aiaaiYcaaaa@6CDC@

x ¯ ˙ z ¯ ˙ = A ¯ x ¯ z ¯ + B ¯ ξ, A ¯ =( I N1 A BK 0 A+BK+FC )+(Λ 0 0 FC 0 ), B ¯ =Δ B 0 . MathType@MTEF@5@5@+= feaahqart1ev3aaatCvAUfeBSjuyZL2yd9gzLbvyNv2CaerbuLwBLn hiov2DGi1BTfMBaeXatLxBI9gBaebbnrfifHhDYfgasaacH8srps0l bbf9q8WrFfeuY=Hhbbf9v8qqaqFr0xc9pk0xbba9q8WqFfea0=yr0R Yxir=Jbba9q8aq0=yq=He9q8qqQ8frFve9Fve9Ff0dmeaabaqaciGa caGaaeqabaWaaeaadaaakabbaaaaaaaacXwyJTgapeqaa8aafaqabe qabaaabaWaaeWaaeaafaqabeGabaaabaGabmiEayaaryaacaaabaGa bmOEayaaryaacaaaaaGaayjkaiaawMcaaiaai2daceWGbbGbaebada qadaqaauaabeqaceaaaeaaceWG4bGbaebaaeaaceWG6bGbaebaaaaa caGLOaGaayzkaaGaey4kaSIabmOqayaaraGaeqOVdGNaaGilaiaayw W7ceWGbbGbaebacaaI9aGaaGikaiaadMeadaWgaaWcbaGaamOtaiab gkHiTiaaigdaaeqaaOGaey4LIq8aamWaaeaafaqabeGacaaabaGaam yqaaqaaiaadkeacaWGlbaabaGaaGimaaqaaiaadgeacqGHRaWkcaWG cbGaam4saiabgUcaRiaadAeacaWGdbaaaaGaay5waiaaw2faaiaaiM cacqGHRaWkcaaIOaGaeu4MdWKaey4LIq8aamWaaeaafaqabeGacaaa baGaaGimaaqaaiaaicdaaeaacqGHsislcaWGgbGaam4qaaqaaiaaic daaaaacaGLBbGaayzxaaGaaGykaiaaiYcacaaMf8UabmOqayaaraGa aGypaiabfs5aejabgEPiepaadmaabaqbaeqabiqaaaqaaiaadkeaae aacaaIWaaaaaGaay5waiaaw2faaiaaygW7caaIUaaaaaaa@6FC4@

 Если выполняются условия (4), то матрица A ¯ MathType@MTEF@5@5@+= feaahqart1ev3aaatCvAUfeBSjuyZL2yd9gzLbvyNv2CaerbuLwBLn hiov2DGi1BTfMBaeXatLxBI9gBaebbnrfifHhDYfgasaacH8srps0l bbf9q8WrFfeuY=Hhbbf9v8qqaqFr0xc9pk0xbba9q8WqFfea0=yr0R Yxir=Jbba9q8aq0=yq=He9q8qqQ8frFve9Fve9Ff0dmeaabaqaciGa caGaaeqabaWaaeaadaaakabbaaaaaaaacXwyJTgapeqaa8aaceWGbb Gbaebaaaa@34A7@  гурвицева. По условию теоремы ξ i MathType@MTEF@5@5@+= feaahqart1ev3aaatCvAUfeBSjuyZL2yd9gzLbvyNv2CaerbuLwBLn hiov2DGi1BTfMBaeXatLxBI9gBaebbnrfifHhDYfgasaacH8srps0l bbf9q8WrFfeuY=Hhbbf9v8qqaqFr0xc9pk0xbba9q8WqFfea0=yr0R Yxir=Jbba9q8aq0=yq=He9q8qqQ8frFve9Fve9Ff0dmeaabaqaciGa caGaaeqabaWaaeaadaaakabbaaaaaaaacXwyJTgapeqaa8aacqaH+o aEdaWgaaWcbaGaamyAaaqabaaaaa@36A6@  ограничены общей мажорантой. Это означает, что x ¯ MathType@MTEF@5@5@+= feaahqart1ev3aaatCvAUfeBSjuyZL2yd9gzLbvyNv2CaerbuLwBLn hiov2DGi1BTfMBaeXatLxBI9gBaebbnrfifHhDYfgasaacH8srps0l bbf9q8WrFfeuY=Hhbbf9v8qqaqFr0xc9pk0xbba9q8WqFfea0=yr0R Yxir=Jbba9q8aq0=yq=He9q8qqQ8frFve9Fve9Ff0dmeaabaqaciGa caGaaeqabaWaaeaadaaakabbaaaaaaaacXwyJTgapeqaa8aaceWG4b Gbaebaaaa@34DE@ , z ¯ MathType@MTEF@5@5@+= feaahqart1ev3aaatCvAUfeBSjuyZL2yd9gzLbvyNv2CaerbuLwBLn hiov2DGi1BTfMBaeXatLxBI9gBaebbnrfifHhDYfgasaacH8srps0l bbf9q8WrFfeuY=Hhbbf9v8qqaqFr0xc9pk0xbba9q8WqFfea0=yr0R Yxir=Jbba9q8aq0=yq=He9q8qqQ8frFve9Fve9Ff0dmeaabaqaciGa caGaaeqabaWaaeaadaaakabbaaaaaaaacXwyJTgapeqaa8aaceWG6b Gbaebaaaa@34E0@  ограничены в установившемся режиме.

Ошибка линейного наблюдателя (??) зависит от z MathType@MTEF@5@5@+= feaahqart1ev3aaatCvAUfeBSjuyZL2yd9gzLbvyNv2CaerbuLwBLn hiov2DGi1BTfMBaeXatLxBI9gBaebbnrfifHhDYfgasaacH8srps0l bbf9q8WrFfeuY=Hhbbf9v8qqaqFr0xc9pk0xbba9q8WqFfea0=yr0R Yxir=Jbba9q8aq0=yq=He9q8qqQ8frFve9Fve9Ff0dmeaabaqaciGa caGaaeqabaWaaeaadaaakabbaaaaaaaacXwyJTgapeqaa8aacaWG6b aaaa@34C8@ . Покажем, что вектор z ˙ MathType@MTEF@5@5@+= feaahqart1ev3aaatCvAUfeBSjuyZL2yd9gzLbvyNv2CaerbuLwBLn hiov2DGi1BTfMBaeXatLxBI9gBaebbnrfifHhDYfgasaacH8srps0l bbf9q8WrFfeuY=Hhbbf9v8qqaqFr0xc9pk0xbba9q8WqFfea0=yr0R Yxir=Jbba9q8aq0=yq=He9q8qqQ8frFve9Fve9Ff0dmeaabaqaciGa caGaaeqabaWaaeaadaaakabbaaaaaaaacXwyJTgapeqaa8aaceWG6b Gbaiaaaaa@34D1@  тоже ограничен:

                                               z ˙ =( I N (A+BK+FC))z(LC)x. MathType@MTEF@5@5@+= feaahqart1ev3aaatCvAUfeBSjuyZL2yd9gzLbvyNv2CaerbuLwBLn hiov2DGi1BTfMBaeXatLxBI9gBaebbnrfifHhDYfgasaacH8srps0l bbf9q8WrFfeuY=Hhbbf9v8qqaqFr0xc9pk0xbba9q8WqFfea0=yr0R Yxir=Jbba9q8aq0=yq=He9q8qqQ8frFve9Fve9Ff0dmeaabaqaciGa caGaaeqabaWaaeaadaaakabbaaaaaaaacXwyJTgapeqaa8aafaqabe GabaaabaGabmOEayaacaGaaGypaiaaiIcacaWGjbWaaSbaaSqaaiaa d6eaaeqaaOGaey4LIqSaaGikaiaadgeacqGHRaWkcaWGcbGaam4sai abgUcaRiaadAeacaWGdbGaaGykaiaaiMcacaWG6bGaeyOeI0IaaGik aiaadYeacqGHxkcXcaWGdbGaaGykaiaadIhacaaIUaaabaaaaaaa@4AAB@         (13)

 Домножим L MathType@MTEF@5@5@+= feaahqart1ev3aaatCvAUfeBSjuyZL2yd9gzLbvyNv2CaerbuLwBLn hiov2DGi1BTfMBaeXatLxBI9gBaebbnrfifHhDYfgasaacH8srps0l bbf9q8WrFfeuY=Hhbbf9v8qqaqFr0xc9pk0xbba9q8WqFfea0=yr0R Yxir=Jbba9q8aq0=yq=He9q8qqQ8frFve9Fve9Ff0dmeaabaqaciGa caGaaeqabaWaaeaadaaakabbaaaaaaaacXwyJTgapeqaa8aacaWGmb aaaa@349A@  на T 1 T MathType@MTEF@5@5@+= feaahqart1ev3aaatCvAUfeBSjuyZL2yd9gzLbvyNv2CaerbuLwBLn hiov2DGi1BTfMBaeXatLxBI9gBaebbnrfifHhDYfgasaacH8srps0l bbf9q8WrFfeuY=Hhbbf9v8qqaqFr0xc9pk0xbba9q8WqFfea0=yr0R Yxir=Jbba9q8aq0=yq=He9q8qqQ8frFve9Fve9Ff0dmeaabaqaciGa caGaaeqabaWaaeaadaaakabbaaaaaaaacXwyJTgapeqaa8aacaWGub WaaWbaaSqabeaacqGHsislcaaIXaaaaOGaamivaaaa@375A@  и воспользуемся тем, что L 1 N =0 MathType@MTEF@5@5@+= feaahqart1ev3aaatCvAUfeBSjuyZL2yd9gzLbvyNv2CaerbuLwBLn hiov2DGi1BTfMBaeXatLxBI9gBaebbnrfifHhDYfgasaacH8srps0l bbf9q8WrFfeuY=Hhbbf9v8qqaqFr0xc9pk0xbba9q8WqFfea0=yr0R Yxir=Jbba9q8aq0=yq=He9q8qqQ8frFve9Fve9Ff0dmeaabaqaciGa caGaaeqabaWaaeaadaaakabbaaaaaaaacXwyJTgapeqaa8aacaWGmb GaaGymamaaBaaaleaacaWGobaabeaakiaai2dacaaIWaaaaa@37DF@ :

                              L=L T 1 T=L 1 N Δ + r T Δ = 0 L Δ + r T Δ =L Δ + Δ. MathType@MTEF@5@5@+= feaahqart1ev3aaatCvAUfeBSjuyZL2yd9gzLbvyNv2CaerbuLwBLn hiov2DGi1BTfMBaeXatLxBI9gBaebbnrfifHhDYfgasaacH8srps0l bbf9q8WrFfeuY=Hhbbf9v8qqaqFr0xc9pk0xbba9q8WqFfea0=yr0R Yxir=Jbba9q8aq0=yq=He9q8qqQ8frFve9Fve9Ff0dmeaabaqaciGa caGaaeqabaWaaeaadaaakabbaaaaaaaacXwyJTgapeqaa8aacaWGmb GaaGypaiaadYeacaWGubWaaWbaaSqabeaacqGHsislcaaIXaaaaOGa amivaiaai2dacaWGmbWaamWaaeaafaqabeqacaaabaGaaGymamaaBa aaleaacaWGobaabeaaaOqaaiabfs5aenaaCaaaleqabaGaey4kaSca aaaaaOGaay5waiaaw2faamaadmaabaqbaeqabiqaaaqaaiaadkhada ahaaWcbeqaaiaadsfaaaaakeaacqqHuoaraaaacaGLBbGaayzxaaGa aGypamaadmaabaqbaeqabeGaaaqaaiaaicdaaeaacaWGmbGaeuiLdq 0aaWbaaSqabeaacqGHRaWkaaaaaaGccaGLBbGaayzxaaWaamWaaeaa faqabeGabaaabaGaamOCamaaCaaaleqabaGaamivaaaaaOqaaiabfs 5aebaaaiaawUfacaGLDbaacaaI9aGaamitaiabfs5aenaaCaaaleqa baGaey4kaScaaOGaeuiLdqKaaGOlaaaa@597A@

 Используем полученное выражение для анализа (LC)x MathType@MTEF@5@5@+= feaahqart1ev3aaatCvAUfeBSjuyZL2yd9gzLbvyNv2CaerbuLwBLn hiov2DGi1BTfMBaeXatLxBI9gBaebbnrfifHhDYfgasaacH8srps0l bbf9q8WrFfeuY=Hhbbf9v8qqaqFr0xc9pk0xbba9q8WqFfea0=yr0R Yxir=Jbba9q8aq0=yq=He9q8qqQ8frFve9Fve9Ff0dmeaabaqaciGa caGaaeqabaWaaeaadaaakabbaaaaaaaacXwyJTgapeqaa8aacaaIOa GaamitaiabgEPielaadoeacaaIPaGaamiEaaaa@39CD@ :

                       (LC)x=(L Δ + ΔC)x=(L Δ + C)(Δ I n )x=(L Δ + C) x ¯ . MathType@MTEF@5@5@+= feaahqart1ev3aaatCvAUfeBSjuyZL2yd9gzLbvyNv2CaerbuLwBLn hiov2DGi1BTfMBaeXatLxBI9gBaebbnrfifHhDYfgasaacH8srps0l bbf9q8WrFfeuY=Hhbbf9v8qqaqFr0xc9pk0xbba9q8WqFfea0=yr0R Yxir=Jbba9q8aq0=yq=He9q8qqQ8frFve9Fve9Ff0dmeaabaqaciGa caGaaeqabaWaaeaadaaakabbaaaaaaaacXwyJTgapeqaa8aacaaIOa GaamitaiabgEPielaadoeacaaIPaGaamiEaiaai2dacaaIOaGaamit aiabfs5aenaaCaaaleqabaGaey4kaScaaOGaeuiLdqKaey4LIqSaam 4qaiaaiMcacaWG4bGaaGypaiaaiIcacaWGmbGaeuiLdq0aaWbaaSqa beaacqGHRaWkaaGccqGHxkcXcaWGdbGaaGykaiaaiIcacqqHuoarcq GHxkcXcaWGjbWaaSbaaSqaaiaad6gaaeqaaOGaaGykaiaadIhacaaI 9aGaaGikaiaadYeacqqHuoardaahaaWcbeqaaiabgUcaRaaakiabgE PielaadoeacaaIPaGabmiEayaaraGaaGOlaaaa@5EAC@

 Тогда (13) преобразуется в равенство

                                            z ˙ =( I N (A+BK+FC))z(L Δ + C) x ¯ . MathType@MTEF@5@5@+= feaahqart1ev3aaatCvAUfeBSjuyZL2yd9gzLbvyNv2CaerbuLwBLn hiov2DGi1BTfMBaeXatLxBI9gBaebbnrfifHhDYfgasaacH8srps0l bbf9q8WrFfeuY=Hhbbf9v8qqaqFr0xc9pk0xbba9q8WqFfea0=yr0R Yxir=Jbba9q8aq0=yq=He9q8qqQ8frFve9Fve9Ff0dmeaabaqaciGa caGaaeqabaWaaeaadaaakabbaaaaaaaacXwyJTgapeqaa8aaceWG6b GbaiaacaaI9aGaaGikaiaadMeadaWgaaWcbaGaamOtaaqabaGccqGH xkcXcaaIOaGaamyqaiabgUcaRiaadkeacaWGlbGaey4kaSIaamOrai aadoeacaaIPaGaaGykaiaadQhacqGHsislcaaIOaGaamitaiabfs5a enaaCaaaleqabaGaey4kaScaaOGaey4LIqSaam4qaiaaiMcaceWG4b GbaebacaaIUaaaaa@4D35@         (14)

 Это означает, что z MathType@MTEF@5@5@+= feaahqart1ev3aaatCvAUfeBSjuyZL2yd9gzLbvyNv2CaerbuLwBLn hiov2DGi1BTfMBaeXatLxBI9gBaebbnrfifHhDYfgasaacH8srps0l bbf9q8WrFfeuY=Hhbbf9v8qqaqFr0xc9pk0xbba9q8WqFfea0=yr0R Yxir=Jbba9q8aq0=yq=He9q8qqQ8frFve9Fve9Ff0dmeaabaqaciGa caGaaeqabaWaaeaadaaakabbaaaaaaaacXwyJTgapeqaa8aacaWG6b aaaa@34C8@  зависит не от всего вектора x MathType@MTEF@5@5@+= feaahqart1ev3aaatCvAUfeBSjuyZL2yd9gzLbvyNv2CaerbuLwBLn hiov2DGi1BTfMBaeXatLxBI9gBaebbnrfifHhDYfgasaacH8srps0l bbf9q8WrFfeuY=Hhbbf9v8qqaqFr0xc9pk0xbba9q8WqFfea0=yr0R Yxir=Jbba9q8aq0=yq=He9q8qqQ8frFve9Fve9Ff0dmeaabaqaciGa caGaaeqabaWaaeaadaaakabbaaaaaaaacXwyJTgapeqaa8aacaWG4b aaaa@34C6@ , а только от ошибки консенсуса x ¯ MathType@MTEF@5@5@+= feaahqart1ev3aaatCvAUfeBSjuyZL2yd9gzLbvyNv2CaerbuLwBLn hiov2DGi1BTfMBaeXatLxBI9gBaebbnrfifHhDYfgasaacH8srps0l bbf9q8WrFfeuY=Hhbbf9v8qqaqFr0xc9pk0xbba9q8WqFfea0=yr0R Yxir=Jbba9q8aq0=yq=He9q8qqQ8frFve9Fve9Ff0dmeaabaqaciGa caGaaeqabaWaaeaadaaakabbaaaaaaaacXwyJTgapeqaa8aaceWG4b Gbaebaaaa@34DE@ . А мы показали выше, что в установившемся режиме ошибка консенсуса ограничена. Матрица A+BK+FC MathType@MTEF@5@5@+= feaahqart1ev3aaatCvAUfeBSjuyZL2yd9gzLbvyNv2CaerbuLwBLn hiov2DGi1BTfMBaeXatLxBI9gBaebbnrfifHhDYfgasaacH8srps0l bbf9q8WrFfeuY=Hhbbf9v8qqaqFr0xc9pk0xbba9q8WqFfea0=yr0R Yxir=Jbba9q8aq0=yq=He9q8qqQ8frFve9Fve9Ff0dmeaabaqaciGa caGaaeqabaWaaeaadaaakabbaaaaaaaacXwyJTgapeqaa8aacaWGbb Gaey4kaSIaamOqaiaadUeacqGHRaWkcaWGgbGaam4qaaaa@397D@  гурвицева по условию теоремы, поэтому согласно (14) вектор z MathType@MTEF@5@5@+= feaahqart1ev3aaatCvAUfeBSjuyZL2yd9gzLbvyNv2CaerbuLwBLn hiov2DGi1BTfMBaeXatLxBI9gBaebbnrfifHhDYfgasaacH8srps0l bbf9q8WrFfeuY=Hhbbf9v8qqaqFr0xc9pk0xbba9q8WqFfea0=yr0R Yxir=Jbba9q8aq0=yq=He9q8qqQ8frFve9Fve9Ff0dmeaabaqaciGa caGaaeqabaWaaeaadaaakabbaaaaaaaacXwyJTgapeqaa8aacaWG6b aaaa@34C8@  тоже ограничен в установившемся режиме.

Вернёмся к ошибке линейного наблюдателя (10):

                                     e ˙ i =(A+FC) e i +BK δ i +B ξ ˜ i =(A+FC) e i +B f i , MathType@MTEF@5@5@+= feaahqart1ev3aaatCvAUfeBSjuyZL2yd9gzLbvyNv2CaerbuLwBLn hiov2DGi1BTfMBaeXatLxBI9gBaebbnrfifHhDYfgasaacH8srps0l bbf9q8WrFfeuY=Hhbbf9v8qqaqFr0xc9pk0xbba9q8WqFfea0=yr0R Yxir=Jbba9q8aq0=yq=He9q8qqQ8frFve9Fve9Ff0dmeaabaqaciGa caGaaeqabaWaaeaadaaakabbaaaaaaaacXwyJTgapeqaa8aaceWGLb GbaiaadaWgaaWcbaGaamyAaaqabaGccaaI9aGaaGikaiaadgeacqGH RaWkcaWGgbGaam4qaiaaiMcacaWGLbWaaSbaaSqaaiaadMgaaeqaaO Gaey4kaSIaamOqaiaadUeacqaH0oazdaWgaaWcbaGaamyAaaqabaGc cqGHRaWkcaWGcbGafqOVdGNbaGaadaWgaaWcbaGaamyAaaqabaGcca aI9aGaaGikaiaadgeacqGHRaWkcaWGgbGaam4qaiaaiMcacaWGLbWa aSbaaSqaaiaadMgaaeqaaOGaey4kaSIaamOqaiaadAgadaWgaaWcba GaamyAaaqabaGccaaISaaaaa@5319@

                                             δ i = 1 | N i | j N i z j , ξ ˜ i = 1 | N i | j N i ( ξ i ξ j ). MathType@MTEF@5@5@+= feaahqart1ev3aaatCvAUfeBSjuyZL2yd9gzLbvyNv2CaerbuLwBLn hiov2DGi1BTfMBaeXatLxBI9gBaebbnrfifHhDYfgasaacH8srps0l bbf9q8WrFfeuY=Hhbbf9v8qqaqFr0xc9pk0xbba9q8WqFfea0=yr0R Yxir=Jbba9q8aq0=yq=He9q8qqQ8frFve9Fve9Ff0dmeaabaqaciGa caGaaeqabaWaaeaadaaakabbaaaaaaaacXwyJTgapeqaa8aacqaH0o azdaWgaaWcbaGaamyAaaqabaGccaaI9aGaeyOeI0YaaSaaaeaacaaI XaaabaGaaGiFaiaad6eadaWgaaWcbaGaamyAaaqabaGccaaI8baaam aaqafabeWcbaGaamOAaiabgIGiolaad6eadaWgaaqaaiaadMgaaeqa aaqab0GaeyyeIuoakiaadQhadaWgaaWcbaGaamOAaaqabaGccaaISa GaaGzbVlqbe67a4zaaiaWaaSbaaSqaaiaadMgaaeqaaOGaaGypamaa laaabaGaaGymaaqaaiaaiYhacaWGobWaaSbaaSqaaiaadMgaaeqaaO GaaGiFaaaadaaeqbqabSqaaiaadQgacqGHiiIZcaWGobWaaSbaaeaa caWGPbaabeaaaeqaniabggHiLdGccaaIOaGaeqOVdG3aaSbaaSqaai aadMgaaeqaaOGaeyOeI0IaeqOVdG3aaSbaaSqaaiaadQgaaeqaaOGa aGykaiaai6caaaa@5FE6@

 Мы уже показали, что z i MathType@MTEF@5@5@+= feaahqart1ev3aaatCvAUfeBSjuyZL2yd9gzLbvyNv2CaerbuLwBLn hiov2DGi1BTfMBaeXatLxBI9gBaebbnrfifHhDYfgasaacH8srps0l bbf9q8WrFfeuY=Hhbbf9v8qqaqFr0xc9pk0xbba9q8WqFfea0=yr0R Yxir=Jbba9q8aq0=yq=He9q8qqQ8frFve9Fve9Ff0dmeaabaqaciGa caGaaeqabaWaaeaadaaakabbaaaaaaaacXwyJTgapeqaa8aacaWG6b WaaSbaaSqaaiaadMgaaeqaaaaa@35E2@  ограничены в установившемся режиме, ξ i MathType@MTEF@5@5@+= feaahqart1ev3aaatCvAUfeBSjuyZL2yd9gzLbvyNv2CaerbuLwBLn hiov2DGi1BTfMBaeXatLxBI9gBaebbnrfifHhDYfgasaacH8srps0l bbf9q8WrFfeuY=Hhbbf9v8qqaqFr0xc9pk0xbba9q8WqFfea0=yr0R Yxir=Jbba9q8aq0=yq=He9q8qqQ8frFve9Fve9Ff0dmeaabaqaciGa caGaaeqabaWaaeaadaaakabbaaaaaaaacXwyJTgapeqaa8aacqaH+o aEdaWgaaWcbaGaamyAaaqabaaaaa@36A6@  ограничены по условию теоремы, поэтому δ i MathType@MTEF@5@5@+= feaahqart1ev3aaatCvAUfeBSjuyZL2yd9gzLbvyNv2CaerbuLwBLn hiov2DGi1BTfMBaeXatLxBI9gBaebbnrfifHhDYfgasaacH8srps0l bbf9q8WrFfeuY=Hhbbf9v8qqaqFr0xc9pk0xbba9q8WqFfea0=yr0R Yxir=Jbba9q8aq0=yq=He9q8qqQ8frFve9Fve9Ff0dmeaabaqaciGa caGaaeqabaWaaeaadaaakabbaaaaaaaacXwyJTgapeqaa8aacqaH0o azdaWgaaWcbaGaamyAaaqabaaaaa@3688@ , ξ ˜ i MathType@MTEF@5@5@+= feaahqart1ev3aaatCvAUfeBSjuyZL2yd9gzLbvyNv2CaerbuLwBLn hiov2DGi1BTfMBaeXatLxBI9gBaebbnrfifHhDYfgasaacH8srps0l bbf9q8WrFfeuY=Hhbbf9v8qqaqFr0xc9pk0xbba9q8WqFfea0=yr0R Yxir=Jbba9q8aq0=yq=He9q8qqQ8frFve9Fve9Ff0dmeaabaqaciGa caGaaeqabaWaaeaadaaakabbaaaaaaaacXwyJTgapeqaa8aacuaH+o aEgaacamaaBaaaleaacaWGPbaabeaaaaa@36B5@  также ограничены, а значит, ограничена и помеха f i MathType@MTEF@5@5@+= feaahqart1ev3aaatCvAUfeBSjuyZL2yd9gzLbvyNv2CaerbuLwBLn hiov2DGi1BTfMBaeXatLxBI9gBaebbnrfifHhDYfgasaacH8srps0l bbf9q8WrFfeuY=Hhbbf9v8qqaqFr0xc9pk0xbba9q8WqFfea0=yr0R Yxir=Jbba9q8aq0=yq=He9q8qqQ8frFve9Fve9Ff0dmeaabaqaciGa caGaaeqabaWaaeaadaaakabbaaaaaaaacXwyJTgapeqaa8aacaWGMb WaaSbaaSqaaiaadMgaaeqaaaaa@35CE@  в системе

                                                     e ˙ i =(A+FC) e i +B f i , y i e =C e i . MathType@MTEF@5@5@+= feaahqart1ev3aaatCvAUfeBSjuyZL2yd9gzLbvyNv2CaerbuLwBLn hiov2DGi1BTfMBaeXatLxBI9gBaebbnrfifHhDYfgasaacH8srps0l bbf9q8WrFfeuY=Hhbbf9v8qqaqFr0xc9pk0xbba9q8WqFfea0=yr0R Yxir=Jbba9q8aq0=yq=He9q8qqQ8frFve9Fve9Ff0dmeaabaqaciGa caGaaeqabaWaaeaadaaakabbaaaaaaaacXwyJTgapeqaa8aaceWGLb GbaiaadaWgaaWcbaGaamyAaaqabaGccaaI9aGaaGikaiaadgeacqGH RaWkcaWGgbGaam4qaiaaiMcacaWGLbWaaSbaaSqaaiaadMgaaeqaaO Gaey4kaSIaamOqaiaadAgadaWgaaWcbaGaamyAaaqabaGccaaISaGa aGzbVlaadMhadaqhaaWcbaGaamyAaaqaaiaadwgaaaGccaaI9aGaam 4qaiaadwgadaWgaaWcbaGaamyAaaqabaGccaaIUaaaaa@4AB3@

 По условию теоремы  матрица A+FC MathType@MTEF@5@5@+= feaahqart1ev3aaatCvAUfeBSjuyZL2yd9gzLbvyNv2CaerbuLwBLn hiov2DGi1BTfMBaeXatLxBI9gBaebbnrfifHhDYfgasaacH8srps0l bbf9q8WrFfeuY=Hhbbf9v8qqaqFr0xc9pk0xbba9q8WqFfea0=yr0R Yxir=Jbba9q8aq0=yq=He9q8qqQ8frFve9Fve9Ff0dmeaabaqaciGa caGaaeqabaWaaeaadaaakabbaaaaaaaacXwyJTgapeqaa8aacaWGbb Gaey4kaSIaamOraiaadoeaaaa@3704@  гурвицева, а система (A,B,C) MathType@MTEF@5@5@+= feaahqart1ev3aaatCvAUfeBSjuyZL2yd9gzLbvyNv2CaerbuLwBLn hiov2DGi1BTfMBaeXatLxBI9gBaebbnrfifHhDYfgasaacH8srps0l bbf9q8WrFfeuY=Hhbbf9v8qqaqFr0xc9pk0xbba9q8WqFfea0=yr0R Yxir=Jbba9q8aq0=yq=He9q8qqQ8frFve9Fve9Ff0dmeaabaqaciGa caGaaeqabaWaaeaadaaakabbaaaaaaaacXwyJTgapeqaa8aacaaIOa GaamyqaiaaiYcacaWGcbGaaGilaiaadoeacaaIPaaaaa@38EF@  обладает устойчивой нулевой динамикой. Мы доказали, что, начиная с некоторого момента времени, f i MathType@MTEF@5@5@+= feaahqart1ev3aaatCvAUfeBSjuyZL2yd9gzLbvyNv2CaerbuLwBLn hiov2DGi1BTfMBaeXatLxBI9gBaebbnrfifHhDYfgasaacH8srps0l bbf9q8WrFfeuY=Hhbbf9v8qqaqFr0xc9pk0xbba9q8WqFfea0=yr0R Yxir=Jbba9q8aq0=yq=He9q8qqQ8frFve9Fve9Ff0dmeaabaqaciGa caGaaeqabaWaaeaadaaakabbaaaaaaaacXwyJTgapeqaa8aacaWGMb WaaSbaaSqaaiaadMgaaeqaaaaa@35CE@  ограничена известной мажорантой, поэтому справедлива теорема  о супер-скручивающем наблюдателе. Значит, существуют параметры σ i MathType@MTEF@5@5@+= feaahqart1ev3aaatCvAUfeBSjuyZL2yd9gzLbvyNv2CaerbuLwBLn hiov2DGi1BTfMBaeXatLxBI9gBaebbnrfifHhDYfgasaacH8srps0l bbf9q8WrFfeuY=Hhbbf9v8qqaqFr0xc9pk0xbba9q8WqFfea0=yr0R Yxir=Jbba9q8aq0=yq=He9q8qqQ8frFve9Fve9Ff0dmeaabaqaciGa caGaaeqabaWaaeaadaaakabbaaaaaaaacXwyJTgapeqaa8aacqaHdp WCdaWgaaWcbaGaamyAaaqabaaaaa@36A6@ , μ i MathType@MTEF@5@5@+= feaahqart1ev3aaatCvAUfeBSjuyZL2yd9gzLbvyNv2CaerbuLwBLn hiov2DGi1BTfMBaeXatLxBI9gBaebbnrfifHhDYfgasaacH8srps0l bbf9q8WrFfeuY=Hhbbf9v8qqaqFr0xc9pk0xbba9q8WqFfea0=yr0R Yxir=Jbba9q8aq0=yq=He9q8qqQ8frFve9Fve9Ff0dmeaabaqaciGa caGaaeqabaWaaeaadaaakabbaaaaaaaacXwyJTgapeqaa8aacqaH8o qBdaWgaaWcbaGaamyAaaqabaaaaa@3699@ , при которых каскадный наблюдатель e ^ i = S σ i , μ i ( e i ) MathType@MTEF@5@5@+= feaahqart1ev3aaatCvAUfeBSjuyZL2yd9gzLbvyNv2CaerbuLwBLn hiov2DGi1BTfMBaeXatLxBI9gBaebbnrfifHhDYfgasaacH8srps0l bbf9q8WrFfeuY=Hhbbf9v8qqaqFr0xc9pk0xbba9q8WqFfea0=yr0R Yxir=Jbba9q8aq0=yq=He9q8qqQ8frFve9Fve9Ff0dmeaabaqaciGa caGaaeqabaWaaeaadaaakabbaaaaaaaacXwyJTgapeqaa8aaceWGLb GbaKaadaWgaaWcbaGaamyAaaqabaGccaaI9aGaam4uamaaBaaaleaa cqaHdpWCdaWgaaqaaiaadMgaaeqaaiaaiYcacqaH8oqBdaWgaaqaai aadMgaaeqaaaqabaGccaaIOaGaamyzamaaBaaaleaacaWGPbaabeaa kiaaiMcaaaa@417C@  даёт асимптотически точную оценку e i MathType@MTEF@5@5@+= feaahqart1ev3aaatCvAUfeBSjuyZL2yd9gzLbvyNv2CaerbuLwBLn hiov2DGi1BTfMBaeXatLxBI9gBaebbnrfifHhDYfgasaacH8srps0l bbf9q8WrFfeuY=Hhbbf9v8qqaqFr0xc9pk0xbba9q8WqFfea0=yr0R Yxir=Jbba9q8aq0=yq=He9q8qqQ8frFve9Fve9Ff0dmeaabaqaciGa caGaaeqabaWaaeaadaaakabbaaaaaaaacXwyJTgapeqaa8aacaWGLb WaaSbaaSqaaiaadMgaaeqaaaaa@35CD@ .

Если выбрать f 0 MathType@MTEF@5@5@+= feaahqart1ev3aaatCvAUfeBSjuyZL2yd9gzLbvyNv2CaerbuLwBLn hiov2DGi1BTfMBaeXatLxBI9gBaebbnrfifHhDYfgasaacH8srps0l bbf9q8WrFfeuY=Hhbbf9v8qqaqFr0xc9pk0xbba9q8WqFfea0=yr0R Yxir=Jbba9q8aq0=yq=He9q8qqQ8frFve9Fve9Ff0dmeaabaqaciGa caGaaeqabaWaaeaadaaakabbaaaaaaaacXwyJTgapeqaa8aacaWGMb WaaSbaaSqaaiaaicdaaeqaaaaa@359A@  как максимальную мажоранту для f i MathType@MTEF@5@5@+= feaahqart1ev3aaatCvAUfeBSjuyZL2yd9gzLbvyNv2CaerbuLwBLn hiov2DGi1BTfMBaeXatLxBI9gBaebbnrfifHhDYfgasaacH8srps0l bbf9q8WrFfeuY=Hhbbf9v8qqaqFr0xc9pk0xbba9q8WqFfea0=yr0R Yxir=Jbba9q8aq0=yq=He9q8qqQ8frFve9Fve9Ff0dmeaabaqaciGa caGaaeqabaWaaeaadaaakabbaaaaaaaacXwyJTgapeqaa8aacaWGMb WaaSbaaSqaaiaadMgaaeqaaaaa@35CE@ : f i f 0 MathType@MTEF@5@5@+= feaahqart1ev3aaatCvAUfeBSjuyZL2yd9gzLbvyNv2CaerbuLwBLn hiov2DGi1BTfMBaeXatLxBI9gBaebbnrfifHhDYfgasaacH8srps0l bbf9q8WrFfeuY=Hhbbf9v8qqaqFr0xc9pk0xbba9q8WqFfea0=yr0R Yxir=Jbba9q8aq0=yq=He9q8qqQ8frFve9Fve9Ff0dmeaabaqaciGa caGaaeqabaWaaeaadaaakabbaaaaaaaacXwyJTgapeqaaebbfv3ySL gzGueE0jxyaGaba8aacqWFLicucaWGMbWaaSbaaSqaaiaadMgaaeqa aOGae8xjIaLaeyizImQaamOzamaaBaaaleaacaaIWaaabeaaaaa@4031@ , то существуют параметры σ MathType@MTEF@5@5@+= feaahqart1ev3aaatCvAUfeBSjuyZL2yd9gzLbvyNv2CaerbuLwBLn hiov2DGi1BTfMBaeXatLxBI9gBaebbnrfifHhDYfgasaacH8srps0l bbf9q8WrFfeuY=Hhbbf9v8qqaqFr0xc9pk0xbba9q8WqFfea0=yr0R Yxir=Jbba9q8aq0=yq=He9q8qqQ8frFve9Fve9Ff0dmeaabaqaciGa caGaaeqabaWaaeaadaaakabbaaaaaaaacXwyJTgapeqaa8aacqaHdp WCaaa@358C@ , μ MathType@MTEF@5@5@+= feaahqart1ev3aaatCvAUfeBSjuyZL2yd9gzLbvyNv2CaerbuLwBLn hiov2DGi1BTfMBaeXatLxBI9gBaebbnrfifHhDYfgasaacH8srps0l bbf9q8WrFfeuY=Hhbbf9v8qqaqFr0xc9pk0xbba9q8WqFfea0=yr0R Yxir=Jbba9q8aq0=yq=He9q8qqQ8frFve9Fve9Ff0dmeaabaqaciGa caGaaeqabaWaaeaadaaakabbaaaaaaaacXwyJTgapeqaa8aacqaH8o qBaaa@357F@ , соответствующие f 0 MathType@MTEF@5@5@+= feaahqart1ev3aaatCvAUfeBSjuyZL2yd9gzLbvyNv2CaerbuLwBLn hiov2DGi1BTfMBaeXatLxBI9gBaebbnrfifHhDYfgasaacH8srps0l bbf9q8WrFfeuY=Hhbbf9v8qqaqFr0xc9pk0xbba9q8WqFfea0=yr0R Yxir=Jbba9q8aq0=yq=He9q8qqQ8frFve9Fve9Ff0dmeaabaqaciGa caGaaeqabaWaaeaadaaakabbaaaaaaaacXwyJTgapeqaa8aacaWGMb WaaSbaaSqaaiaaicdaaeqaaaaa@359A@  и одинаковые для всех агентов, при которых e ^ i = S σ,μ ( e i ) MathType@MTEF@5@5@+= feaahqart1ev3aaatCvAUfeBSjuyZL2yd9gzLbvyNv2CaerbuLwBLn hiov2DGi1BTfMBaeXatLxBI9gBaebbnrfifHhDYfgasaacH8srps0l bbf9q8WrFfeuY=Hhbbf9v8qqaqFr0xc9pk0xbba9q8WqFfea0=yr0R Yxir=Jbba9q8aq0=yq=He9q8qqQ8frFve9Fve9Ff0dmeaabaqaciGa caGaaeqabaWaaeaadaaakabbaaaaaaaacXwyJTgapeqaa8aaceWGLb GbaKaadaWgaaWcbaGaamyAaaqabaGccaaI9aGaam4uamaaBaaaleaa cqaHdpWCcaaISaGaeqiVd0gabeaakiaaiIcacaWGLbWaaSbaaSqaai aadMgaaeqaaOGaaGykaaaa@3F5E@  даёт асимптотически точную оценку e i MathType@MTEF@5@5@+= feaahqart1ev3aaatCvAUfeBSjuyZL2yd9gzLbvyNv2CaerbuLwBLn hiov2DGi1BTfMBaeXatLxBI9gBaebbnrfifHhDYfgasaacH8srps0l bbf9q8WrFfeuY=Hhbbf9v8qqaqFr0xc9pk0xbba9q8WqFfea0=yr0R Yxir=Jbba9q8aq0=yq=He9q8qqQ8frFve9Fve9Ff0dmeaabaqaciGa caGaaeqabaWaaeaadaaakabbaaaaaaaacXwyJTgapeqaa8aacaWGLb WaaSbaaSqaaiaadMgaaeqaaaaa@35CD@ . Теорема доказана.

4. ИСПОЛЬЗОВАНИЕ НОВОЙ ОЦЕНКИ В УПРАВЛЕНИИ

Мы определили, при каких условиях можно построить наблюдатель, дающий асимптотически точную оценку. Обычно при построении наблюдателя стараются компенсировать управление, чтобы оно не влияло на оценку. Это невозможно, когда агент не знает управление соседей, поэтому использование оценки в управлении влияет на наблюдатель: управление становится новой помехой в наблюдателе. Далее покажем, когда можно использовать полученную оценку в управлении.

Рассмотрим систему (12), добавив новое управление g MathType@MTEF@5@5@+= feaahqart1ev3aaatCvAUfeBSjuyZL2yd9gzLbvyNv2CaerbuLwBLn hiov2DGi1BTfMBaeXatLxBI9gBaebbnrfifHhDYfgasaacH8srps0l bbf9q8WrFfeuY=Hhbbf9v8qqaqFr0xc9pk0xbba9q8WqFfea0=yr0R Yxir=Jbba9q8aq0=yq=He9q8qqQ8frFve9Fve9Ff0dmeaabaqaciGa caGaaeqabaWaaeaadaaakabbaaaaaaaacXwyJTgapeqaa8aacaWGNb aaaa@34B5@ , которое учитывает новую оценку:

          x ˙ i =A x i +B(K z i +g( z i , e ^ i ))+B ξ i , z ˙ i =A z i +BK z i +F(C z i y i ), y i =C v i , MathType@MTEF@5@5@+= feaahqart1ev3aaatCvAUfeBSjuyZL2yd9gzLbvyNv2CaerbuLwBLn hiov2DGi1BTfMBaeXatLxBI9gBaebbnrfifHhDYfgasaacH8srps0l bbf9q8WrFfeuY=Hhbbf9v8qqaqFr0xc9pk0xbba9q8WqFfea0=yr0R Yxir=Jbba9q8aq0=yq=He9q8qqQ8frFve9Fve9Ff0dmeaabaqaciGa caGaaeqabaWaaeaadaaakabbaaaaaaaacXwyJTgapeqaa8aaceWG4b GbaiaadaWgaaWcbaGaamyAaaqabaGccaaI9aGaamyqaiaadIhadaWg aaWcbaGaamyAaaqabaGccqGHRaWkcaWGcbGaaGikaiaadUeacaWG6b WaaSbaaSqaaiaadMgaaeqaaOGaey4kaSIaam4zaiaaiIcacaWG6bWa aSbaaSqaaiaadMgaaeqaaOGaaGilaiqadwgagaqcamaaBaaaleaaca WGPbaabeaakiaaiMcacaaIPaGaey4kaSIaamOqaiabe67a4naaBaaa leaacaWGPbaabeaakiaaiYcacaaMf8UabmOEayaacaWaaSbaaSqaai aadMgaaeqaaOGaaGypaiaadgeacaWG6bWaaSbaaSqaaiaadMgaaeqa aOGaey4kaSIaamOqaiaadUeacaWG6bWaaSbaaSqaaiaadMgaaeqaaO Gaey4kaSIaamOraiaaiIcacaWGdbGaamOEamaaBaaaleaacaWGPbaa beaakiabgkHiTiaadMhadaWgaaWcbaGaamyAaaqabaGccaaIPaGaaG ilaiaaywW7caWG5bWaaSbaaSqaaiaadMgaaeqaaOGaaGypaiaadoea caWG2bWaaSbaaSqaaiaadMgaaeqaaOGaaGilaaaa@6AEE@

                                   v i = 1 | N i | j N i ( x i x j ), e i = v i z i , e ^ i = S σ,μ (C e i ). MathType@MTEF@5@5@+= feaahqart1ev3aaatCvAUfeBSjuyZL2yd9gzLbvyNv2CaerbuLwBLn hiov2DGi1BTfMBaeXatLxBI9gBaebbnrfifHhDYfgasaacH8srps0l bbf9q8WrFfeuY=Hhbbf9v8qqaqFr0xc9pk0xbba9q8WqFfea0=yr0R Yxir=Jbba9q8aq0=yq=He9q8qqQ8frFve9Fve9Ff0dmeaabaqaciGa caGaaeqabaWaaeaadaaakabbaaaaaaaacXwyJTgapeqaa8aacaWG2b WaaSbaaSqaaiaadMgaaeqaaOGaaGypamaalaaabaGaaGymaaqaaiaa iYhacaWGobWaaSbaaSqaaiaadMgaaeqaaOGaaGiFaaaadaaeqbqabS qaaiaadQgacqGHiiIZcaWGobWaaSbaaeaacaWGPbaabeaaaeqaniab ggHiLdGccaaIOaGaamiEamaaBaaaleaacaWGPbaabeaakiabgkHiTi aadIhadaWgaaWcbaGaamOAaaqabaGccaaIPaGaaGilaiaaywW7caWG LbWaaSbaaSqaaiaadMgaaeqaaOGaaGypaiaadAhadaWgaaWcbaGaam yAaaqabaGccqGHsislcaWG6bWaaSbaaSqaaiaadMgaaeqaaOGaaGil aiaaywW7ceWGLbGbaKaadaWgaaWcbaGaamyAaaqabaGccaaI9aGaam 4uamaaBaaaleaacqaHdpWCcaaISaGaeqiVd0gabeaakiaaiIcacaWG dbGaamyzamaaBaaaleaacaWGPbaabeaakiaaiMcacaaIUaaaaa@6236@         (15)

 Следствие. Пусть для системы (15) выполняются условия теоремы . Пусть дополнительно функция g MathType@MTEF@5@5@+= feaahqart1ev3aaatCvAUfeBSjuyZL2yd9gzLbvyNv2CaerbuLwBLn hiov2DGi1BTfMBaeXatLxBI9gBaebbnrfifHhDYfgasaacH8srps0l bbf9q8WrFfeuY=Hhbbf9v8qqaqFr0xc9pk0xbba9q8WqFfea0=yr0R Yxir=Jbba9q8aq0=yq=He9q8qqQ8frFve9Fve9Ff0dmeaabaqaciGa caGaaeqabaWaaeaadaaakabbaaaaaaaacXwyJTgapeqaa8aacaWGNb aaaa@34B5@  ограничена известной мажорантой. Тогда существуют коэффициенты σ + n1 MathType@MTEF@5@5@+= feaahqart1ev3aaatCvAUfeBSjuyZL2yd9gzLbvyNv2CaerbuLwBLn hiov2DGi1BTfMBaeXatLxBI9gBaebbnrfifHhDYfgasaacH8srps0l bbf9q8WrFfeuY=Hhbbf9v8qqaqFr0xc9pk0xbba9q8WqFfea0=yr0R Yxir=Jbba9q8aq0=yq=He9q8qqQ8frFve9Fve9Ff0dmeaabaqaciGa caGaaeqabaWaaeaadaaakabbaaaaaaaacXwyJTgapeqaa8aacqaHdp WCcqGHiiIZtuuDJXwAK1uy0HMmaeHbfv3ySLgzG0uy0HgiuD3BaGab aiab=1risnaaDaaaleaacqGHRaWkaeaacaWGUbGaeyOeI0IaaGymaa aaaaa@4571@ , μ + n1 MathType@MTEF@5@5@+= feaahqart1ev3aaatCvAUfeBSjuyZL2yd9gzLbvyNv2CaerbuLwBLn hiov2DGi1BTfMBaeXatLxBI9gBaebbnrfifHhDYfgasaacH8srps0l bbf9q8WrFfeuY=Hhbbf9v8qqaqFr0xc9pk0xbba9q8WqFfea0=yr0R Yxir=Jbba9q8aq0=yq=He9q8qqQ8frFve9Fve9Ff0dmeaabaqaciGa caGaaeqabaWaaeaadaaakabbaaaaaaaacXwyJTgapeqaa8aacqaH8o qBcqGHiiIZtuuDJXwAK1uy0HMmaeHbfv3ySLgzG0uy0HgiuD3BaGab aiab=1risnaaDaaaleaacqGHRaWkaeaacaWGUbGaeyOeI0IaaGymaa aaaaa@4564@ , одинаковые для всех агентов, такие, что каскадный наблюдатель e ^ i MathType@MTEF@5@5@+= feaahqart1ev3aaatCvAUfeBSjuyZL2yd9gzLbvyNv2CaerbuLwBLn hiov2DGi1BTfMBaeXatLxBI9gBaebbnrfifHhDYfgasaacH8srps0l bbf9q8WrFfeuY=Hhbbf9v8qqaqFr0xc9pk0xbba9q8WqFfea0=yr0R Yxir=Jbba9q8aq0=yq=He9q8qqQ8frFve9Fve9Ff0dmeaabaqaciGa caGaaeqabaWaaeaadaaakabbaaaaaaaacXwyJTgapeqaa8aaceWGLb GbaKaadaWgaaWcbaGaamyAaaqabaaaaa@35DD@  даёт асимптотически точную оценку e i = v i z i MathType@MTEF@5@5@+= feaahqart1ev3aaatCvAUfeBSjuyZL2yd9gzLbvyNv2CaerbuLwBLn hiov2DGi1BTfMBaeXatLxBI9gBaebbnrfifHhDYfgasaacH8srps0l bbf9q8WrFfeuY=Hhbbf9v8qqaqFr0xc9pk0xbba9q8WqFfea0=yr0R Yxir=Jbba9q8aq0=yq=He9q8qqQ8frFve9Fve9Ff0dmeaabaqaciGa caGaaeqabaWaaeaadaaakabbaaaaaaaacXwyJTgapeqaa8aacaWGLb WaaSbaaSqaaiaadMgaaeqaaOGaaGypaiaadAhadaWgaaWcbaGaamyA aaqabaGccqGHsislcaWG6bWaaSbaaSqaaiaadMgaaeqaaaaa@3BC3@ .

Доказательство. Пусть функция g MathType@MTEF@5@5@+= feaahqart1ev3aaatCvAUfeBSjuyZL2yd9gzLbvyNv2CaerbuLwBLn hiov2DGi1BTfMBaeXatLxBI9gBaebbnrfifHhDYfgasaacH8srps0l bbf9q8WrFfeuY=Hhbbf9v8qqaqFr0xc9pk0xbba9q8WqFfea0=yr0R Yxir=Jbba9q8aq0=yq=He9q8qqQ8frFve9Fve9Ff0dmeaabaqaciGa caGaaeqabaWaaeaadaaakabbaaaaaaaacXwyJTgapeqaa8aacaWGNb aaaa@34B5@  ограничена мажорантой g 0 MathType@MTEF@5@5@+= feaahqart1ev3aaatCvAUfeBSjuyZL2yd9gzLbvyNv2CaerbuLwBLn hiov2DGi1BTfMBaeXatLxBI9gBaebbnrfifHhDYfgasaacH8srps0l bbf9q8WrFfeuY=Hhbbf9v8qqaqFr0xc9pk0xbba9q8WqFfea0=yr0R Yxir=Jbba9q8aq0=yq=He9q8qqQ8frFve9Fve9Ff0dmeaabaqaciGa caGaaeqabaWaaeaadaaakabbaaaaaaaacXwyJTgapeqaa8aacaWGNb WaaSbaaSqaaiaaicdaaeqaaaaa@359B@ . Пусть помеха ξ i MathType@MTEF@5@5@+= feaahqart1ev3aaatCvAUfeBSjuyZL2yd9gzLbvyNv2CaerbuLwBLn hiov2DGi1BTfMBaeXatLxBI9gBaebbnrfifHhDYfgasaacH8srps0l bbf9q8WrFfeuY=Hhbbf9v8qqaqFr0xc9pk0xbba9q8WqFfea0=yr0R Yxir=Jbba9q8aq0=yq=He9q8qqQ8frFve9Fve9Ff0dmeaabaqaciGa caGaaeqabaWaaeaadaaakabbaaaaaaaacXwyJTgapeqaa8aacqaH+o aEdaWgaaWcbaGaamyAaaqabaaaaa@36A6@  ограничена мажорантой ξ 0 MathType@MTEF@5@5@+= feaahqart1ev3aaatCvAUfeBSjuyZL2yd9gzLbvyNv2CaerbuLwBLn hiov2DGi1BTfMBaeXatLxBI9gBaebbnrfifHhDYfgasaacH8srps0l bbf9q8WrFfeuY=Hhbbf9v8qqaqFr0xc9pk0xbba9q8WqFfea0=yr0R Yxir=Jbba9q8aq0=yq=He9q8qqQ8frFve9Fve9Ff0dmeaabaqaciGa caGaaeqabaWaaeaadaaakabbaaaaaaaacXwyJTgapeqaa8aacqaH+o aEdaWgaaWcbaGaaGimaaqabaaaaa@3672@ . Тогда, если считать g MathType@MTEF@5@5@+= feaahqart1ev3aaatCvAUfeBSjuyZL2yd9gzLbvyNv2CaerbuLwBLn hiov2DGi1BTfMBaeXatLxBI9gBaebbnrfifHhDYfgasaacH8srps0l bbf9q8WrFfeuY=Hhbbf9v8qqaqFr0xc9pk0xbba9q8WqFfea0=yr0R Yxir=Jbba9q8aq0=yq=He9q8qqQ8frFve9Fve9Ff0dmeaabaqaciGa caGaaeqabaWaaeaadaaakabbaaaaaaaacXwyJTgapeqaa8aacaWGNb aaaa@34B5@  новой помехой и соединить её с ξ MathType@MTEF@5@5@+= feaahqart1ev3aaatCvAUfeBSjuyZL2yd9gzLbvyNv2CaerbuLwBLn hiov2DGi1BTfMBaeXatLxBI9gBaebbnrfifHhDYfgasaacH8srps0l bbf9q8WrFfeuY=Hhbbf9v8qqaqFr0xc9pk0xbba9q8WqFfea0=yr0R Yxir=Jbba9q8aq0=yq=He9q8qqQ8frFve9Fve9Ff0dmeaabaqaciGa caGaaeqabaWaaeaadaaakabbaaaaaaaacXwyJTgapeqaa8aacqaH+o aEaaa@358C@ , суммарная помеха не будет превышать g 0 + ξ 0 MathType@MTEF@5@5@+= feaahqart1ev3aaatCvAUfeBSjuyZL2yd9gzLbvyNv2CaerbuLwBLn hiov2DGi1BTfMBaeXatLxBI9gBaebbnrfifHhDYfgasaacH8srps0l bbf9q8WrFfeuY=Hhbbf9v8qqaqFr0xc9pk0xbba9q8WqFfea0=yr0R Yxir=Jbba9q8aq0=yq=He9q8qqQ8frFve9Fve9Ff0dmeaabaqaciGa caGaaeqabaWaaeaadaaakabbaaaaaaaacXwyJTgapeqaa8aacaWGNb WaaSbaaSqaaiaaicdaaeqaaOGaey4kaSIaeqOVdG3aaSbaaSqaaiaa icdaaeqaaaaa@3930@ . Далее нужно использовать теорему , заменив ξ MathType@MTEF@5@5@+= feaahqart1ev3aaatCvAUfeBSjuyZL2yd9gzLbvyNv2CaerbuLwBLn hiov2DGi1BTfMBaeXatLxBI9gBaebbnrfifHhDYfgasaacH8srps0l bbf9q8WrFfeuY=Hhbbf9v8qqaqFr0xc9pk0xbba9q8WqFfea0=yr0R Yxir=Jbba9q8aq0=yq=He9q8qqQ8frFve9Fve9Ff0dmeaabaqaciGa caGaaeqabaWaaeaadaaakabbaaaaaaaacXwyJTgapeqaa8aacqaH+o aEaaa@358C@  на суммарную помеху. Так как условия теоремы  выполняются, то существуют коэффициенты наблюдателя, гарантирующие асимптотически точную оценку.

5. МОДЕЛИРОВАНИЕ

Покажем работу нового подхода на примере задачи из п. 3 про сравнение протоколов. Рассмотрим линейный протокол без коммуникации

x ˙ i =A x i +BK z i +B ξ i , z ˙ i =A z i +BK z i +F(C z i y i ), v i = 1 | N i | j N i ( x i x j ), y i =C v i MathType@MTEF@5@5@+= feaahqart1ev3aaatCvAUfeBSjuyZL2yd9gzLbvyNv2CaerbuLwBLn hiov2DGi1BTfMBaeXatLxBI9gBaebbnrfifHhDYfgasaacH8srps0l bbf9q8WrFfeuY=Hhbbf9v8qqaqFr0xc9pk0xbba9q8WqFfea0=yr0R Yxir=Jbba9q8aq0=yq=He9q8qqQ8frFve9Fve9Ff0dmeaabaqaciGa caGaaeqabaWaaeaadaaakabbaaaaaaaacXwyJTgapeqaa8aaceWG4b GbaiaadaWgaaWcbaGaamyAaaqabaGccaaI9aGaamyqaiaadIhadaWg aaWcbaGaamyAaaqabaGccqGHRaWkcaWGcbGaam4saiaadQhadaWgaa WcbaGaamyAaaqabaGccqGHRaWkcaWGcbGaeqOVdG3aaSbaaSqaaiaa dMgaaeqaaOGaaGilaiaaywW7ceWG6bGbaiaadaWgaaWcbaGaamyAaa qabaGccaaI9aGaamyqaiaadQhadaWgaaWcbaGaamyAaaqabaGccqGH RaWkcaWGcbGaam4saiaadQhadaWgaaWcbaGaamyAaaqabaGccqGHRa WkcaWGgbGaaGikaiaadoeacaWG6bWaaSbaaSqaaiaadMgaaeqaaOGa eyOeI0IaamyEamaaBaaaleaacaWGPbaabeaakiaaiMcacaaISaGaaG zbVlaadAhadaWgaaWcbaGaamyAaaqabaGccaaI9aWaaSaaaeaacaaI XaaabaGaaGiFaiaad6eadaWgaaWcbaGaamyAaaqabaGccaaI8baaam aaqafabeWcbaGaamOAaiabgIGiolaad6eadaWgaaqaaiaadMgaaeqa aaqab0GaeyyeIuoakiaaiIcacaWG4bWaaSbaaSqaaiaadMgaaeqaaO GaeyOeI0IaamiEamaaBaaaleaacaWGQbaabeaakiaaiMcacaaISaGa aGzbVlaadMhadaWgaaWcbaGaamyAaaqabaGccaaI9aGaam4qaiaadA hadaWgaaWcbaGaamyAaaqabaaaaa@77AF@

 и новый подход, где добавляется каскадный наблюдатель и ограниченное управление

                     x ˙ i =A x i +BK z i +B ξ i +Bg( z i , e ^ i ), z ˙ i =A z i +BK z i +F(C z i y i ), MathType@MTEF@5@5@+= feaahqart1ev3aaatCvAUfeBSjuyZL2yd9gzLbvyNv2CaerbuLwBLn hiov2DGi1BTfMBaeXatLxBI9gBaebbnrfifHhDYfgasaacH8srps0l bbf9q8WrFfeuY=Hhbbf9v8qqaqFr0xc9pk0xbba9q8WqFfea0=yr0R Yxir=Jbba9q8aq0=yq=He9q8qqQ8frFve9Fve9Ff0dmeaabaqaciGa caGaaeqabaWaaeaadaaakabbaaaaaaaacXwyJTgapeqaa8aaceWG4b GbaiaadaWgaaWcbaGaamyAaaqabaGccaaI9aGaamyqaiaadIhadaWg aaWcbaGaamyAaaqabaGccqGHRaWkcaWGcbGaam4saiaadQhadaWgaa WcbaGaamyAaaqabaGccqGHRaWkcaWGcbGaeqOVdG3aaSbaaSqaaiaa dMgaaeqaaOGaey4kaSIaamOqaiaadEgacaaIOaGaamOEamaaBaaale aacaWGPbaabeaakiaaiYcaceWGLbGbaKaadaWgaaWcbaGaamyAaaqa baGccaaIPaGaaGilaiaaywW7ceWG6bGbaiaadaWgaaWcbaGaamyAaa qabaGccaaI9aGaamyqaiaadQhadaWgaaWcbaGaamyAaaqabaGccqGH RaWkcaWGcbGaam4saiaadQhadaWgaaWcbaGaamyAaaqabaGccqGHRa WkcaWGgbGaaGikaiaadoeacaWG6bWaaSbaaSqaaiaadMgaaeqaaOGa eyOeI0IaamyEamaaBaaaleaacaWGPbaabeaakiaaiMcacaaISaaaaa@623C@

                        v i = 1 | N i | j N i ( x i x j ), y i =C v i , e i = v i z i , e ^ i = S σ,μ (C e i ). MathType@MTEF@5@5@+= feaahqart1ev3aaatCvAUfeBSjuyZL2yd9gzLbvyNv2CaerbuLwBLn hiov2DGi1BTfMBaeXatLxBI9gBaebbnrfifHhDYfgasaacH8srps0l bbf9q8WrFfeuY=Hhbbf9v8qqaqFr0xc9pk0xbba9q8WqFfea0=yr0R Yxir=Jbba9q8aq0=yq=He9q8qqQ8frFve9Fve9Ff0dmeaabaqaciGa caGaaeqabaWaaeaadaaakabbaaaaaaaacXwyJTgapeqaa8aacaWG2b WaaSbaaSqaaiaadMgaaeqaaOGaaGypamaalaaabaGaaGymaaqaaiaa iYhacaWGobWaaSbaaSqaaiaadMgaaeqaaOGaaGiFaaaadaaeqbqabS qaaiaadQgacqGHiiIZcaWGobWaaSbaaeaacaWGPbaabeaaaeqaniab ggHiLdGccaaIOaGaamiEamaaBaaaleaacaWGPbaabeaakiabgkHiTi aadIhadaWgaaWcbaGaamOAaaqabaGccaaIPaGaaGilaiaaywW7caWG 5bWaaSbaaSqaaiaadMgaaeqaaOGaaGypaiaadoeacaWG2bWaaSbaaS qaaiaadMgaaeqaaOGaaGilaiaaywW7caWGLbWaaSbaaSqaaiaadMga aeqaaOGaaGypaiaadAhadaWgaaWcbaGaamyAaaqabaGccqGHsislca WG6bWaaSbaaSqaaiaadMgaaeqaaOGaaGilaiaaywW7ceWGLbGbaKaa daWgaaWcbaGaamyAaaqabaGccaaI9aGaam4uamaaBaaaleaacqaHdp WCcaaISaGaeqiVd0gabeaakiaaiIcacaWGdbGaamyzamaaBaaaleaa caWGPbaabeaakiaaiMcacaaIUaaaaa@6A4A@

Чтобы сравнить прежний и новый подходы, проведём следующий численный эксперимент.

1. Зафиксируем число агентов, связи между ними ( N i ) MathType@MTEF@5@5@+= feaahqart1ev3aaatCvAUfeBSjuyZL2yd9gzLbvyNv2CaerbuLwBLn hiov2DGi1BTfMBaeXatLxBI9gBaebbnrfifHhDYfgasaacH8srps0l bbf9q8WrFfeuY=Hhbbf9v8qqaqFr0xc9pk0xbba9q8WqFfea0=yr0R Yxir=Jbba9q8aq0=yq=He9q8qqQ8frFve9Fve9Ff0dmeaabaqaciGa caGaaeqabaWaaeaadaaakabbaaaaaaaacXwyJTgapeqaa8aacaaIOa GaamOtamaaBaaaleaacaWGPbaabeaakiaaiMcaaaa@3725@  и уравнение динамики (A,B,C) MathType@MTEF@5@5@+= feaahqart1ev3aaatCvAUfeBSjuyZL2yd9gzLbvyNv2CaerbuLwBLn hiov2DGi1BTfMBaeXatLxBI9gBaebbnrfifHhDYfgasaacH8srps0l bbf9q8WrFfeuY=Hhbbf9v8qqaqFr0xc9pk0xbba9q8WqFfea0=yr0R Yxir=Jbba9q8aq0=yq=He9q8qqQ8frFve9Fve9Ff0dmeaabaqaciGa caGaaeqabaWaaeaadaaakabbaaaaaaaacXwyJTgapeqaa8aacaaIOa GaamyqaiaaiYcacaWGcbGaaGilaiaadoeacaaIPaaaaa@38EF@ .

2. Выберем пару (K,F) MathType@MTEF@5@5@+= feaahqart1ev3aaatCvAUfeBSjuyZL2yd9gzLbvyNv2CaerbuLwBLn hiov2DGi1BTfMBaeXatLxBI9gBaebbnrfifHhDYfgasaacH8srps0l bbf9q8WrFfeuY=Hhbbf9v8qqaqFr0xc9pk0xbba9q8WqFfea0=yr0R Yxir=Jbba9q8aq0=yq=He9q8qqQ8frFve9Fve9Ff0dmeaabaqaciGa caGaaeqabaWaaeaadaaakabbaaaaaaaacXwyJTgapeqaa8aacaaIOa Gaam4saiaaiYcacaWGgbGaaGykaaaa@377F@ , одинаковую для двух подходов и удовлетворяющую теоремам  и .

3. Выберем вид помехи и ее мажоранту: | ξ i (t)| ξ 0 MathType@MTEF@5@5@+= feaahqart1ev3aaatCvAUfeBSjuyZL2yd9gzLbvyNv2CaerbuLwBLn hiov2DGi1BTfMBaeXatLxBI9gBaebbnrfifHhDYfgasaacH8srps0l bbf9q8WrFfeuY=Hhbbf9v8qqaqFr0xc9pk0xbba9q8WqFfea0=yr0R Yxir=Jbba9q8aq0=yq=He9q8qqQ8frFve9Fve9Ff0dmeaabaqaciGa caGaaeqabaWaaeaadaaakabbaaaaaaaacXwyJTgapeqaa8aacaaI8b GaeqOVdG3aaSbaaSqaaiaadMgaaeqaaOGaaGikaiaadshacaaIPaGa aGiFaiabgsMiJkabe67a4naaBaaaleaacaaIWaaabeaaaaa@3F78@  для любых i MathType@MTEF@5@5@+= feaahqart1ev3aaatCvAUfeBSjuyZL2yd9gzLbvyNv2CaerbuLwBLn hiov2DGi1BTfMBaeXatLxBI9gBaebbnrfifHhDYfgasaacH8srps0l bbf9q8WrFfeuY=Hhbbf9v8qqaqFr0xc9pk0xbba9q8WqFfea0=yr0R Yxir=Jbba9q8aq0=yq=He9q8qqQ8frFve9Fve9Ff0dmeaabaqaciGa caGaaeqabaWaaeaadaaakabbaaaaaaaacXwyJTgapeqaa8aacaWGPb aaaa@34B7@ , t MathType@MTEF@5@5@+= feaahqart1ev3aaatCvAUfeBSjuyZL2yd9gzLbvyNv2CaerbuLwBLn hiov2DGi1BTfMBaeXatLxBI9gBaebbnrfifHhDYfgasaacH8srps0l bbf9q8WrFfeuY=Hhbbf9v8qqaqFr0xc9pk0xbba9q8WqFfea0=yr0R Yxir=Jbba9q8aq0=yq=He9q8qqQ8frFve9Fve9Ff0dmeaabaqaciGa caGaaeqabaWaaeaadaaakabbaaaaaaaacXwyJTgapeqaa8aacaWG0b aaaa@34C2@ .

4. Выберем ограниченное управление g MathType@MTEF@5@5@+= feaahqart1ev3aaatCvAUfeBSjuyZL2yd9gzLbvyNv2CaerbuLwBLn hiov2DGi1BTfMBaeXatLxBI9gBaebbnrfifHhDYfgasaacH8srps0l bbf9q8WrFfeuY=Hhbbf9v8qqaqFr0xc9pk0xbba9q8WqFfea0=yr0R Yxir=Jbba9q8aq0=yq=He9q8qqQ8frFve9Fve9Ff0dmeaabaqaciGa caGaaeqabaWaaeaadaaakabbaaaaaaaacXwyJTgapeqaa8aacaWGNb aaaa@34B5@ .

5. Выберем коэффициенты каскадного наблюдателя (σ,μ) MathType@MTEF@5@5@+= feaahqart1ev3aaatCvAUfeBSjuyZL2yd9gzLbvyNv2CaerbuLwBLn hiov2DGi1BTfMBaeXatLxBI9gBaebbnrfifHhDYfgasaacH8srps0l bbf9q8WrFfeuY=Hhbbf9v8qqaqFr0xc9pk0xbba9q8WqFfea0=yr0R Yxir=Jbba9q8aq0=yq=He9q8qqQ8frFve9Fve9Ff0dmeaabaqaciGa caGaaeqabaWaaeaadaaakabbaaaaaaaacXwyJTgapeqaa8aacaaIOa Gaeq4WdmNaaGilaiabeY7aTjaaiMcaaaa@395D@ .

6. Сгенерируем 1000 траекторий системы при разных помехах на промежутке времени [0,T] MathType@MTEF@5@5@+= feaahqart1ev3aaatCvAUfeBSjuyZL2yd9gzLbvyNv2CaerbuLwBLn hiov2DGi1BTfMBaeXatLxBI9gBaebbnrfifHhDYfgasaacH8srps0l bbf9q8WrFfeuY=Hhbbf9v8qqaqFr0xc9pk0xbba9q8WqFfea0=yr0R Yxir=Jbba9q8aq0=yq=He9q8qqQ8frFve9Fve9Ff0dmeaabaqaciGa caGaaeqabaWaaeaadaaakabbaaaaaaaacXwyJTgapeqaa8aacaaIBb GaaGimaiaaiYcacaWGubGaaGyxaaaa@37DE@  (в эксперименте T=100 MathType@MTEF@5@5@+= feaahqart1ev3aaatCvAUfeBSjuyZL2yd9gzLbvyNv2CaerbuLwBLn hiov2DGi1BTfMBaeXatLxBI9gBaebbnrfifHhDYfgasaacH8srps0l bbf9q8WrFfeuY=Hhbbf9v8qqaqFr0xc9pk0xbba9q8WqFfea0=yr0R Yxir=Jbba9q8aq0=yq=He9q8qqQ8frFve9Fve9Ff0dmeaabaqaciGa caGaaeqabaWaaeaadaaakabbaaaaaaaacXwyJTgapeqaa8aacaWGub GaaGypaiaaigdacaaIWaGaaGimaaaa@3798@  ).

7. Сравним ошибку консенсуса для линейного протокола и нового подхода.

5.1. Параметры системы

Как и при сравнении протоколов в п. 3 рассмотрим систему из пяти агентов третьего порядка. Граф коммуникации агентов представлен на рис. . Матрицы агентов заданы в каноническом виде

                                           A= 0 1 0 0 0 1 0 0 0 ,B= 0 0 1 ,C= 1 0 0 . MathType@MTEF@5@5@+= feaahqart1ev3aaatCvAUfeBSjuyZL2yd9gzLbvyNv2CaerbuLwBLn hiov2DGi1BTfMBaeXatLxBI9gBaebbnrfifHhDYfgasaacH8srps0l bbf9q8WrFfeuY=Hhbbf9v8qqaqFr0xc9pk0xbba9q8WqFfea0=yr0R Yxir=Jbba9q8aq0=yq=He9q8qqQ8frFve9Fve9Ff0dmeaabaqaciGa caGaaeqabaWaaeaadaaakabbaaaaaaaacXwyJTgapeqaa8aacaWGbb GaaGypamaadmaabaqbaeqabqWaaaaabaGaaGimaaqaaiaaigdaaeaa caaIWaaabaGaaGimaaqaaiaaicdaaeaacaaIXaaabaGaaGimaaqaai aaicdaaeaacaaIWaaabaaabaaabaaaaaGaay5waiaaw2faaiaaygW7 caaISaGaaGzbVlaadkeacaaI9aWaamWaaeaafaqabeWabaaabaGaaG imaaqaaiaaicdaaeaacaaIXaaaaaGaay5waiaaw2faaiaaygW7caaI SaGaaGzbVlaadoeacaaI9aWaamWaaeaafaqabeqadaaabaGaaGymaa qaaiaaicdaaeaacaaIWaaaaaGaay5waiaaw2faaiaaygW7caaIUaaa aa@534A@

 Матрицы A MathType@MTEF@5@5@+= feaahqart1ev3aaatCvAUfeBSjuyZL2yd9gzLbvyNv2CaerbuLwBLn hiov2DGi1BTfMBaeXatLxBI9gBaebbnrfifHhDYfgasaacH8srps0l bbf9q8WrFfeuY=Hhbbf9v8qqaqFr0xc9pk0xbba9q8WqFfea0=yr0R Yxir=Jbba9q8aq0=yq=He9q8qqQ8frFve9Fve9Ff0dmeaabaqaciGa caGaaeqabaWaaeaadaaakabbaaaaaaaacXwyJTgapeqaa8aacaWGbb aaaa@348F@ , B MathType@MTEF@5@5@+= feaahqart1ev3aaatCvAUfeBSjuyZL2yd9gzLbvyNv2CaerbuLwBLn hiov2DGi1BTfMBaeXatLxBI9gBaebbnrfifHhDYfgasaacH8srps0l bbf9q8WrFfeuY=Hhbbf9v8qqaqFr0xc9pk0xbba9q8WqFfea0=yr0R Yxir=Jbba9q8aq0=yq=He9q8qqQ8frFve9Fve9Ff0dmeaabaqaciGa caGaaeqabaWaaeaadaaakabbaaaaaaaacXwyJTgapeqaa8aacaWGcb aaaa@3490@ , C MathType@MTEF@5@5@+= feaahqart1ev3aaatCvAUfeBSjuyZL2yd9gzLbvyNv2CaerbuLwBLn hiov2DGi1BTfMBaeXatLxBI9gBaebbnrfifHhDYfgasaacH8srps0l bbf9q8WrFfeuY=Hhbbf9v8qqaqFr0xc9pk0xbba9q8WqFfea0=yr0R Yxir=Jbba9q8aq0=yq=He9q8qqQ8frFve9Fve9Ff0dmeaabaqaciGa caGaaeqabaWaaeaadaaakabbaaaaaaaacXwyJTgapeqaa8aacaWGdb aaaa@3491@  образуют систему с максимальным относительным порядком. Нулевая динамика отсутствует.

5.2. Выбор матриц K MathType@MTEF@5@5@+= feaahqart1ev3aaatCvAUfeBSjuyZL2yd9gzLbvyNv2CaerbuLwBLn hiov2DGi1BTfMBaeXatLxBI9gBaebbnrfifHhDYfgasaacH8srps0l bbf9q8WrFfeuY=Hhbbf9v8qqaqFr0xc9pk0xbba9q8WqFfea0=yr0R Yxir=Jbba9q8aq0=yq=He9q8qqQ8frFve9Fve9Ff0dmeaabaqaciGa caGaaeqabaWaaeaadaaakabbaaaaaaaacXwyJTgapeqaa8aacaWGlb aaaa@3499@ , F MathType@MTEF@5@5@+= feaahqart1ev3aaatCvAUfeBSjuyZL2yd9gzLbvyNv2CaerbuLwBLn hiov2DGi1BTfMBaeXatLxBI9gBaebbnrfifHhDYfgasaacH8srps0l bbf9q8WrFfeuY=Hhbbf9v8qqaqFr0xc9pk0xbba9q8WqFfea0=yr0R Yxir=Jbba9q8aq0=yq=He9q8qqQ8frFve9Fve9Ff0dmeaabaqaciGa caGaaeqabaWaaeaadaaakabbaaaaaaaacXwyJTgapeqaa8aacaWGgb aaaa@3494@

Условия теоремы  включают в себя условия теоремы , поэтому можно выбрать одинаковые матрицы в обоих подходах. Мы зафиксировали одну пару матриц из множества пар, удовлетворяющих теоремам:

          K= 18.292 47.217 35.483 ,F= 50.009 32.640 45.849 T . MathType@MTEF@5@5@+= feaahqart1ev3aaatCvAUfeBSjuyZL2yd9gzLbvyNv2CaerbuLwBLn hiov2DGi1BTfMBaeXatLxBI9gBaebbnrfifHhDYfgasaacH8srps0l bbf9q8WrFfeuY=Hhbbf9v8qqaqFr0xc9pk0xbba9q8WqFfea0=yr0R Yxir=Jbba9q8aq0=yq=He9q8qqQ8frFve9Fve9Ff0dmeaabaqaciGa caGaaeqabaWaaeaadaaakabbaaaaaaaacXwyJTgapeqaa8aacaWGlb GaaGypamaadmaabaqbaeqabeWaaaqaaiabgkHiTiaaigdacaaI4aGa aGOlaiaaikdacaaI5aGaaGOmaaqaaiabgkHiTiaaisdacaaI3aGaaG OlaiaaikdacaaIXaGaaG4naaqaaiabgkHiTiaaiodacaaI1aGaaGOl aiaaisdacaaI4aGaaG4maaaaaiaawUfacaGLDbaacaaMb8UaaGilai aaywW7caWGgbGaaGypamaadmaabaqbaeqabeWaaaqaaiabgkHiTiaa iwdacaaIWaGaaGOlaiaaicdacaaIWaGaaGyoaaqaaiabgkHiTiaaio dacaaIYaGaaGOlaiaaiAdacaaI0aGaaGimaaqaaiabgkHiTiaaisda caaI1aGaaGOlaiaaiIdacaaI0aGaaGyoaaaaaiaawUfacaGLDbaada ahaaWcbeqaaiaadsfaaaGccaaIUaaaaa@60B1@

5.3. Выбор помехи

Все помехи в эксперименте имеют мажоранту, равную единице. Рассматривались три вида помехи.

I. Сумма синусов и косинусов

                                              ξ i (t)= n=0 5 a ni cos2nt+ n=0 5 b ni sin(2n+1)t, MathType@MTEF@5@5@+= feaahqart1ev3aaatCvAUfeBSjuyZL2yd9gzLbvyNv2CaerbuLwBLn hiov2DGi1BTfMBaeXatLxBI9gBaebbnrfifHhDYfgasaacH8srps0l bbf9q8WrFfeuY=Hhbbf9v8qqaqFr0xc9pk0xbba9q8WqFfea0=yr0R Yxir=Jbba9q8aq0=yq=He9q8qqQ8frFve9Fve9Ff0dmeaabaqaciGa caGaaeqabaWaaeaadaaakabbaaaaaaaacXwyJTgapeqaa8aacqaH+o aEdaWgaaWcbaGaamyAaaqabaGccaaIOaGaamiDaiaaiMcacaaI9aWa aabCaeqaleaacaWGUbGaaGypaiaaicdaaeaacaaI1aaaniabggHiLd GccaWGHbWaaSbaaSqaaiaad6gacaWGPbaabeaakiGacogacaGGVbGa ai4CaiaaikdacaWGUbGaamiDaiabgUcaRmaaqahabeWcbaGaamOBai aai2dacaaIWaaabaGaaGynaaqdcqGHris5aOGaamOyamaaBaaaleaa caWGUbGaamyAaaqabaGcciGGZbGaaiyAaiaac6gacaaIOaGaaGOmai aad6gacqGHRaWkcaaIXaGaaGykaiaadshacaaISaaaaa@5A65@         (16)

 где коэффициенты a ni MathType@MTEF@5@5@+= feaahqart1ev3aaatCvAUfeBSjuyZL2yd9gzLbvyNv2CaerbuLwBLn hiov2DGi1BTfMBaeXatLxBI9gBaebbnrfifHhDYfgasaacH8srps0l bbf9q8WrFfeuY=Hhbbf9v8qqaqFr0xc9pk0xbba9q8WqFfea0=yr0R Yxir=Jbba9q8aq0=yq=He9q8qqQ8frFve9Fve9Ff0dmeaabaqaciGa caGaaeqabaWaaeaadaaakabbaaaaaaaacXwyJTgapeqaa8aacaWGHb WaaSbaaSqaaiaad6gacaWGPbaabeaaaaa@36BC@ , b ni MathType@MTEF@5@5@+= feaahqart1ev3aaatCvAUfeBSjuyZL2yd9gzLbvyNv2CaerbuLwBLn hiov2DGi1BTfMBaeXatLxBI9gBaebbnrfifHhDYfgasaacH8srps0l bbf9q8WrFfeuY=Hhbbf9v8qqaqFr0xc9pk0xbba9q8WqFfea0=yr0R Yxir=Jbba9q8aq0=yq=He9q8qqQ8frFve9Fve9Ff0dmeaabaqaciGa caGaaeqabaWaaeaadaaakabbaaaaaaaacXwyJTgapeqaa8aacaWGIb WaaSbaaSqaaiaad6gacaWGPbaabeaaaaa@36BD@  выбраны случайно для каждого эксперимента; ограничены сами коэффициенты | a ni |1 MathType@MTEF@5@5@+= feaahqart1ev3aaatCvAUfeBSjuyZL2yd9gzLbvyNv2CaerbuLwBLn hiov2DGi1BTfMBaeXatLxBI9gBaebbnrfifHhDYfgasaacH8srps0l bbf9q8WrFfeuY=Hhbbf9v8qqaqFr0xc9pk0xbba9q8WqFfea0=yr0R Yxir=Jbba9q8aq0=yq=He9q8qqQ8frFve9Fve9Ff0dmeaabaqaciGa caGaaeqabaWaaeaadaaakabbaaaaaaaacXwyJTgapeqaa8aacaaI8b GaamyyamaaBaaaleaacaWGUbGaamyAaaqabaGccaaI8bGaeyizImQa aGymaaaa@3B42@ , | b ni |1 MathType@MTEF@5@5@+= feaahqart1ev3aaatCvAUfeBSjuyZL2yd9gzLbvyNv2CaerbuLwBLn hiov2DGi1BTfMBaeXatLxBI9gBaebbnrfifHhDYfgasaacH8srps0l bbf9q8WrFfeuY=Hhbbf9v8qqaqFr0xc9pk0xbba9q8WqFfea0=yr0R Yxir=Jbba9q8aq0=yq=He9q8qqQ8frFve9Fve9Ff0dmeaabaqaciGa caGaaeqabaWaaeaadaaakabbaaaaaaaacXwyJTgapeqaa8aacaaI8b GaamOyamaaBaaaleaacaWGUbGaamyAaaqabaGccaaI8bGaeyizImQa aGymaaaa@3B43@  и их сумма n=0 5 | a ni |+ n=0 5 | b ni |1 MathType@MTEF@5@5@+= feaahqart1ev3aaatCvAUfeBSjuyZL2yd9gzLbvyNv2CaerbuLwBLn hiov2DGi1BTfMBaeXatLxBI9gBaebbnrfifHhDYfgasaacH8srps0l bbf9q8WrFfeuY=Hhbbf9v8qqaqFr0xc9pk0xbba9q8WqFfea0=yr0R Yxir=Jbba9q8aq0=yq=He9q8qqQ8frFve9Fve9Ff0dmeaabaqaciGa caGaaeqabaWaaeaadaaakabbaaaaaaaacXwyJTgapeqaa8aadaaeWa qabSqaaiaad6gacaaI9aGaaGimaaqaaiaaiwdaa0GaeyyeIuoakiaa iYhacaWGHbWaaSbaaSqaaiaad6gacaWGPbaabeaakiaaiYhacqGHRa WkdaaeWaqabSqaaiaad6gacaaI9aGaaGimaaqaaiaaiwdaa0Gaeyye IuoakiaaiYhacaWGIbWaaSbaaSqaaiaad6gacaWGPbaabeaakiaaiY hacqGHKjYOcaaIXaaaaa@4BAE@ .

II. Синусы с разной частотой

                                                                      ξ i (t)=sin( ω i t), MathType@MTEF@5@5@+= feaahqart1ev3aaatCvAUfeBSjuyZL2yd9gzLbvyNv2CaerbuLwBLn hiov2DGi1BTfMBaeXatLxBI9gBaebbnrfifHhDYfgasaacH8srps0l bbf9q8WrFfeuY=Hhbbf9v8qqaqFr0xc9pk0xbba9q8WqFfea0=yr0R Yxir=Jbba9q8aq0=yq=He9q8qqQ8frFve9Fve9Ff0dmeaabaqaciGa caGaaeqabaWaaeaadaaakabbaaaaaaaacXwyJTgapeqaa8aacqaH+o aEdaWgaaWcbaGaamyAaaqabaGccaaIOaGaamiDaiaaiMcacaaI9aGa ci4CaiaacMgacaGGUbGaaGikaiabeM8a3naaBaaaleaacaWGPbaabe aakiaadshacaaIPaGaaGilaaaa@42B2@           (17)

 где ω i MathType@MTEF@5@5@+= feaahqart1ev3aaatCvAUfeBSjuyZL2yd9gzLbvyNv2CaerbuLwBLn hiov2DGi1BTfMBaeXatLxBI9gBaebbnrfifHhDYfgasaacH8srps0l bbf9q8WrFfeuY=Hhbbf9v8qqaqFr0xc9pk0xbba9q8WqFfea0=yr0R Yxir=Jbba9q8aq0=yq=He9q8qqQ8frFve9Fve9Ff0dmeaabaqaciGa caGaaeqabaWaaeaadaaakabbaaaaaaaacXwyJTgapeqaa8aacqaHjp WDdaWgaaWcbaGaamyAaaqabaaaaa@36B0@  выбраны случайно для каждого эксперимента из равномерного распределения U(1,1) MathType@MTEF@5@5@+= feaahqart1ev3aaatCvAUfeBSjuyZL2yd9gzLbvyNv2CaerbuLwBLn hiov2DGi1BTfMBaeXatLxBI9gBaebbnrfifHhDYfgasaacH8srps0l bbf9q8WrFfeuY=Hhbbf9v8qqaqFr0xc9pk0xbba9q8WqFfea0=yr0R Yxir=Jbba9q8aq0=yq=He9q8qqQ8frFve9Fve9Ff0dmeaabaqaciGa caGaaeqabaWaaeaadaaakabbaaaaaaaacXwyJTgapeqaa8aacaWGvb GaaGikaiabgkHiTiaaigdacaaISaGaaGymaiaaiMcaaaa@3921@ .

III. Постоянный сигнал

                                                                          ξ i (t)= c i =, MathType@MTEF@5@5@+= feaahqart1ev3aaatCvAUfeBSjuyZL2yd9gzLbvyNv2CaerbuLwBLn hiov2DGi1BTfMBaeXatLxBI9gBaebbnrfifHhDYfgasaacH8srps0l bbf9q8WrFfeuY=Hhbbf9v8qqaqFr0xc9pk0xbba9q8WqFfea0=yr0R Yxir=Jbba9q8aq0=yq=He9q8qqQ8frFve9Fve9Ff0dmeaabaqaciGa caGaaeqabaWaaeaadaaakabbaaaaaaaacXwyJTgapeqaa8aacqaH+o aEdaWgaaWcbaGaamyAaaqabaGccaaIOaGaamiDaiaaiMcacaaI9aGa am4yamaaBaaaleaacaWGPbaabeaakiaai2dacaaISaaaaa@3D5E@       (18)

 где c i MathType@MTEF@5@5@+= feaahqart1ev3aaatCvAUfeBSjuyZL2yd9gzLbvyNv2CaerbuLwBLn hiov2DGi1BTfMBaeXatLxBI9gBaebbnrfifHhDYfgasaacH8srps0l bbf9q8WrFfeuY=Hhbbf9v8qqaqFr0xc9pk0xbba9q8WqFfea0=yr0R Yxir=Jbba9q8aq0=yq=He9q8qqQ8frFve9Fve9Ff0dmeaabaqaciGa caGaaeqabaWaaeaadaaakabbaaaaaaaacXwyJTgapeqaa8aacaWGJb WaaSbaaSqaaiaadMgaaeqaaaaa@35CB@  выбраны случайно для каждого эксперимента из равномерного распределения U(1,1) MathType@MTEF@5@5@+= feaahqart1ev3aaatCvAUfeBSjuyZL2yd9gzLbvyNv2CaerbuLwBLn hiov2DGi1BTfMBaeXatLxBI9gBaebbnrfifHhDYfgasaacH8srps0l bbf9q8WrFfeuY=Hhbbf9v8qqaqFr0xc9pk0xbba9q8WqFfea0=yr0R Yxir=Jbba9q8aq0=yq=He9q8qqQ8frFve9Fve9Ff0dmeaabaqaciGa caGaaeqabaWaaeaadaaakabbaaaaaaaacXwyJTgapeqaa8aacaWGvb GaaGikaiabgkHiTiaaigdacaaISaGaaGymaiaaiMcaaaa@3921@ .

5.4. Выбор ограниченного управления

В качестве ограниченного управления g MathType@MTEF@5@5@+= feaahqart1ev3aaatCvAUfeBSjuyZL2yd9gzLbvyNv2CaerbuLwBLn hiov2DGi1BTfMBaeXatLxBI9gBaebbnrfifHhDYfgasaacH8srps0l bbf9q8WrFfeuY=Hhbbf9v8qqaqFr0xc9pk0xbba9q8WqFfea0=yr0R Yxir=Jbba9q8aq0=yq=He9q8qqQ8frFve9Fve9Ff0dmeaabaqaciGa caGaaeqabaWaaeaadaaakabbaaaaaaaacXwyJTgapeqaa8aacaWGNb aaaa@34B5@  мы выбрали g( z i , e ^ i )=sat(K e ^ i ) MathType@MTEF@5@5@+= feaahqart1ev3aaatCvAUfeBSjuyZL2yd9gzLbvyNv2CaerbuLwBLn hiov2DGi1BTfMBaeXatLxBI9gBaebbnrfifHhDYfgasaacH8srps0l bbf9q8WrFfeuY=Hhbbf9v8qqaqFr0xc9pk0xbba9q8WqFfea0=yr0R Yxir=Jbba9q8aq0=yq=He9q8qqQ8frFve9Fve9Ff0dmeaabaqaciGa caGaaeqabaWaaeaadaaakabbaaaaaaaacXwyJTgapeqaa8aacaWGNb GaaGikaiaadQhadaWgaaWcbaGaamyAaaqabaGccaaISaGabmyzayaa jaWaaSbaaSqaaiaadMgaaeqaaOGaaGykaiaai2dacaWGZbGaamyyai aadshacaaIOaGaam4saiqadwgagaqcamaaBaaaleaacaWGPbaabeaa kiaaiMcaaaa@4302@ , где

                                                           sat(x)= 1, x>1, x, 1x1, 1, x<1. MathType@MTEF@5@5@+= feaahqart1ev3aaatCvAUfeBSjuyZL2yd9gzLbvyNv2CaerbuLwBLn hiov2DGi1BTfMBaeXatLxBI9gBaebbnrfifHhDYfgasaacH8srps0l bbf9q8WrFfeuY=Hhbbf9v8qqaqFr0xc9pk0xbba9q8WqFfea0=yr0R Yxir=Jbba9q8aq0=yq=He9q8qqQ8frFve9Fve9Ff0dmeaabaqaciGa caGaaeqabaWaaeaadaaakabbaaaaaaaacXwyJTgapeqaa8aacaWGZb GaamyyaiaadshacaaIOaGaamiEaiaaiMcacaaI9aWaaiqaaeaafaqa beWacaaabaGaaGymaiaaiYcaaeaacaWG4bGaaGOpaiaaigdacaaISa aabaGaamiEaiaaiYcaaeaacqGHsislcaaIXaGaeyizImQaamiEaiab gsMiJkaaigdacaaISaaabaGaeyOeI0IaaGymaiaaiYcaaeaacaWG4b GaaGipaiabgkHiTiaaigdacaaIUaaaaaGaay5Eaaaaaa@4F51@

 Хотя сатурация не является идеальным способом получения ограниченного управления, она даёт уменьшение ошибки консенсуса и проста в реализации. Существуют более продвинутые методы синтеза ограниченного управления, но они в данной работе не рассматриваются.

5.5. Каскадный наблюдатель

Каскадный наблюдатель будет состоять из двух этапов:

                                                                         y e =yC z i ; MathType@MTEF@5@5@+= feaahqart1ev3aaatCvAUfeBSjuyZL2yd9gzLbvyNv2CaerbuLwBLn hiov2DGi1BTfMBaeXatLxBI9gBaebbnrfifHhDYfgasaacH8srps0l bbf9q8WrFfeuY=Hhbbf9v8qqaqFr0xc9pk0xbba9q8WqFfea0=yr0R Yxir=Jbba9q8aq0=yq=He9q8qqQ8frFve9Fve9Ff0dmeaabaqaciGa caGaaeqabaWaaeaadaaakabbaaaaaaaacXwyJTgapeqaa8aacaWG5b WaaSbaaSqaaiaadwgaaeqaaOGaaGypaiaadMhacqGHsislcaWGdbGa amOEamaaBaaaleaacaWGPbaabeaakiaaiUdaaaa@3C49@

              ε 1 = y e e ^ 11 , e ^ ˙ 11 = f 1 y e + e ^ 12 + k 1 sign( ε 1 ) | ε 1 | , e ^ ˙ 12 = f 2 y e + μ 1 sign( ε 1 ); MathType@MTEF@5@5@+= feaahqart1ev3aaatCvAUfeBSjuyZL2yd9gzLbvyNv2CaerbuLwBLn hiov2DGi1BTfMBaeXatLxBI9gBaebbnrfifHhDYfgasaacH8srps0l bbf9q8WrFfeuY=Hhbbf9v8qqaqFr0xc9pk0xbba9q8WqFfea0=yr0R Yxir=Jbba9q8aq0=yq=He9q8qqQ8frFve9Fve9Ff0dmeaabaqaciGa caGaaeqabaWaaeaadaaakabbaaaaaaaacXwyJTgapeqaa8aacqaH1o qzdaWgaaWcbaGaaGymaaqabaGccaaI9aGaamyEamaaBaaaleaacaWG LbaabeaakiabgkHiTiqadwgagaqcamaaBaaaleaacaaIXaGaaGymaa qabaGccaaISaGaaGzbVlqadwgagaqcgaGaamaaBaaaleaacaaIXaGa aGymaaqabaGccaaI9aGaamOzamaaBaaaleaacaaIXaaabeaakiaadM hadaWgaaWcbaGaamyzaaqabaGccqGHRaWkceWGLbGbaKaadaWgaaWc baGaaGymaiaaikdaaeqaaOGaey4kaSIaam4AamaaBaaaleaacaaIXa aabeaakiaadohacaWGPbGaam4zaiaad6gacaaIOaGaeqyTdu2aaSba aSqaaiaaigdaaeqaaOGaaGykamaakaaabaGaaGiFaiabew7aLnaaBa aaleaacaaIXaaabeaakiaaiYhaaSqabaGccaaISaGaaGzbVlqadwga gaqcgaGaamaaBaaaleaacaaIXaGaaGOmaaqabaGccaaI9aGaamOzam aaBaaaleaacaaIYaaabeaakiaadMhadaWgaaWcbaGaamyzaaqabaGc cqGHRaWkcqaH8oqBdaWgaaWcbaGaaGymaaqabaGccaWGZbGaamyAai aadEgacaWGUbGaaGikaiabew7aLnaaBaaaleaacaaIXaaabeaakiaa iMcacaaI7aaaaa@6F28@

            ε 2 = e ^ 12 e ^ 21 , e ^ ˙ 21 = f 2 y e + e ^ 22 + k 2 sign( ε 2 ) | ε 2 | , e ^ ˙ 22 = f 3 y e + μ 2 sign( ε 2 ). MathType@MTEF@5@5@+= feaahqart1ev3aaatCvAUfeBSjuyZL2yd9gzLbvyNv2CaerbuLwBLn hiov2DGi1BTfMBaeXatLxBI9gBaebbnrfifHhDYfgasaacH8srps0l bbf9q8WrFfeuY=Hhbbf9v8qqaqFr0xc9pk0xbba9q8WqFfea0=yr0R Yxir=Jbba9q8aq0=yq=He9q8qqQ8frFve9Fve9Ff0dmeaabaqaciGa caGaaeqabaWaaeaadaaakabbaaaaaaaacXwyJTgapeqaa8aacqaH1o qzdaWgaaWcbaGaaGOmaaqabaGccaaI9aGabmyzayaajaWaaSbaaSqa aiaaigdacaaIYaaabeaakiabgkHiTiqadwgagaqcamaaBaaaleaaca aIYaGaaGymaaqabaGccaaISaGaaGzbVlqadwgagaqcgaGaamaaBaaa leaacaaIYaGaaGymaaqabaGccaaI9aGaamOzamaaBaaaleaacaaIYa aabeaakiaadMhadaWgaaWcbaGaamyzaaqabaGccqGHRaWkceWGLbGb aKaadaWgaaWcbaGaaGOmaiaaikdaaeqaaOGaey4kaSIaam4AamaaBa aaleaacaaIYaaabeaakiaadohacaWGPbGaam4zaiaad6gacaaIOaGa eqyTdu2aaSbaaSqaaiaaikdaaeqaaOGaaGykamaakaaabaGaaGiFai abew7aLnaaBaaaleaacaaIYaaabeaakiaaiYhaaSqabaGccaaISaGa aGzbVlqadwgagaqcgaGaamaaBaaaleaacaaIYaGaaGOmaaqabaGcca aI9aGaamOzamaaBaaaleaacaaIZaaabeaakiaadMhadaWgaaWcbaGa amyzaaqabaGccqGHRaWkcqaH8oqBdaWgaaWcbaGaaGOmaaqabaGcca WGZbGaamyAaiaadEgacaWGUbGaaGikaiabew7aLnaaBaaaleaacaaI YaaabeaakiaaiMcacaaIUaaaaa@6FB0@

 Коэффициенты k=2 MathType@MTEF@5@5@+= feaahqart1ev3aaatCvAUfeBSjuyZL2yd9gzLbvyNv2CaerbuLwBLn hiov2DGi1BTfMBaeXatLxBI9gBaebbnrfifHhDYfgasaacH8srps0l bbf9q8WrFfeuY=Hhbbf9v8qqaqFr0xc9pk0xbba9q8WqFfea0=yr0R Yxir=Jbba9q8aq0=yq=He9q8qqQ8frFve9Fve9Ff0dmeaabaqaciGa caGaaeqabaWaaeaadaaakabbaaaaaaaacXwyJTgapeqaa8aacaWGRb GaaGypaiaaikdaaaa@363C@ , μ=3 MathType@MTEF@5@5@+= feaahqart1ev3aaatCvAUfeBSjuyZL2yd9gzLbvyNv2CaerbuLwBLn hiov2DGi1BTfMBaeXatLxBI9gBaebbnrfifHhDYfgasaacH8srps0l bbf9q8WrFfeuY=Hhbbf9v8qqaqFr0xc9pk0xbba9q8WqFfea0=yr0R Yxir=Jbba9q8aq0=yq=He9q8qqQ8frFve9Fve9Ff0dmeaabaqaciGa caGaaeqabaWaaeaadaaakabbaaaaaaaacXwyJTgapeqaa8aacqaH8o qBcaaI9aGaaG4maaaa@3703@  выбраны одинаковыми для всех агентов и этапов каскада.

5.6. Траектории системы

Для каждого вида помехи из п. 5.3 мы рассчитали 1000 траекторий. Для каждой траектории выбрали нулевые начальные условия. Результат моделирования для одной траектории представлен на рис. , а. На рис. , б изображен пример помехи (16).

  

Рис. 3. Сравнение ошибки консенсуса при применении линейного протокола (1) и нового подхода (2) MathType@MTEF@5@5@+= feaahqart1ev3aqatCvAUfeBSjuyZL2yd9gzLbvyNv2CaerbuLwBLn hiov2DGi1BTfMBaeXatLxBI9gBaerbd9wDYLwzYbItLDharqqtubsr 4rNCHbGeaGqiVu0Je9sqqrpepC0xbbL8F4rqqrFfpeea0xe9Lq=Jc9 vqaqpepm0xbba9pwe9Q8fs0=yqaqpepae9pg0FirpepeKkFr0xfr=x fr=xb9adbaqaaeGaciGaaiaabeqaamaabaabaaGcqqaaaaaaaaGqSf 2yRbWdbeaaruWqHXwAIjxAaGqbaKqzGfaeaaaaaaaaa8GacaWFuaca aa@3C73@  а, и пример внешнего возмущения ξ1 для одного агента MathType@MTEF@5@5@+= feaahqart1ev3aqatCvAUfeBSjuyZL2yd9gzLbvyNv2CaerbuLwBLn hiov2DGi1BTfMBaeXatLxBI9gBaerbd9wDYLwzYbItLDharqqtubsr 4rNCHbGeaGqiVu0Je9sqqrpepC0xbbL8F4rqqrFfpeea0xe9Lq=Jc9 vqaqpepm0xbba9pwe9Q8fs0=yqaqpepae9pg0FirpepeKkFr0xfr=x fr=xb9adbaqaaeGaciGaaiaabeqaamaabaabaaGcqqaaaaaaaaGqSf 2yRbWdbeaaruWqHXwAIjxAaGqbaKqzGfaeaaaaaaaaa8GacaWFuaca aa@3C73@  б.

 

5.7. Сравнение подходов

Для каждой траектории мы посчитали норму L 2 MathType@MTEF@5@5@+= feaahqart1ev3aaatCvAUfeBSjuyZL2yd9gzLbvyNv2CaerbuLwBLn hiov2DGi1BTfMBaeXatLxBI9gBaebbnrfifHhDYfgasaacH8srps0l bbf9q8WrFfeuY=Hhbbf9v8qqaqFr0xc9pk0xbba9q8WqFfea0=yr0R Yxir=Jbba9q8aq0=yq=He9q8qqQ8frFve9Fve9Ff0dmeaabaqaciGa caGaaeqabaWaaeaadaaakabbaaaaaaaacXwyJTgapeqaa8aacaWGmb WaaSbaaSqaaiaaikdaaeqaaaaa@3582@  ошибки консенсуса v MathType@MTEF@5@5@+= feaahqart1ev3aaatCvAUfeBSjuyZL2yd9gzLbvyNv2CaerbuLwBLn hiov2DGi1BTfMBaeXatLxBI9gBaebbnrfifHhDYfgasaacH8srps0l bbf9q8WrFfeuY=Hhbbf9v8qqaqFr0xc9pk0xbba9q8WqFfea0=yr0R Yxir=Jbba9q8aq0=yq=He9q8qqQ8frFve9Fve9Ff0dmeaabaqaciGa caGaaeqabaWaaeaadaaakabbaaaaaaaacXwyJTgapeqaa8aacaWG2b aaaa@34C4@  и помехи ξ MathType@MTEF@5@5@+= feaahqart1ev3aaatCvAUfeBSjuyZL2yd9gzLbvyNv2CaerbuLwBLn hiov2DGi1BTfMBaeXatLxBI9gBaebbnrfifHhDYfgasaacH8srps0l bbf9q8WrFfeuY=Hhbbf9v8qqaqFr0xc9pk0xbba9q8WqFfea0=yr0R Yxir=Jbba9q8aq0=yq=He9q8qqQ8frFve9Fve9Ff0dmeaabaqaciGa caGaaeqabaWaaeaadaaakabbaaaaaaaacXwyJTgapeqaa8aacqaH+o aEaaa@358C@ :

                                                             x L 2 =( 0 100 x(t) 2 dt ) 1 2 . MathType@MTEF@5@5@+= feaahqart1ev3aaatCvAUfeBSjuyZL2yd9gzLbvyNv2CaerbuLwBLn hiov2DGi1BTfMBaeXatLxBI9gBaebbnrfifHhDYfgasaacH8srps0l bbf9q8WrFfeuY=Hhbbf9v8qqaqFr0xc9pk0xbba9q8WqFfea0=yr0R Yxir=Jbba9q8aq0=yq=He9q8qqQ8frFve9Fve9Ff0dmeaabaqaciGa caGaaeqabaWaaeaadaaakabbaaaaaaaacXwyJTgapeqaaebbfv3ySL gzGueE0jxyaGaba8aacqWFLicucaWG4bGae8xjIa1aaSbaaSqaaiaa dYeadaWgaaqaaiaaikdaaeqaaaqabaGccaaI9aGaaGikamaapehabe WcbaGaaGimaaqaaiaaigdacaaIWaGaaGimaaqdcqGHRiI8aOGae8xj IaLaamiEaiaaiIcacaWG0bGaaGykaiab=vIiqnaaCaaaleqabaGaaG OmaaaakiaadsgacaWG0bGaaGykamaaCaaaleqabaGaaGzaVpaalaaa baGaaGymaaqaaiaaikdaaaaaaOGaaGOlaaaa@516E@

 Чтобы определить, насколько хорошо управление подавляет помеху, среднее отношение нормы ошибки консенсуса к норме помехи взяли равным

                                                                      1 1000 1 1000 v L 2 ξ L 2 . MathType@MTEF@5@5@+= feaahqart1ev3aaatCvAUfeBSjuyZL2yd9gzLbvyNv2CaerbuLwBLn hiov2DGi1BTfMBaeXatLxBI9gBaebbnrfifHhDYfgasaacH8srps0l bbf9q8WrFfeuY=Hhbbf9v8qqaqFr0xc9pk0xbba9q8WqFfea0=yr0R Yxir=Jbba9q8aq0=yq=He9q8qqQ8frFve9Fve9Ff0dmeaabaqaciGa caGaaeqabaWaaeaadaaakabbaaaaaaaacXwyJTgapeqaa8aadaWcaa qaaiaaigdaaeaacaaIXaGaaGimaiaaicdacaaIWaaaamaaqahabeWc baGaaGymaaqaaiaaigdacaaIWaGaaGimaiaaicdaa0GaeyyeIuoakm aalaaabaqeeuuDJXwAKbsr4rNCHbaceaGae8xjIaLaamODaiab=vIi qnaaBaaaleaacaWGmbWaaSbaaeaacaaIYaaabeaaaeqaaaGcbaGae8 xjIaLaeqOVdGNae8xjIa1aaSbaaSqaaiaadYeadaWgaaqaaiaaikda aeqaaaqabaaaaOGaaGOlaaaa@4DC7@        (19)

 Результаты экспериментов приведены в таблице. Эксперименты отличаются коэффициентами помехи, которые выбираются случайным образом. Видно, что новый подход снизил среднюю ошибку консенсуса примерно в 10 раз.

 

Среднее отношение нормы ошибки консенсуса к норме помехи на основе 1000 экспериментов

 Вид помехи

Линейный протокол

Новый подход

I (16)

  3.04 MathType@MTEF@5@5@+= feaahqart1ev3aaatCvAUfeBSjuyZL2yd9gzLbvyNv2CaerbuLwBLn hiov2DGi1BTfMBaeXatLxBI9gBaebbnrfifHhDYfgasaacH8srps0l bbf9q8WrFfeuY=Hhbbf9v8qqaqFr0xc9pk0xbba9q8WqFfea0=yr0R Yxir=Jbba9q8aq0=yq=He9q8qqQ8frFve9Fve9Ff0dmeaabaqaciGa caGaaeqabaWaaeaadaaakabbaaaaaaaacXwyJTgapeqaa8aacaaIZa GaaGOlaiaaicdacaaI0aaaaa@36B6@  

 0.33

II (17)

  3.90 MathType@MTEF@5@5@+= feaahqart1ev3aaatCvAUfeBSjuyZL2yd9gzLbvyNv2CaerbuLwBLn hiov2DGi1BTfMBaeXatLxBI9gBaebbnrfifHhDYfgasaacH8srps0l bbf9q8WrFfeuY=Hhbbf9v8qqaqFr0xc9pk0xbba9q8WqFfea0=yr0R Yxir=Jbba9q8aq0=yq=He9q8qqQ8frFve9Fve9Ff0dmeaabaqaciGa caGaaeqabaWaaeaadaaakabbaaaaaaaacXwyJTgapeqaa8aacaaIZa GaaGOlaiaaiMdacaaIWaaaaa@36BB@  

  0.44 MathType@MTEF@5@5@+= feaahqart1ev3aaatCvAUfeBSjuyZL2yd9gzLbvyNv2CaerbuLwBLn hiov2DGi1BTfMBaeXatLxBI9gBaebbnrfifHhDYfgasaacH8srps0l bbf9q8WrFfeuY=Hhbbf9v8qqaqFr0xc9pk0xbba9q8WqFfea0=yr0R Yxir=Jbba9q8aq0=yq=He9q8qqQ8frFve9Fve9Ff0dmeaabaqaciGa caGaaeqabaWaaeaadaaakabbaaaaaaaacXwyJTgapeqaa8aacaaIWa GaaGOlaiaaisdacaaI0aaaaa@36B7@

III (18)

  3.93 MathType@MTEF@5@5@+= feaahqart1ev3aaatCvAUfeBSjuyZL2yd9gzLbvyNv2CaerbuLwBLn hiov2DGi1BTfMBaeXatLxBI9gBaebbnrfifHhDYfgasaacH8srps0l bbf9q8WrFfeuY=Hhbbf9v8qqaqFr0xc9pk0xbba9q8WqFfea0=yr0R Yxir=Jbba9q8aq0=yq=He9q8qqQ8frFve9Fve9Ff0dmeaabaqaciGa caGaaeqabaWaaeaadaaakabbaaaaaaaacXwyJTgapeqaa8aacaaIZa GaaGOlaiaaiMdacaaIZaaaaa@36BE@  

  0.35 MathType@MTEF@5@5@+= feaahqart1ev3aaatCvAUfeBSjuyZL2yd9gzLbvyNv2CaerbuLwBLn hiov2DGi1BTfMBaeXatLxBI9gBaebbnrfifHhDYfgasaacH8srps0l bbf9q8WrFfeuY=Hhbbf9v8qqaqFr0xc9pk0xbba9q8WqFfea0=yr0R Yxir=Jbba9q8aq0=yq=He9q8qqQ8frFve9Fve9Ff0dmeaabaqaciGa caGaaeqabaWaaeaadaaakabbaaaaaaaacXwyJTgapeqaa8aacaaIWa GaaGOlaiaaiodacaaI1aaaaa@36B7@  

 

ЗАКЛЮЧЕНИЕ

В условиях действия ограниченных возмущений на мультиагентную систему линейный протокол консенсуса без коммуникации становится уязвимым из-за необходимости больших коэффициентов обратной связи для сокращения ошибки консенсуса. Для решения этой проблемы можно использовать нелинейные наблюдатели для каждого агента, оценивающие ошибку линейного наблюдателя. Мы выбрали каскадный наблюдатель на основе супер-скручивания, который эффективно оценивает устойчивые системы с ограниченной помехой.

Доказаны достаточные условия существования нелинейного наблюдателя и установлено, что его оценку возможно применять внутри ограниченного управления.

Моделирование показало, что наш подход позволяет снизить ошибку консенсуса для систем без коммуникации. Интересно, возможно ли полностью компенсировать помеху, используя более продвинутые методы ограниченного управления? Поиск ответа на этот вопрос может стать предметом будущих исследований.

В нашей работе мы рассматриваем агентов как SISO системы с устойчивой нулевой динамикой, поэтому другим возможным направлением продолжения исследований является расширение допустимого класса агентов.

ФИНАНСИРОВАНИЕ РАБОТЫ

Работа выполнена при финансовой поддержке Российского научного фонда (проект 22-21-00288).

КОНФЛИКТ ИНТЕРЕСОВ

Авторы данной работы заявляют, что у них нет конфликта интересов.

×

Об авторах

В. В. Фомичев

Электротехнический университет; Федеральный исследовательский центр “Информатика и управление” РАН; Московский государственный университет имени М.В. Ломоносова

Автор, ответственный за переписку.
Email: fomichev@cs.msu.su
Китай, Ханчжоу; Москва, Россия; Москва, Россия

А. И. Самарин

Московский государственный университет имени М.В. Ломоносова

Email: samarin_aleksei@icloud.com
Россия, Москва

Список литературы

  1. Dorri, A. Multi-agent systems: a survey / A. Dorri, S.S. Kanhere, R. Jurdak // IEEE Access. — 2018. — V. 6. — P. 28573–28593.
  2. Hamann, H. Swarm Robotics: A Formal Approach / H. Hamann. — Cham : Springer, 2018.
  3. Saber, R.O. Consensus protocols for networks of dynamic agents / R.O. Saber, R.M. Murray // Proceed. of the 2003 American Control Conf. — Denver, Colorado, USA : IEEE, 2003. — V. 2. — P. 951–956.
  4. Li, Z. Dynamic consensus of linear multi-agent systems / Z. Li, Z. Duan, G. Chen // IET Control Theory Appl. — 2011. — V. 5, № 1. — Art. 19.
  5. Adaptive consensus control of linear multiagent systems with dynamic event-triggered strategies / W. He, D. Xu, Q.-L. Han, F. Qian // IEEE Trans. Cybern. — 2020. — V. 50, № 7. — P. 2996–3008.
  6. Consensus of multiagent systems and synchronization of complex networks: a unified viewpoint / Z. Li, Z. Duan, G. Chen, L. Huang // IEEE Trans. Circuits Syst. I. — 2010. — V. 57, № 1. — P. 213–224.
  7. A new observer-type consensus protocol for linear multi-agent dynamical systems / Y. Zhao, G. Wen, Z. Duan [et al.] // Asian J. Control. — 2013. — V. 15, № 2. — P. 571–582.
  8. Фомичёв, В.В. Алгоритм построения каскадного асимптотического наблюдателя для системы с максимальным относительным порядком / В.В. Фомичёв, А.О. Высоцкий // Дифференц. уравнения. — 2019. — Т. 55, № 4. — С. 567–573. Fomichev, V.V. Algorithm for designing a cascade asymptotic observer for a system of maximal relative order / V.V. Fomichev, A.O. Vysotskii // Differ. Equat. — 2019. — V. 55, № 4. — P. 553–560.
  9. Sliding mode fault tolerant consensus control for multi-agent systems based on super-twisting observer / P. Yang, X. Hu, Z. Wang, Z. Zhang // J. of Syst. Engineer. and Electron. — 2022. — V. 33, № 6. — P. 1309–1319.
  10. Емельянов, С.В. Новый класс алгоритмов скольжения второго порядка / С.В. Емельянов, С.К. Коровин, Л.В. Левантовский // Мат. моделирование. — 1990. — Т. 2, № 3. — С. 89–100. Emelyanov, S.V. A new class of second-order sliding mode algorithms / S.V. Emelyanov, S.K. Korovin, L.V. Levantovsky // Matematicheskoye modelirovaniye. — 1990. — V. 2, № 3. — P. 89–100.
  11. Seeber, R. Necessary and sufficient stability criterion for the super-twisting algorithm / R. Seeber, M. Horn // 15th Intern. Workshop on Variable Structure Systems (VSS). Graz : IEEE, 2018. — P. 120–125.
  12. Bagge Carlson, F. ControlSystems.jl: a control toolbox in Julia / F. Bagge Carlson, M. Fält, A. Heimerson, O. Troeng // 60th IEEE Conf. on Decision and Control (CDC). Austin, TX, USA : IEEE, 2021. — P. 4847–4853. Bagge Carlson, F. ControlSystems.jl: a control toolbox in Julia / F. Bagge Carlson, M. Fält, A. Heimerson, O. Troeng // 60th IEEE Conference on Decision and Control (CDC). Austin, TX, USA: IEEE, 2021. — P. 4847–4853.

Дополнительные файлы

Доп. файлы
Действие
1. JATS XML
2. Рис. 1. Граф коммуникации.

Скачать (21KB)
3. Рис. 2. Сравнение протоколов (линии соединяют точки, соответствующие оптимальным по Парето парам . Видно, что для каждой пары  протокола без коммуникации (1) существует пара  протокола с коммуникацией (2), которая лучше подавляет обе помехи.

Скачать (37KB)
4. Рис. 3. Сравнение ошибки консенсуса при применении линейного протокола (1) и нового подхода (2)  а, и пример внешнего возмущения  для одного агента  б.

Скачать (101KB)

© Российская академия наук, 2024

Согласие на обработку персональных данных с помощью сервиса «Яндекс.Метрика»

1. Я (далее – «Пользователь» или «Субъект персональных данных»), осуществляя использование сайта https://journals.rcsi.science/ (далее – «Сайт»), подтверждая свою полную дееспособность даю согласие на обработку персональных данных с использованием средств автоматизации Оператору - федеральному государственному бюджетному учреждению «Российский центр научной информации» (РЦНИ), далее – «Оператор», расположенному по адресу: 119991, г. Москва, Ленинский просп., д.32А, со следующими условиями.

2. Категории обрабатываемых данных: файлы «cookies» (куки-файлы). Файлы «cookie» – это небольшой текстовый файл, который веб-сервер может хранить в браузере Пользователя. Данные файлы веб-сервер загружает на устройство Пользователя при посещении им Сайта. При каждом следующем посещении Пользователем Сайта «cookie» файлы отправляются на Сайт Оператора. Данные файлы позволяют Сайту распознавать устройство Пользователя. Содержимое такого файла может как относиться, так и не относиться к персональным данным, в зависимости от того, содержит ли такой файл персональные данные или содержит обезличенные технические данные.

3. Цель обработки персональных данных: анализ пользовательской активности с помощью сервиса «Яндекс.Метрика».

4. Категории субъектов персональных данных: все Пользователи Сайта, которые дали согласие на обработку файлов «cookie».

5. Способы обработки: сбор, запись, систематизация, накопление, хранение, уточнение (обновление, изменение), извлечение, использование, передача (доступ, предоставление), блокирование, удаление, уничтожение персональных данных.

6. Срок обработки и хранения: до получения от Субъекта персональных данных требования о прекращении обработки/отзыва согласия.

7. Способ отзыва: заявление об отзыве в письменном виде путём его направления на адрес электронной почты Оператора: info@rcsi.science или путем письменного обращения по юридическому адресу: 119991, г. Москва, Ленинский просп., д.32А

8. Субъект персональных данных вправе запретить своему оборудованию прием этих данных или ограничить прием этих данных. При отказе от получения таких данных или при ограничении приема данных некоторые функции Сайта могут работать некорректно. Субъект персональных данных обязуется сам настроить свое оборудование таким способом, чтобы оно обеспечивало адекватный его желаниям режим работы и уровень защиты данных файлов «cookie», Оператор не предоставляет технологических и правовых консультаций на темы подобного характера.

9. Порядок уничтожения персональных данных при достижении цели их обработки или при наступлении иных законных оснований определяется Оператором в соответствии с законодательством Российской Федерации.

10. Я согласен/согласна квалифицировать в качестве своей простой электронной подписи под настоящим Согласием и под Политикой обработки персональных данных выполнение мною следующего действия на сайте: https://journals.rcsi.science/ нажатие мною на интерфейсе с текстом: «Сайт использует сервис «Яндекс.Метрика» (который использует файлы «cookie») на элемент с текстом «Принять и продолжить».