Proton Conductivity in Rare-Earth Fluorine-Containing Molybdates NaLn4Mo3O15F
- Authors: Baldin E.D.1, Sorokin T.A.2, Orlova E.I.3, Gorshkov N.V.4, Kharitonova E.P.3, Lyskov N.V.5, Goffman V.G.4, Voronkova V.I.3
-
Affiliations:
- Semenov Federal Research Center for Chemical Physics, Russian Academy of Sciences
- Shubnikov Institute of Crystallography, Russian Academy of Sciences, Federal Research Center “Crystallography and Photonics”
- Faculty of Physics, Moscow State University
- Yuri Gagarin State Technical University of Sarato
- Institute of Problems of Chemical Physics, Russian Academy of Sciences
- Issue: Vol 59, No 1 (2023)
- Pages: 61-67
- Section: Articles
- URL: https://journal-vniispk.ru/0424-8570/article/view/139230
- DOI: https://doi.org/10.31857/S0424857023010164
- EDN: https://elibrary.ru/JXBNXH
- ID: 139230
Cite item
Full Text
Abstract
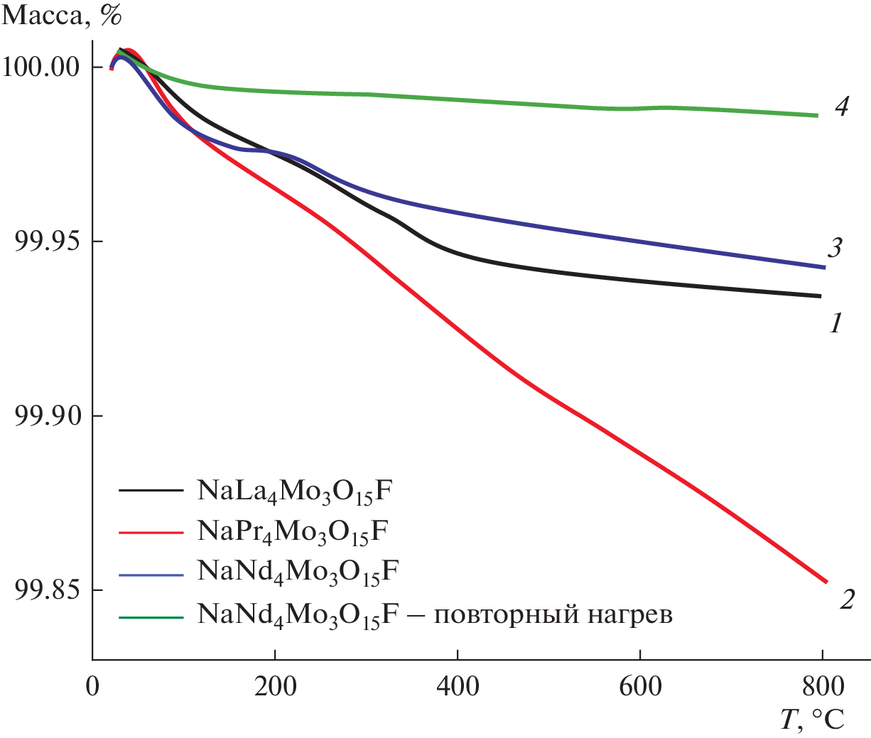
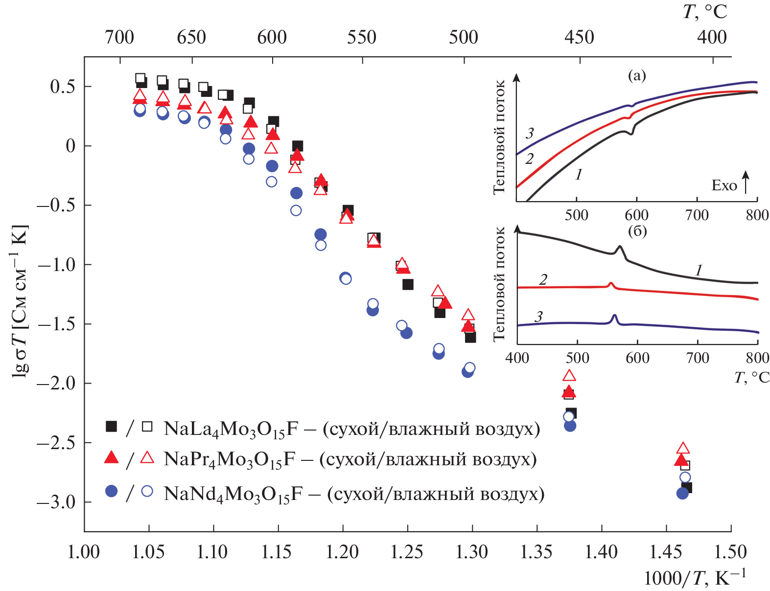
The fluorine-containing fluorite-like compounds of composition NaLn4Mo3O15F (Ln = La, Pr, Nd) are produced using the method of solid-phase synthesis in air. Their thermomechanical and conducting properties, as well as hygroscopicity, are studied. It is confirmed that the synthesized specimens are isostructural to the cubic compounds Ln5Mo3O16 with the fluorite-like structure. It is shown that in the temperature range of 20–600°C, the specimens of NaLn4Mo3O15F (Ln = La, Pr, Nd) expand linearly, and their thermal expansion coefficients (13–14) × 10–6 K–1 are close to the coefficients of conventional SOFC electrolytes, for example, YSZ. Using the thermal gravimetric analysis, it is shown that the weight loss of the studied specimens in the range from 30 to 700°C is caused by their hygroscopicity. The electrophysical properties of the compounds are studied using the method of impedance spectroscopy in the humid atmosphere, and the proton component of conductivity is revealed.
About the authors
E. D. Baldin
Semenov Federal Research Center for Chemical Physics, Russian Academy of Sciences
Email: baldin.ed16@physics.msu.ru
Moscow, Russia
T. A. Sorokin
Shubnikov Institute of Crystallography, Russian Academy of Sciences, Federal Research Center “Crystallography and Photonics”
Email: agapova@polly.phys.msu.ru
Moscow, Russia
E. I. Orlova
Faculty of Physics, Moscow State University
Email: agapova@polly.phys.msu.ru
Moscow, Russia
N. V. Gorshkov
Yuri Gagarin State Technical University of Sarato
Email: agapova@polly.phys.msu.ru
Saratov, Russia
E. P. Kharitonova
Faculty of Physics, Moscow State University
Email: agapova@polly.phys.msu.ru
Moscow, Russia
N. V. Lyskov
Institute of Problems of Chemical Physics, Russian Academy of Sciences
Email: agapova@polly.phys.msu.ru
Chernogolovka, Russia
V. G. Goffman
Yuri Gagarin State Technical University of Sarato
Email: agapova@polly.phys.msu.ru
Saratov, Russia
V. I. Voronkova
Faculty of Physics, Moscow State University
Author for correspondence.
Email: agapova@polly.phys.msu.ru
Moscow, Russia
References
- Tsai, M. and Greenblatt, M., Oxide ion conductivity in Ln5Mo3O16 + x (Ln = La, Pr, Nd, Sm, Gd; x ~ 0.5) with a fluorite-related structure, Chem. Mater., 1989, vol. 1, p. 253.
- Voronkova, V.I., Leonidov, I.A., Kharitonova, E.P., Belov, D.A., Patrakeev, M.V., Leonidova, O.N., and Kozhevnikov, V.L., Oxygen ion and electron conductivity in fluorite-like molybdates Nd5Mo3O16 and Pr5Mo3O16, J. Alloys Compd., 2014, vol. 615, p. 395.
- Istomin, S.Ya., Kotova, A.I., Lyskov, N.V., Mazo, G.N., and Antipov, E.V., Pr5Mo3O16 + δ: A new anode material for solid oxide fuel cells, Russ. J. Inorg. Chem., 2018, vol. 63, p. 1291.
- Biendicho, J.J., Playford, H.Y., Rahman, S.M.H., Norberg, S.T, Eriksson, S.G., and Hull, S., The fluorite-like phase Nd5Mo3O16 ± δ in the MoO3–Nd2O3 system: synthesis, crystal structure, and conducting properties, Inorg. Chem., 2018, vol. 57, p. 7025.
- Hubert, P.-H., Michel, P., and Thozet, A., Structure du molibdite de neodyme Nd5Mo3O16, C. R. Acad. Sci. Paris, 1973, vol. 276, p. 1789.
- Martinez-Lope, M.J., Alonso, J.A., Sheptyakov, D., and Pomyakushin, V., Preparation and structural study from neutron diffraction data of Pr5Mo3O16, J. Solid State Chem., 2010, vol. 183, p. 2974.
- Alekseeva, O.A., Gagor, A.B., Pietraszko, A.P., Sorokina, N.I., Bolotina, N.B., Artemov, V.V., Kharitonova, E.P., and Voronkova, V.I., Crystal structure of the oxygen conducting compound Nd5Mo3O16, Z. für Krist., 2012, vol. 227, p. 869.
- Faurie, J.-P., Preparation de nouvelles phases MLn4Mo3O16, MLn6Mo4O22 de structure derive du type fluorine, Bull. Soc. Chim. Fr., 1971, p. 3865.
- Voronkova, V., Kharitonova, E., Orlova, E., Kezionis, A., and Petrulionis, D., Effect of sodium and fluorine co-doping on the properties of fluorite-like rare-earth molybdates of Nd5Mo3O16 type, Eur. J. Inorg. Chem., 2019, p. 1250.
- Voronkova, V., Kharitonova, E., Orlova, E., Baldin, E., Gorshkov, N., Goffman, V., and Chernyak, S., Fluorite-like LixLn5 – xMo3O16.5 – 1.5xFx (Ln = La, Pr, Nd) compounds isostructural with Nd5Mo3O16, J. Amer. Ceram. Soc., 2020, vol. 103, p. 6414.
- Tietz, F., Thermal expansion of SOFC materials, Ionics, 1999, vol. 5, p. 129.
- Colomban, Ph., Proton and protonic species: the hidden face of solid state chemistry. How to measure h‑content in materials? Fuel Cells, 2013, vol. 13, p. 6.
- Tarasova, N. and Animitsa, I., Novel proton-conducting oxyfluorides Ba4 – 0.5xIn2Zr2O11 – xFx with perovskite structure, Solid State Ionics, 2014, vol. 264, p. 69.
- Shannon, R.D., Revised effective ionic radii and systematic studies of interatomie distances in halides and chaleogenides, Acta Crystallogr., Sect. A, 1976, vol. A32, p. 751.
Supplementary files







