Анализ экспериментальных результатов измерения концентрации дефектов в поверхностном слое оксида церия, допированного акцептором
- Авторы: Рис И.1
-
Учреждения:
- Физический факультет, Технион IIT
- Выпуск: Том 59, № 3 (2023)
- Страницы: 119-123
- Раздел: Статьи
- URL: https://journal-vniispk.ru/0424-8570/article/view/139240
- DOI: https://doi.org/10.31857/S0424857023030118
- EDN: https://elibrary.ru/HXGXWS
- ID: 139240
Цитировать
Полный текст
Аннотация
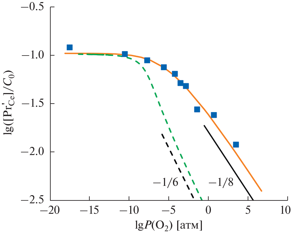
Дана теоретическая интерпретация последних экспериментальных результатов по зависимости концентрации малых поляронов от парциального давления кислорода, P(O2) в мономолекулярном поверхностном слое допированного оксида церия. Проанализированы два разных типа экспериментальных условий. (1) Исследована полностью восстановленная поверхность Sm0.2Ce0.8O1.9 – δ и оценено взаимодействие в системе [Ce3+]s–P(O2). Экспериментальные данные объяснены возникновением металлоподобного поверхностного слоя, в первом приближении нейтрального, т.е., с пренебрежимо малым переходом заряда в объем. Поверхность становится металлоподобной потому, что внешние электроны на ионах Ce3+, которые при низкой концентрации являются малыми поляронами, при высокой концентрации делокализуются. (2) Исследована поверхность Pr0.1Ce0.9O2 – δ. Экспериментальные данные, касающиеся взаимодействия [Pr3+]s–P(O2), объяснены образованием полупроводникового отрицательно заряженного мономолекулярного поверхностного слоя, образующего двойной слой с положительно заряженным объемом. Как в случае Sm0.2Ce0.8O1.9 – δ, так и Pr0.1Ce0.9O2 – δ зависимость концентрации поверхностных дефектов от P(O2) отличается от таковой в объеме.
Об авторах
И. Рис
Физический факультет, Технион IIT
Автор, ответственный за переписку.
Email: riess@technion.ac.il
Израиль, 3200003, Хайфа
Список литературы
- Oswald, S., Encyclopedia of Analytical Chemistry, John Wiley & Sons, 2013. March 15.
- Chueh, W.C., McDaniel, A.H., Grass, M.E., Hao, Y., Jabeen, N., Liu, Z., S. Haile, M., McCarty, K.F., Bluhm, H., and El Gabaly, F., Highly Enhanced Concentration and Stability of Reactive Ce3+ on Doped CeO2 Surface Revealed in Operando, Chem. Mater., 2012, vol. 24, p. 1876.
- Lu, Q., Vardar, G., Jansen, M., Bishop, S.R., Waluyo, I., Tuller, H.L., and Yildiz, B., Surface Defect Chemistry and Electronic Structure of Pr0.1Ce0.9O2 – δ Revealed in Operando, Chem. Mater., 2018, vol. 30, p. 2600.
- Devreese, J.T. and Peeters, F.M., Electron-phonon interaction in two-dimensional systems: polaron effects and screening, in: Phys. Two-Dimensional Electron Gas, Springer USA, 1987, p. 131–182.
- Riess, I., Analysis of point defect concentrations in highly reduced, monomolecular surface layer of doped ceria, Solid State Ionics, 2021, vol. 373, p. 115791.
- Ricken, M., Nölting, J., and Riess, I., Specific Heat and Phase Diagram of Non Stoichiometric Ceria (CeO2 – δ), J. Solid State Chem., 1984, vol. 54, p. 89.
- Stelzer, N., Nölting, J., and Riess, I., Phase Diagram of Nonstoichiometric 10 mol. % Gd2O3 Doped Cerium Oxide Determined from Specific Heat Measurements, J. Solid State Chem., 1995, vol. 117, p. 392.
- Riess, I., Analysis of the unique dependence on oxygen pressure of Pr3+ concentration in the surface of Pr doped ceria, Solid State Ionics, 2022, vol. 380, p. 115899.
- Chatzichristodoulou, C. and Hendriksen, P.V., Analysis of the unique dependence on oxygen pressure of Pr3+ concentration in the surface of Pr doped ceria, J. Electrochem. Soc., 2010, vol. 157, p. B481.





