One-Step Plasma-Assisted Electrochemical Synthesis of Nanocomposites of Few-Layer Graphene Structures with Manganese Oxides as Electrocatalysts for Oxygen Reduction Reaction
- Authors: Kochergin V.K.1, Manzhos R.A.1, Krivenko A.G.1
-
Affiliations:
- Institute of Problems of Chemical Physics, Russian Academy of Sciences
- Issue: Vol 59, No 4 (2023)
- Pages: 225-234
- Section: Articles
- URL: https://journal-vniispk.ru/0424-8570/article/view/139265
- DOI: https://doi.org/10.31857/S0424857023040096
- EDN: https://elibrary.ru/AOHMCL
- ID: 139265
Cite item
Full Text
Abstract
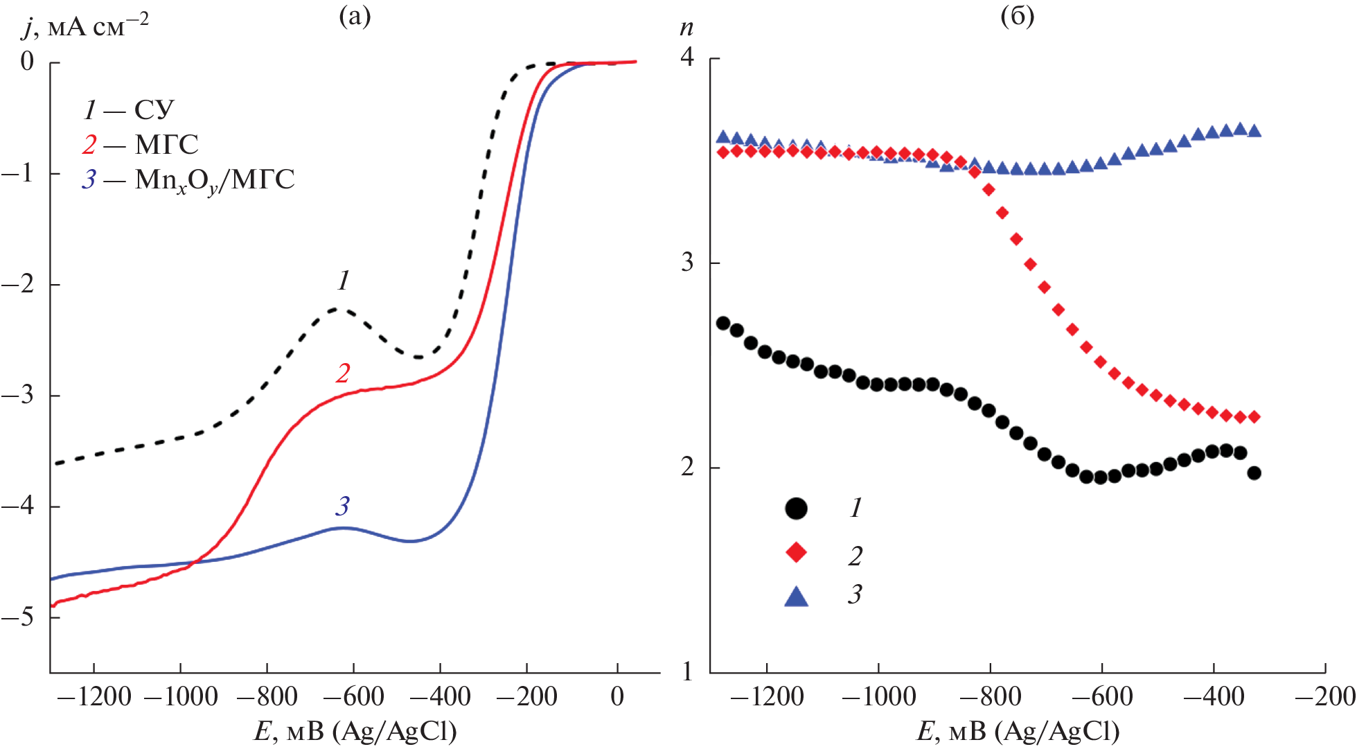
Using the method of plasma-assisted electrochemical exfoliation of graphite, a nanocomposite, which consists of few-layer graphene structures with surface decorated with manganese oxides nanoparticles, is synthesized in one-step process. It is found that this material exhibits a high electrocatalytic activity towards the oxygen reduction reaction due to the presence of manganese in the +2 and +3 oxidation states, and also carbonyl (quinone) functional groups on the surface of graphene structures.
About the authors
V. K. Kochergin
Institute of Problems of Chemical Physics, Russian Academy of Sciences
Email: kocherginvk@yandex.ru
Chernogolovka, 142432 Russia
R. A. Manzhos
Institute of Problems of Chemical Physics, Russian Academy of Sciences
Email: kocherginvk@yandex.ru
Chernogolovka, 142432 Russia
A. G. Krivenko
Institute of Problems of Chemical Physics, Russian Academy of Sciences
Author for correspondence.
Email: kocherginvk@yandex.ru
Chernogolovka, 142432 Russia
References
- Yang, Z., Nie, H.G., Chen, X., Chen, X.H., and Huang, S.M., Recent progress in doped carbon nanomaterials as effective cathode catalysts for fuel cell oxygen reduction reaction, J. Power Sources, 2013, vol. 236, p. 238. https://doi.org/10.1016/j.jpowsour.2013.02.057
- Jaouen, F., Proietti, E., Lefevre, M., Chenitz, R., Dodelet, J.P., Wu, G., Chung, H.T., Johnston, C.M., and Zelenay, P., Recent advances in non-precious metal catalysis for oxygen-reduction reaction in polymer electrolyte fuel cells, Energy Environ. Sci., 2011, vol. 4, no. 1, p. 114. https://doi.org/10.1039/c0ee00011f
- Shao, M.H., Chang, Q.W., Dodelet, J.P., and Chenitz, R., Recent Advances in Electrocatalysts for Oxygen Reduction Reaction, Chem. Rev., 2016, vol. 116, no. 6, p. 3594. https://doi.org/10.1021/acs.chemrev.5b00462
- Do, M.N., Berezina, N.M., Bazanov, M.I., Gysei-nov, S.S., Berezin, M.M., and Koifman, O.I., Electrochemical behavior of a number of bispyridyl-substituted porphyrins and their electrocatalytic activity in molecular oxygen reduction reaction, J. Porphyrins Phthalocyanines, 2016, vol. 20, p. 615. https://doi.org/10.1142/s1088424616500437
- Petrii, O.A., Electrosynthesis of nanostructures and nanomaterials, Russ. Chem. Rev., 2015, vol. 84, no. 2, p. 159. https://doi.org/10.1070/rcr4438
- Shao, Q., Li, F.M., Chen, Y., and Huang, X.Q., The Advanced Designs of High-Performance Platinum-Based Electrocatalysts: Recent Progresses and Challenges, Adv. Mater. Interfaces, 2018, vol. 5, no. 16, p. 1800486. https://doi.org/10.1002/admi.201800486
- Wang, D.L., Xin, H.L.L., Hovden, R., Wang, H.S., Yu, Y.C., Muller, D.A., DiSalvo, F.J., and Abruna, H.D., Structurally ordered intermetallic platinum-cobalt core-shell nanoparticles with enhanced activity and stability as oxygen reduction electrocatalysts, Nat. Mater., 2013, vol. 12, no. 1, p. 81. https://doi.org/10.1038/nmat3458
- Liu, G., Li, X.G., Ganesan, P., and Popov, B.N., Studies of oxygen reduction reaction active sites and stability of nitrogen-modified carbon composite catalysts for PEM fuel cells, Electrochim. Acta, 2010, vol. 55, p. 2853. https://doi.org/10.1016/j.electacta.2009.12.055
- Liang, Y.Y., Li, Y.G., Wang, H.L., Zhou, J.G., Wang, J., Regier, T., and Dai, H.J., Co3O4 nanocrystals on graphene as a synergistic catalyst for oxygen reduction reaction, Nat. Mater., 2011, vol. 10, no. 10, p. 780. https://doi.org/10.1038/nmat3087
- Bikkarolla, S.K., Yu, F.J., Zhou, W.Z., Joseph, P., Cumpson, P., and Papakonstantinou, P., A three-dimensional Mn3O4 network supported on a nitrogenated graphene electrocatalyst for efficient oxygen reduction reaction in alkaline media, J. Mater. Chem. A, 2014, vol. 2, no. 35, p. 14493. https://doi.org/10.1039/c4ta02279c
- Zhang, M.M., Li, R., Chang, X.X., Xue, C., and Gou, X.L., Hybrid of porous cobalt oxide nanospheres and nitrogen-doped graphene for applications in lithium-ion batteries and oxygen reduction reaction, J. Power Sources, 2015, vol. 290, p. 25. https://doi.org/10.1016/j.jpowsour.2015.04.178
- Lee, J.A., New concise inorganic chemistry, N.Y.: Van Nostrand Reinhold Co., 1977. 505 p.
- Stobbe, E.R., de Boer, B.A., and Geus, J.W., The reduction and oxidation behaviour of manganese oxides, Catal. Today, 1999, vol. 47, no. 1–4, p. 161. https://doi.org/10.1016/s0920-5861(98)00296-x
- Zwinkels, M.F.M., Jaras, S.G., Menon, P.G., and Griffin, T.A., Catalytic materials for high-temperature combustion, Catal. Rev. Sci. Eng., 1993, vol. 35, no. 3, p. 319. https://doi.org/10.1080/01614949308013910
- Vazquez-Olmos, A., Rodon, R., Rodriguez-Gattorno, G., Mata-Zamora, M.E., Morales-Leal, F., Fernandez-Osorio, A.L., and Saniger, J.M., One-step synthesis of Mn3O4 nanoparticles: Structural and magnetic study, J. Colloid Interface Sci., 2005, vol. 291, no. 1, p. 175. https://doi.org/10.1016/j.jcis.2005.05.005
- Hummers, Jr W.S. and Offeman, R.E., Preparation of graphitic oxide, J. Amer. Chem. Soc., 1958, vol. 80, no. 6, p. 1339. https://doi.org/10.1021/ja01539a017
- Liu, C.J., Vissokov, G.P., and Jang, B.W.L., Catalyst preparation using plasma technologies, Catal. Today, 2002, vol. 72, p. 173. https://doi.org/10.1016/s0920-5861(01)00491-6
- Yui, H., Someya, Y., Kusama, Y., Kanno, K., and Banno, M., Atmospheric discharge plasma in aqueous solution: Importance of the generation of water vapor bubbles for plasma onset and physicochemical evolution, J. Appl. Phys., 2018, vol. 124, p. 103301. https://doi.org/10.1063/1.5040314
- Belkin, P.N., Yerokhin, A., and Kusmanov, S.A., Plasma electrolytic saturation of steels with nitrogen and carbon, Surf. Coat. Technol., 2016, vol. 307, p. 1194. https://doi.org/10.1016/j.surfcoat.2016.06.027
- Morishita, T., Ueno, T., Panomsuwan, G., Hieda, J., Yoshida, A., Bratescu, M.A., and Saito, N., Fastest Formation Routes of Nanocarbons in Solution Plasma Processes, Sci. Rep., 2016, vol. 6, p. 1. https://doi.org/10.1038/srep36880
- Krivenko, A.G., Manzhos, R.A., Kotkin, A.S., Kochergin, V.K., Piven, N.P., and Manzhos, A.P., Production of few-layer graphene structures in different modes of electrochemical exfoliation of graphite by voltage pulses, Instrum. Sci. Technol., 2019, vol. 47, no. 5, p. 535. https://doi.org/10.1080/10739149.2019.1607750
- Bard, A.J. and Faulkner, L.R., Fundamentals and applications: Electrochemical methods, N.Y.: Wiley, 2001. 864 p.
- Qu, L.T., Liu, Y., Baek, J.B., and Dai, L.M., Nitrogen-Doped Graphene as Efficient Metal-Free Electrocatalyst for Oxygen Reduction in Fuel Cells, ACS Nano, 2010, vol. 4, no. 3, p. 1321. https://doi.org/10.1021/nn901850u
- Jurmann, G. and Tammeveski, K., Electroreduction of oxygen on multi-walled carbon nanotubes modified highly oriented pyrolytic graphite electrodes in alkaline solution, J. Electroanal. Chem., 2006, vol. 597, no. 2, p. 119. https://doi.org/10.1016/j.jelechem.2006.09.002
- Kotkin, A.S., Kochergin, V.K., Kabachkov, E.N., Shulga, Y.M., Lobach, A.S., Manzhos, R.A., and Krivenko, A.G., One-step plasma electrochemical synthesis and oxygen electrocatalysis of nanocomposite of few-layer graphene structures with cobalt oxides, Mater. Today Energy, 2020, vol. 17, p. 100459. https://doi.org/10.1016/j.mtener.2020.100459
- Stankovich, S., Dikin, D.A., Piner, R.D., Kohlhaas, K.A., Kleinhammes, A., Jia, Y., Wu, Y., Nguyen, S.T., and Ruoff, R.S., Synthesis of graphene-based nanosheets via chemical reduction of exfoliated graphite oxide, Carbon, 2007, vol. 45, no. 7, p. 1558. https://doi.org/10.1016/j.carbon.2007.02.034
- Gardner, S.D., Singamsetty, C.S.K., Booth, G.L., He, G.R., and Pittman, C.U., Surface characterization of carbon-fibers using angle-resolved XPS and ISS, Carbon, 1995, vol. 33, no. 5, p. 587. https://doi.org/10.1016/0008-6223(94)00144-o
- Tan, B.J., Klabunde, K.J., and Sherwood, P.M.A., XPS studies of solvated metal atom dispersed catalysts—evidence for layered cobalt manganese particles on alumina and silica, J. Amer. Chem. Soc., 1991, vol. 113, no. 3, p. 855. https://doi.org/10.1021/ja00003a019
- An, G.M., Yu, P., Xiao, M.J., Liu, Z.M., Miao, Z.J., Ding, K.L., and Mao, L.Q., Low-temperature synthesis of Mn3O4 nanoparticles loaded on multi-walled carbon nanotubes and their application in electrochemical capacitors, Nanotechnology, 2008, vol. 19, no. 27, p. 7. https://doi.org/10.1088/0957-4484/19/27/275709
- Apte, S.K., Naik, S.D., Sonawane, R.S., Kale, B.B., Pavaskar, N., Mandale, A.B., and Das, B.K., Nanosize Mn3O4 (Hausmannite) by microwave irradiation method, Mater. Res. Bull., 2006, vol. 41, no. 3, p. 647. https://doi.org/10.1016/j.materresbull.2005.08.028
- Dicastro, V. and Polzonetti, G., XPS study of MnO oxidation, J. Electron. Spectrosc. Relat. Phenom., 1989, vol. 48, nos. 1–2, p. 117. https://doi.org/10.1016/0368-2048(89)80009-x
- Murray, J.W., Dillard, J.G., Giovanoli, R., Moers, H., and Stumm, W., Oxidation of Mn(II)—initial mineralogy, oxidation-state and aging, Geochim. Cosmochim. Acta, 1985, vol. 49, no. 2, p. 463. https://doi.org/10.1016/0016-7037(85)90038-9
- Ardizzone, S., Bianchi, C.L., and Tirelli, D., Mn3O4 and gamma-MnOOH powders, preparation, phase composition and XPS characterisation, Colloids Surf. A Physicochem. Eng. Asp., 1998, vol. 134, no. 3, p. 305. https://doi.org/10.1016/s0927-7757(97)00219-7
- Laffont, L. and Gibot, P., High resolution electron energy loss spectroscopy of manganese oxides: Application to Mn3O4 nanoparticles, Mater. Charact., 2010, vol. 61, no. 11, p. 1268. https://doi.org/10.1016/j.matchar.2010.09.001
- Zhang, X., Zhang, X., Liu, Z., Tao, C., and Quan, X., Pulse current electrodeposition of manganese metal from sulfate solution, J. Environ. Chem. Eng., 2019, vol. 7, p. 103010. https://doi.org/10.1016/j.jece.2019.103010
- Wei, Q., Ren, X., Du, J., Wei, S., and Hu, S., Study of the electrodeposition conditions of metallic manganese in an electrolytic membrane reactor, Miner. Eng., 2010, vol. 23, p. 578. https://doi.org/10.1016/j.mineng.2010.01.009
- Peng, T., Xu, L., and Chen, H., Preparation and characterization of high specific surface area Mn3O4 from electrolytic manganese residue, Cent. Eur. J. Chem., 2010, vol. 8, no. 5, p. 1059. https://doi.org/10.2478/s11532-010-0081-4
- Yousefi, T., Golikand, A.N., Mashhadizadeh, M.H., and Aghazadeh, M., Hausmannite nanorods prepared by electrodeposition from nitrate medium via electrogeneration of base, J. Taiwan Inst. Chem. Eng., 2012, vol. 43, no. 4, p. 614. https://doi.org/10.1016/j.jtice.2012.01.003
- Koza, J.A., Schroen, I.P., Willmering, M.M., and Switzer, J.A., Electrochemical synthesis and nonvolatile resistance switching of Mn3O4 thin films, Chem. Mater., 2014, vol. 26, no. 15, p. 4425. https://doi.org/10.1021/cm5014027
- Zhou, X., Meng, T., Yi, F., Shu, D., Li, Z., Zeng, Q., Gao, A., and Zhu, Z., Supramolecular assisted fabrication of Mn3O4 anchored nitrogen-doped reduced graphene oxide and its distinctive electrochemical activation process during supercapacitive study, Electrochim. Acta, 2021, vol. 370, p. 137739. https://doi.org/10.1016/j.electacta.2021.137739
- Engel, A. von, Ionized Gases 2nd ed., Oxford: Clarendon Press, 1965. 325 p.
- Тарасевич, М.Р., Хрущева, Е.И., Филиновский, В.Ю. Вращающийся дисковый электрод с кольцом. М.: Наука, 1987. 248 c. [Tarasevich, M.R., Khrushcheva, E.I., and Filinovsky, V.Yu., Rotating Ring Disk Electrode (in Russian), Moscow: Nauka, 1987. 248 p.]
- Bonnefont, A., Ryabova, A.S., Schott, T., Kerangueven, G., Istomin, S.Y., Antipov, E.V., and Savinova, E.R., Challenges in the understanding oxygen reduction electrocatalysis on transition metal oxides, Curr. Opin. Electrochem., 2019, vol. 14, p. 23. https://doi.org/10.1016/j.coelec.2018.09.010
- Zhang, H., Lv, K., Fang, B., Forster, M.C., Dervisoglu, R., Andreas, L.B., Zhang, K., and Chen, S.L., Crucial role for oxygen functional groups in the oxygen reduction reaction electrocatalytic activity of nitrogen-doped carbons, Electrochim. Acta, 2018, vol. 292, p. 942. https://doi.org/10.1016/j.electacta.2018.09.175
- Kochergin, V.K., Manzhos, R.A., Khodos, I.I., and Krivenko, A.G., One-step synthesis of nitrogen-doped few-layer graphene structures decorated with Mn1.5Co1.5O4 nanoparticles for highly efficient electrocatalysis of oxygen reduction reaction, Mendeleev Commun., 2022, vol. 32, no. 3, p. 1. https://doi.org/10.1016/j.mencom.2022.07.020
- Ward, K.R., Lawrence, N.S., Hartshorne, R.S., and Compton, R.G., The theory of cyclic voltammetry of electrochemically heterogeneous surfaces: comparison of different models for surface geometry and applications to highly ordered pyrolytic graphite, Phys. Chem. Chem. Phys., 2012, vol. 14, no. 20, p. 7264. https://doi.org/10.1039/c2cp40412e
Supplementary files








