Synthesis and Conductivity of Heterogeneous Compositions Bi4V2 – хFeхO11 – d/n% FeOу (m% Al2O3)
- Autores: Krylov A.A.1, Emel’yanova Y.V.1, Buyanova E.S.1, Petrova S.A.2
-
Afiliações:
- Ural Federal University named after the First President of Russia B.N. Yeltsin
- Institute of Metallurgy, Ural Branch, Russian Academy of Science
- Edição: Volume 59, Nº 4 (2023)
- Páginas: 216-224
- Seção: Articles
- URL: https://journal-vniispk.ru/0424-8570/article/view/139264
- DOI: https://doi.org/10.31857/S0424857023040102
- EDN: https://elibrary.ru/AOLJKW
- ID: 139264
Citar
Texto integral
Resumo
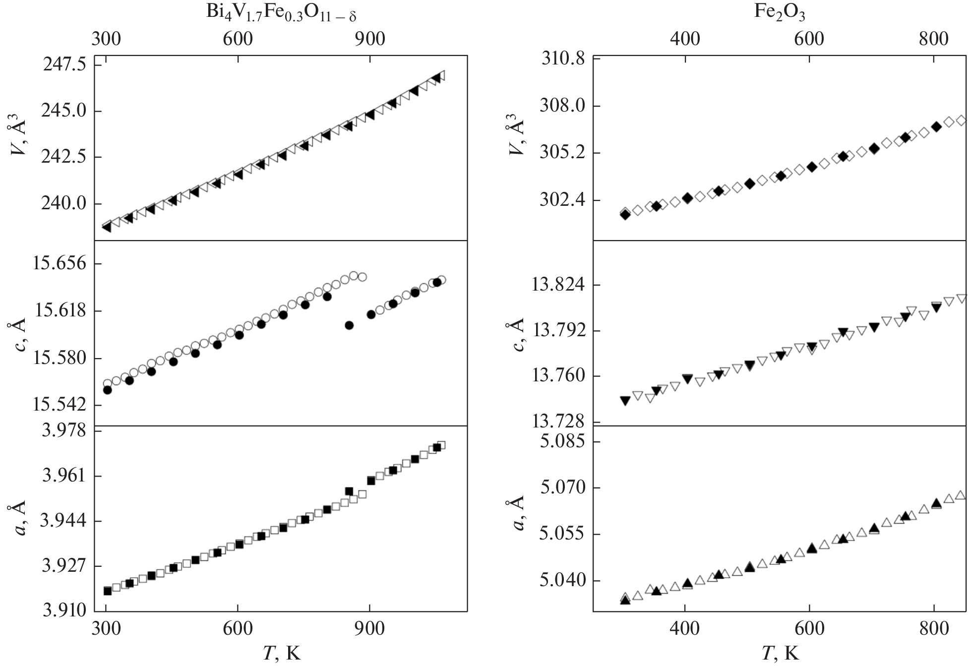
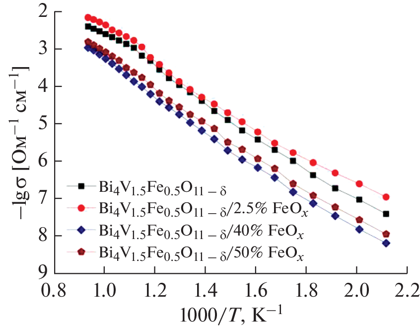
The structure and electrophysical characteristics of Bi4V2 – хFeхO11 – δ (BIFEVOX, where х = 0.3, 0.5) and its heterogeneous mixtures Bi4V2 – хFeхO11 – δ/n% FeOy and Bi4V2 – хFeхO11 – δ/m% Al2O3 are studied by varying their composition and the thermodynamic parameters of the environment. The crystallochemical parameters of individual compounds are calculated. The phase and elemental composition of samples is assessed using the XRD method and the scanning electron microscopy with energy-dispersive spectroscopic microanalysis; for individual phases, the absence of phase transitions is observed. The conductivity of materials is studied by the impedance spectroscopy. No composite effect is observed in these systems.
Palavras-chave
Sobre autores
A. Krylov
Ural Federal University named after the First President of Russia B.N. Yeltsin
Email: a020294@mail.ru
Yekaterinburg, 620002 Russia
Yu. Emel’yanova
Ural Federal University named after the First President of Russia B.N. Yeltsin
Email: a020294@mail.ru
Yekaterinburg, 620002 Russia
E. Buyanova
Ural Federal University named after the First President of Russia B.N. Yeltsin
Email: a020294@mail.ru
Yekaterinburg, 620002 Russia
S. Petrova
Institute of Metallurgy, Ural Branch, Russian Academy of Science
Autor responsável pela correspondência
Email: a020294@mail.ru
Yekaterinburg, 620016 Russia
Bibliografia
- Wang, B., Wang, Y., Fan, L., et al., Preparation and characterization of Sm and Ca co-doped ceria–La0.6Sr0.4Co0.2Fe0.8O3-δ semiconductor–ionic composites for electrolyte-layer-free fuel cells, J. Mater. Chem. A, 2016, vol. 4, p. 15426.
- Garcia-Barriocanal, J., Rivera-Calzada, A., Varela, M., et al., Colossal Ionic Conductivity at Interfaces of Epitaxial ZrO2:Y2O3/SrTiO3 Heterostructures, Science, 2008, vol. 321, p. 676.
- Lee, S., Zhang, W.R., Khatkhatay, F., et al., Ionic Conductivity Increased by Two Orders of Magnitude in Micrometer-Thick Vertical Yttria-Stabilized ZrO2 Nanocomposite Films, Nano letters, 2015, vol. 15, p. 7362.
- Wu, Y., Dong, B., Zhang, J., et al., The synthesis of ZnO/SrTiO3 composite for high efficiency photocatalytic hydrogen and electricity conversion, Int. J. Hydrogen Energy, 2018, vol. 43, p. 12627.
- Wu, Y., Xia, C., Zhang, W., et al., Natural Hematite for Next-Generation Solid Oxide Fuel Cells, Adv. Funct. Mater., 2016, vol. 26, p. 938.
- Liu, L., Liu, Y., Li, L., et al., The composite electrolyte with an insulation Sm2O3 and semiconductor NiO for advanced fuel cells, Int. J. Hydrogen Energy, 2018, vol. 43, p.12739.
- Singh, B., Ghosh, S., Aich, S., and Roy, B., Low temperature solid oxide electrolytes (LT-SOE): A review, J. Power Sources, 2017, vol. 339, p. 103.
- Piva, D.H., Venturini, J., Floriano, R., and Morelli, M.R., Inhibition of Order–Disorder Phase Transition and Improvements in the BICUVOX.1 Properties by Using Yttria-Stabilized Zirconia Particles, Ceram. Int., 2014, vol. 41, p. 171.
- Жуковский, В.М., Буянова, Е.С., Емельянова, Ю.В. и др. Синтез, структура и проводимость оксидной керамики BIMEVOX. Электрохимия. 2009. Т. 45. С. 547.
- Paydar, M.H., Hadian, A.M., Shimanoe, K., and Yamazoe, N., Microstructure, mechanical properties and ionic conductivity of BICUVOX – ZrO2 composite solid electrolytes, J. Mater. Sci., 2002, vol. 37, p. 2273.
- Lyskov, N.V., Metlin, Yu.G., Belousova, V.V., and Tretyakov, Yu.D., Transport properties of Bi2CuO4–Bi2O3 ceramic composites, Solid State Ionics, 2004, vol. 166, p. 207.
- Yongqing, Z., Yanjie, Y., Xiao, L., et al., Novel Magnetically Separable BiVO4/Fe3O4 Photocatalyst: Synthesis and Photocatalytic Performance under Visible-light Irradiation, Mater. Res. Bull., 2017, vol. 89, p. 297.
- Fedorov, S.V. and Belousov, V.V., Wetting and conductivity of BiVO4–V2O5 ceramic composites, Russ. J. Electrochem., 2009, vol. 45, p. 573.
- Sabolsky, E.M., Razmyar, S., and Sabolsky, K., Nano-ceria enhancement of Bi2Cu0.1V0.9O5.35 (BICUVOX) ceramic electrolytes, Mater. Lett., 2012, vol. 76, p. 47.
- Absah, H.Q.H.H., Bakar, M.S.A., Zaini, J.H., et al., Bi2O3 and La10Si6O27 composite electrolyte for enhanced performance in solid oxide fuel cells, IOP Conf. Series: Materials Science and Engineering, 2016, vol. 121, p. 012020.
- Беспрозванных, Н.В., Ершов, Д.С., Синельщикова, О.Ю. Композиты на основе SrO–Bi2O3–Fe2O3: синтез и электрофизические свойства. Журн. общей химии. 2019. Т. 89. №. 12. С. 1955.
- Буянова, Е.С., Емельянова, Ю.В., Морозова, М.В. и др. Синтез и характеристики композитных материалов на основе BIFEVOX. Журн. неорган. химии. 2018. Т. 63. № 10. С. 1280.
- Fox, Austin, Bruker, Eva, and Bascis, Manual, figshare, J. Contribution, 2015. https://doi.org/10.6084/m9.figshare.1294663.v2
- Gates-Rector, S. and Blanton, T., The Powder Diffraction File: A Quality Materials Characterization Database, Powder Diffr., 2019, vol. 34, p. 352. https://doi.org/10.1017/S0885715619000812
- CCP14 Homepage – Tutorials and Examples – LMGP suite for Windows by Jean Laugier and Bernard Bochu—Basic Demonstration of CELREF Unit-Cell refinement software on a multiphase system [Электронный ресурс] / Collaborative Computational Project № 14. London, 2003. Режим доступа: http://www.ccp14. ac.uk/tutorial/lmgp/celref.htm.
- Coelho, A.A., TOPAS and TOPAS-Academic: an optimization program integrating computer algebra and crystallographic objects written in C++, J. Appl. Cryst., 2018, vol. 51, p. 210. https://doi.org/10.1107/S1600576718000183
- Буянова, Е.С., Петрова, С.А., Емельянова, Ю.В. и др. Способы получения, структурные и электротранспортные характеристики ультрадисперсных порошков BIFEVOX. Журн. неорган. химии. 2009. Т. 54. №. 8. С.1257.
- Morozova, M.V., Buyanova, E.S., Emelyanova, Ju.V., et al., Highconducting oxide ceramics BIMEVOX: Synthesis, structure, and properties, Solid State Ionics, 2011, vol. 192, p. 153.
- Shimpei, I., Yuhki, Y., and Mizuguchi, J., Electrical Properties of Semiconductive α-Fe2O3 and Its Use as the Catalyst for Decomposition of Volatile Organic Compounds, Mater. Trans., 2010, vol. 51, p. 1163.
- Liao, P. and Carter, E.A., Hole transport in pure and doped hematite, J. Appl. Phys., 2012, vol. 112, p. 1.
- Wu, Y., Xia, C., Zhang, W., et al., Natural Hematite for Next-Generation Solid Oxide Fuel Cells, Adv. Funct. Mater., 2016, vol. 26, p. 938.
- Kant, R., Singh, K., and Pandey, O.P., Synthesis and characterization of bismuth vanadate electrolyte material with aluminium doping for SOFC application, Int. J. Hydrogen Energy, 2008, vol. 33, p. 455.
Arquivos suplementares












