Моделирование формирования металлических микроструктур локальным электроосаждением на электропроводной подложке
- Авторы: Волгин В.М.1,2, Кабанова Т.Б.2, Гнидина И.В.1, Давыдов А.Д.2
-
Учреждения:
- Тульский государственный университет
- Институт физической химии и электрохимии им. А.Н. Фрумкина РАН
- Выпуск: Том 59, № 9 (2023)
- Страницы: 483-494
- Раздел: Статьи
- URL: https://journal-vniispk.ru/0424-8570/article/view/139368
- DOI: https://doi.org/10.31857/S0424857023090116
- EDN: https://elibrary.ru/MPGYGU
- ID: 139368
Цитировать
Полный текст
Аннотация
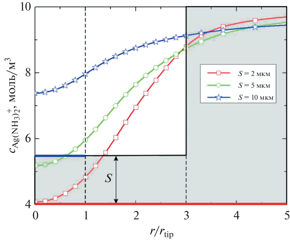
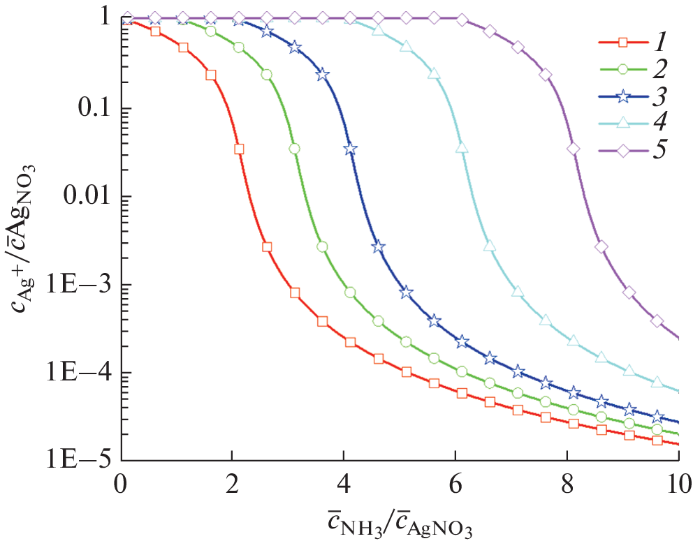
Проведен теоретический анализ формирования металлических микроструктур на металлических подложках на примере локального электроосаждения серебра численным моделированием взаимосвязанных электрохимических и гомогенных химических реакций. Показано, что локализация и скорость электроосаждения серебра зависят от соотношения полных концентраций аммиака, серебра и протонов в растворе. Определен диапазон значений относительной концентрации аммиака, обеспечивающей приемлемое сочетание локализации и скорости электроосаждения серебра. С использованием ряда упрощений проведены численные расчеты распределений концентраций участников реакций и плотности тока восстановления ионов серебра при различных концентрациях компонентов раствора и межэлектродных расстояниях. Показано, что степень локализации процесса осаждения металла зависит от распределения концентраций электроактивных катионов серебра и неэлектроактивного комплекса этого металла вблизи анода. Установлено, что скорость осаждения немонотонно зависит от расстояния между электродами, что объясняется затрудненностью доставки реагентов при малых межэлектродных расстояниях и увеличением доли электроактивных ионов серебра, диффундирующих в объем раствора при больших межэлектродных расстояниях.
Об авторах
В. М. Волгин
Тульский государственный университет; Институт физической химии и электрохимии им. А.Н. Фрумкина РАН
Email: volgin@tsu.tula.ru
Россия, 300012, Тула, просп. Ленина, 92; Россия, 119071, Москва, Ленинский просп., 31
Т. Б. Кабанова
Институт физической химии и электрохимии им. А.Н. Фрумкина РАН
Email: davydov@elchem.ac.ru
Россия, 119071, Москва, Ленинский просп., 31
И. В. Гнидина
Тульский государственный университет
Email: davydov@elchem.ac.ru
Россия, 300012, Тула, просп. Ленина, 92
А. Д. Давыдов
Институт физической химии и электрохимии им. А.Н. Фрумкина РАН
Автор, ответственный за переписку.
Email: davydov@elchem.ac.ru
Россия, 119071, Москва, Ленинский просп., 31
Список литературы
- Madden, J.D. and Hunter, I.W., Three-dimensional microfabrication by localized electrochemical deposition, J. Microelectromech. Syst., 1996, vol. 5(1), p. 24.
- Braun, T.M. and Schwartz, D.T., The emerging role of electrodeposition in additive manufacturing, Electrochem. Soc. Interface, 2016, vol. 25(1), p. 69.
- Давыдов, А.Д., Волгин, В.М. Электрохимическое локальное безмасковое микро/нано размерное осаждение, растворение и оксидирование металлов и полупроводников. Электрохимия. 2020. Т. 56. С. 56. [Davydov, A.D. and Volgin, V.M., Electrochemical local maskless micro/nanoscale deposition, dissolution, and oxidation of metals and semiconductors (a review), Russ. J. Electrochem., 2020, vol. 56(1), p. 52.]
- Xinchao, L., Pingmei, M., Sansan, A., and Wei, W., Review of additive electrochemical micro-manufacturing technology, Int. J. Mach. Tool. Manu., 2021, Art. 103848.
- Han, L., Sartin, M.M., Tian, Z.Q., Zhan, D., and Tian, Z.W., Electrochemical nanomachining, Curr. Opin. Electrochem., 2020, vol. 22, p. 80.
- Volgin, V.M., Kabanova, T.B., and Davydov, A.D., Modeling of local maskless electrochemical deposition of metal microcolumns, Chem. Eng. Sci., 2018, vol. 183, p. 123.
- Morsali, S., Daryadel, S., Zhou, Z., Behroozfar, A., Baniasadi, M., Moreno, S., Qian, D., and Minary-Jolandan, M., Multi-physics simulation of metal printing at micro/nanoscale using meniscus-confined electrodeposition: Effect of nozzle speed and diameter, J. Appl. Phys., 2017, vol. 121(21), p. 214305.
- Meltzer, S. and Mandler, D., Microwriting of gold patterns with the scanning electrochemical microscope, J. Electrochem. Soc., 1995, vol. 142. p. L82.
- De Abril, O., Mandler, D., and Unwin, P.R., Local cobalt electrodeposition using the scanning electrochemical microscope, Electrochem. Solid-State Lett., 2004, vol. 7, p. C71.
- Hirt, L., Gruter, R.R., Berthelot, T., Cornut, R., Voros, J., and Zambelli, T., Local surface modification via confined electrochemical deposition with FluidFM, RSC Adv., 2015, vol. 5, p. 84517.
- Hirt, L., Ihle, S., Pan, Z., Dorwling-Carter, L., Reiser, A., Wheeler, J.M., Prolenak, R., Voros, J., and Zambelli, T., Template-free 3D microprinting of metals using a force-controlled nanopipette for layer-by-layer electrodeposition, Adv. Mater., 2016, vol. 28, p. 2311.
- Feng, Z., Xie, Y., and Georgescu, N.S., High-Resolution Nanoprinting Approach through Self-Driven Electrodeposition, J. Electrochem. Soc., 2019, vol. 166(1), p. D3200.
- Ren, W., Xu, J., Lian, Z., Yu, P., and Yu, H., Modeling and Experimental Study of the Localized Electrochemical Micro Additive Manufacturing Technology Based on the FluidFM, Materials, 2020, vol. 13(12), p. 2783.
- Borgwarth, K., Ricken, C., Ebling, D.G., and Heinze, J., Surface characterisation and modification by the scanning electrochemical microscope (SECM), Ber. Bunsenges. Phys. Chem., 1995, vol. 99, p. 1421.
- Borgwarth, K. and Heinze, J., Increasing the resolution of the scanning electrochemical microscope using a chemical lens: Application to silver deposition, J. Electrochem. Soc., 1999, vol. 146, p. 3285.
- Radtke, V. and Heinze, J., Scanning electrochemical microscopy as a versatile tool for modifying surfaces, Z. Phys. Chem., 2004, vol. 218(1), p. 103.
- Ufheil, J., Hess, C., Borgwarth, K., and Heinze, J., Nanostructuring and nanoanalysis by scanning electrochemical microscopy (SECM), Phys. Chem. Chem. Phys., 2005, vol. 7(17), p. 3185.
- Radtke, V., Hess, C., Souto, R.M., and Heinze, J., Electroless, electrolytic and galvanic copper deposition with the Scanning Electrochemical Microscope (SECM), Z. Phys. Chem., 2006, vol. 220(4), p. 393.
- Ньюмен, Д. Электрохимические системы. М.: Мир, 1977.
- Сухотин, А.М. Справочник по электрохимии. Л.: Химия, 1981.
- Frank, M.J., Kuipers, J.A., and van Swaaij, W.P., Diffusion coefficients and viscosities of CO2 + H2O, CO2 + CH3OH, NH3 + H2O, and NH3 + CH3OH liquid mixtures, J. Chem. Eng. Data, 1996, vol. 41(2), p. 297.
- Батлер, Дж.Н. Ионные равновесия. Л.: Химия, 1973.
Дополнительные файлы












