Ionic (O2– and H+) Transport in Oxygen-Deficient Perovskites La2Me+3ZnO5.5
- Authors: Egorova A.V.1,2, Belova K.G.1,2, Lakiza N.V.2, Animitsa I.E.1,2
-
Affiliations:
- Institute of High-Temperature Electrochemistry, Ural Branch, Russian Academy of Science
- Ural Federal University named after the first President of Russia B.N. Eltsin
- Issue: Vol 59, No 4 (2023)
- Pages: 200-207
- Section: Articles
- URL: https://journal-vniispk.ru/0424-8570/article/view/139259
- DOI: https://doi.org/10.31857/S0424857023040059
- EDN: https://elibrary.ru/AOCERQ
- ID: 139259
Cite item
Full Text
Abstract
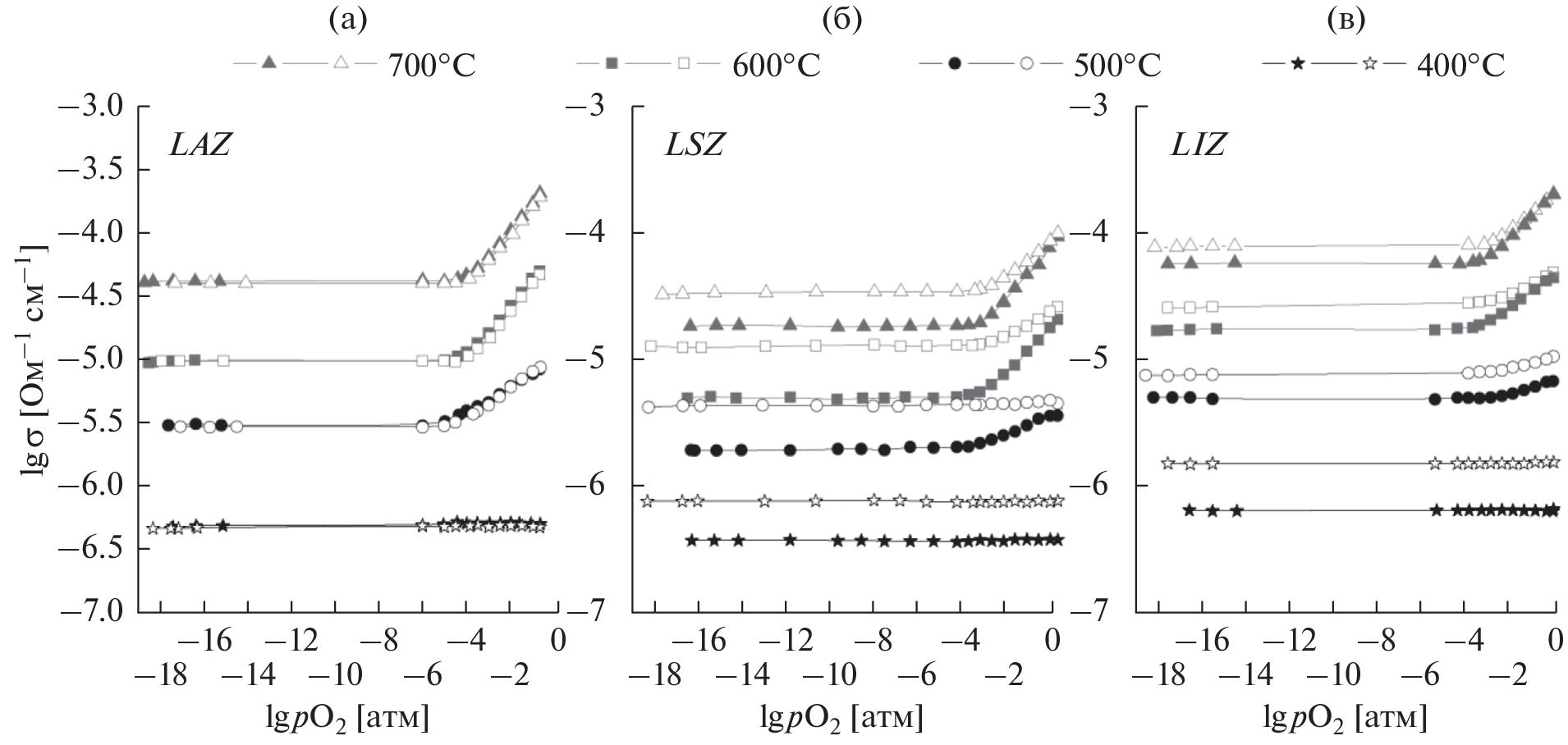
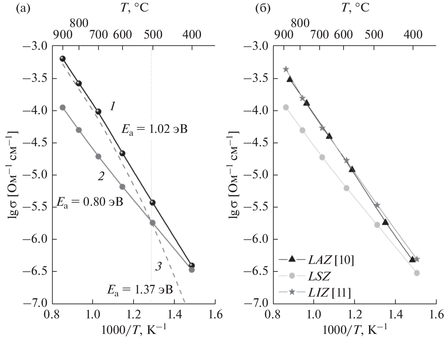
The paper is devoted to the study of the conduction mechanism in perovskite phases with composition La2Me+3ZnO5.5 (Me+3 = Al3+, Sc3+, In3+). The phases were synthesized by a standard ceramic technique in the 700–1300°C temperature range. The structure of the La2InZnO5.5 and La2ScZnO5.5 samples is orthorhombic, while the La2AlZnO5.5 sample crystallizes in the cubic symmetry. The electrical conductivity of La2Me+3ZnO5.5 (Me+3 = Al3+, Sc3+, In3+) samples is studied as a function of temperature (200–900°C), oxygen partial pressure pO2, and humidity pH2O. The complex oxides are found to have a mixed type of conduction in air, the electronic contribution (the p-type conduction) increases with increasing temperature. The phases exhibit the dominant oxygen-ion transport at temperatures below 500°C. In wet atmosphere, Sc3+- and In3+-containing samples are capable of incorporating water from gas phase and forming proton defects. No significant proton transport in the La2AlZnO5.5 sample is realized. The partial conductivities σH+, σO2−, σh in a wide range of temperatures and рО2 are discussed.
About the authors
A. V. Egorova
Institute of High-Temperature Electrochemistry, Ural Branch, Russian Academy of Science; Ural Federal University named after the first President of Russia B.N. Eltsin
Email: OAV-hn@yandex.ru
Yekaterinburg, Russia; Yekaterinburg, Russia
K. G. Belova
Institute of High-Temperature Electrochemistry, Ural Branch, Russian Academy of Science; Ural Federal University named after the first President of Russia B.N. Eltsin
Email: OAV-hn@yandex.ru
Yekaterinburg, Russia; Yekaterinburg, Russia
N. V. Lakiza
Ural Federal University named after the first President of Russia B.N. Eltsin
Email: OAV-hn@yandex.ru
Yekaterinburg, Russia
I. E. Animitsa
Institute of High-Temperature Electrochemistry, Ural Branch, Russian Academy of Science; Ural Federal University named after the first President of Russia B.N. Eltsin
Author for correspondence.
Email: OAV-hn@yandex.ru
Yekaterinburg, Russia; Yekaterinburg, Russia
References
- Schober, T., Protonic conduction in BaIn0.5Sn0.5O2.75, Solid State Ionics, 1998, vol. 109(1–2), p. 1. https://doi.org/10.1016/S0167-2738(98)00112-X
- Murugaraj, P., Kreuer, K., He, T., Schober, T., and Maier, J., High proton conductivity in barium yttrium stannate Ba2YSnO5.5, Solid State Ionics, 1997, vol. 98, p. 1. https://doi.org/10.1016/S0167-2738(97)00102-1
- Tarasova, N.A., Galisheva, A.O., and Animitsa, I.E., Hydration Processes and State of Oxygen-Hydrogen Groups in Fluorine-Substituted Perovskites Based on Ba4In2Zr2O11, Russ. J. Phys. Chem. A, 2019, vol. 93(7), p. 1281. https://doi.org/10.1134/S0036024419070276
- Baliteau, S., Mauvy, F., Fourcade, S., and Grenier, J., Investigation on double perovskite Ba4Ca2Ta2O11, Solid State Sci., 2009, vol. 11, p. 1572. https://doi.org/10.1016/j.solidstatesciences.2009.06.023
- Sazinas, R., Bernuy-Lopez, C., Einarsrud, M.-A., and Grande T., Effect of CO2 exposure on the chemical stability and mechanical properties of BaZrO3-ceramics, J. Amer. Ceram. Soc., 2016, vol. 99, p. 3685. https://doi.org/10.1111/jace.14395
- Kasyanova, A.V., Rudenko, A.O., Lyagaeva, Y.G., and Medvedev, D.A., Lanthanum-Containing Proton-Conducting Electrolytes with Perovskite Structures, Membranes and Membrane Technol., 2021, vol. 3(2), p. 73. https://doi.org/10.1134/S2517751621020050
- Okuyama, Y., Kozai, T., Ikeda, S., Matsuka, M., Sakai, T., and Matsumoto, H., Incorporation and conduction of proton in Sr-doped LaMO3 (M = Al, Sc, In, Yb, Y), Electrochim. Acta, 2014, vol. 125, p. 443. https://doi.org/10.1016/j.electacta.2014.01.113
- Nomura, K., Takeuchi, T., Tanase, S., Kageyama, H., Tanimoto, K., and Miyazaki, Y., Proton conduction in (La0.9Sr0.1)MIIIO3 – δ (MIII = Sc, In, and Lu) perovskites, Solid State Ionics, 2002, vols. 154–155, p. 647. https://doi.org/10.1016/S0167-2738(02)00512-X
- Belova, K., Egorova, A., Pachina, S., and Animitsa, I., Crystal Structure, Electrical Conductivity and Hydration of the Novel Oxygen-Deficient Perovskite La2ScZnO5.5, Doped with MgO and CaO, Appl. Sci. (Switzerland), 2022, vol. 12(3), 1181. https://doi.org/10.3390/app12031181
- Egorova, A.V., Belova, K.G., and Animitsa, I.E., New Oxygen-Deficient Perovskite La(Al0.5Zn0.5)O2.75: Synthesis, Structure, and Transport Properties, Russ. J. Phys. Chem. A, 2020, vol. 94(12), p. 2488. https://doi.org/10.1134/S0036024420120092
- Egorova, A.V., Morkhova, Y.A., Kabanov, A.A., Belova, K.G., Animitsa, I.E., Blatov, V. A., Pimenov, A.A., and Korona, D.V., Oxygen ionic transport in LaInO3 and LaIn0.5Zn0.5O2.75 perovskites: Theory and experiment, Solid State Ionics, 2021, vol. 372, 115790. https://doi.org/10.1016/j.ssi.2021.115790
- Bakiz, B., Guinneton, F., Arab, M., Benlhachemi, A., Villain, S., Satre, P., and Gavarri, J.-R., Carbonatation and Decarbonatation Kinetics in the La2O3–La2O2CO3 System under CO2 Gas Flows, Advances in Mater. Sci. and Engineering, 2010, vol. 2010, Article ID 360597, 6 p. https://doi.org/10.1155/2010/360597
- Lybye, D., Poulsen, F.W., and Mogensen, M., Conductivity of A- and B-site doped LaAlO3, LaGaO3, LaScO3 and LaInO3 perovskites, Solid State Ionics, 2000, vol. 128, p. 91. https://doi.org/10.1016/S0167-2738(99)00337-9
- Benam, M.R., Abdoshahi, N., and Sarmazdeh, M.M., Ab initio study of the effect of pressure on the structural and electronic properties of cubic LaAlO3 by density function theory using GGA, LDA and PBEsol exchange correlation potentials, Physica B, 2014, vol. 446, p. 32. https://doi.org/10.1016/j.physb.2014.04.006
- Van Grotthus, C.J.D., Sur la décomposition de l’eau et des corps qu’elle tient en dissolution à l’aide de l’électricité galvanique, Annali di Chimica, 1806, vol. 58, p. 54.
Supplementary files











