Циклобис(паракват-n-фенилен)-медиаторный электросинтез наночастиц серебра
- Авторы: Насретдинова Г.Р.1, Фазлеева Р.Р.1, Янилкин А.В.2, Губайдуллин А.Т.1, Сираева Э.Т.3, Мансурова Э.Э.1, Зиганшина А.Ю.1, Янилкин В.В.1
-
Учреждения:
- Институт органической и физической химии им. А.Е. Арбузова, ФИЦ Казанский научный центр РАН
- Всероссийский научно-исследовательский институт автоматики им. Н.Л. Духова
- Казанский (Приволжский) федеральный университет, Междисциплинарный центр “Аналитическая микроскопия”
- Выпуск: Том 59, № 10 (2023)
- Страницы: 559-578
- Раздел: Статьи
- URL: https://journal-vniispk.ru/0424-8570/article/view/141821
- DOI: https://doi.org/10.31857/S0424857023100134
- EDN: https://elibrary.ru/YLZUMS
- ID: 141821
Цитировать
Полный текст
Аннотация
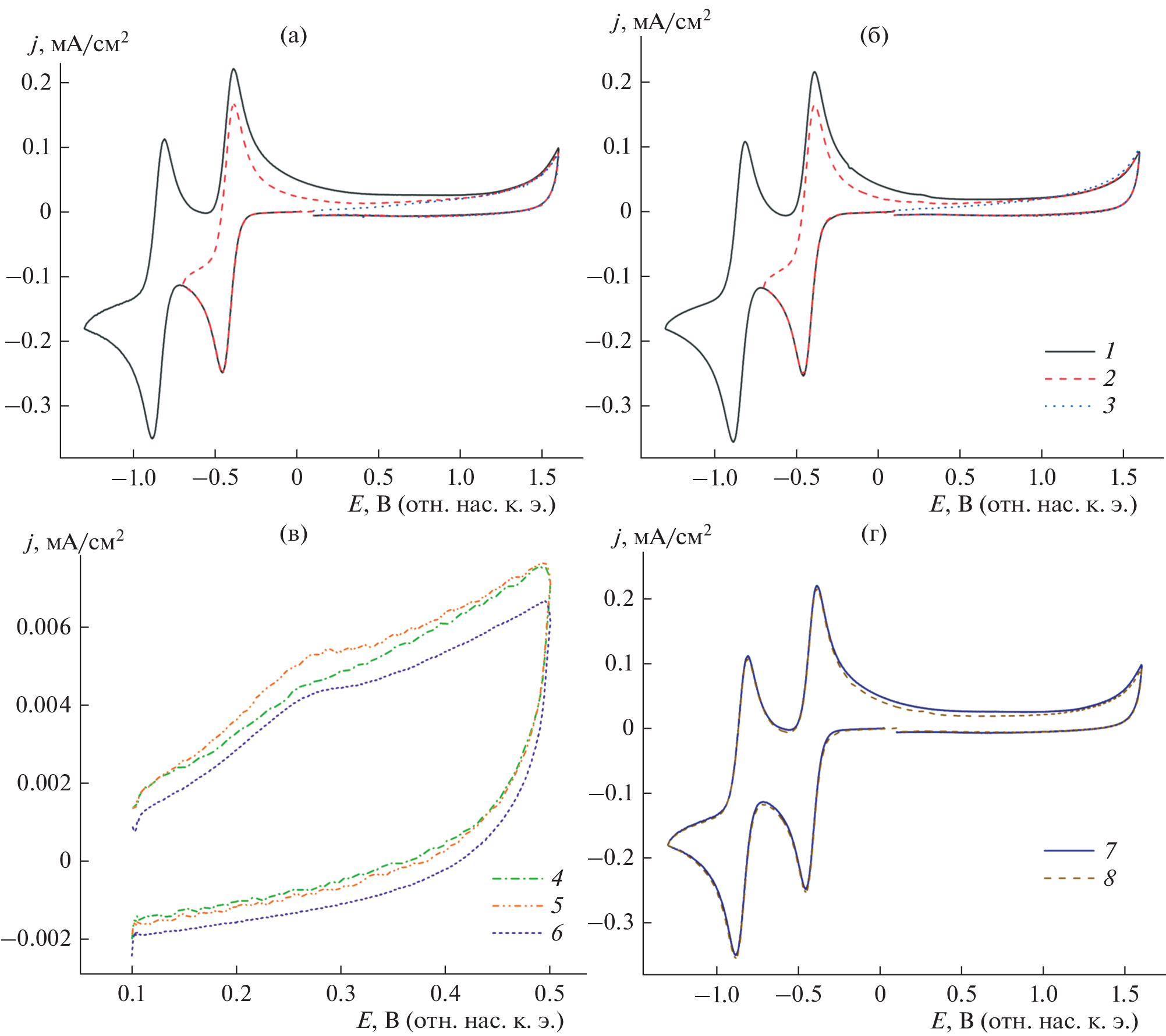
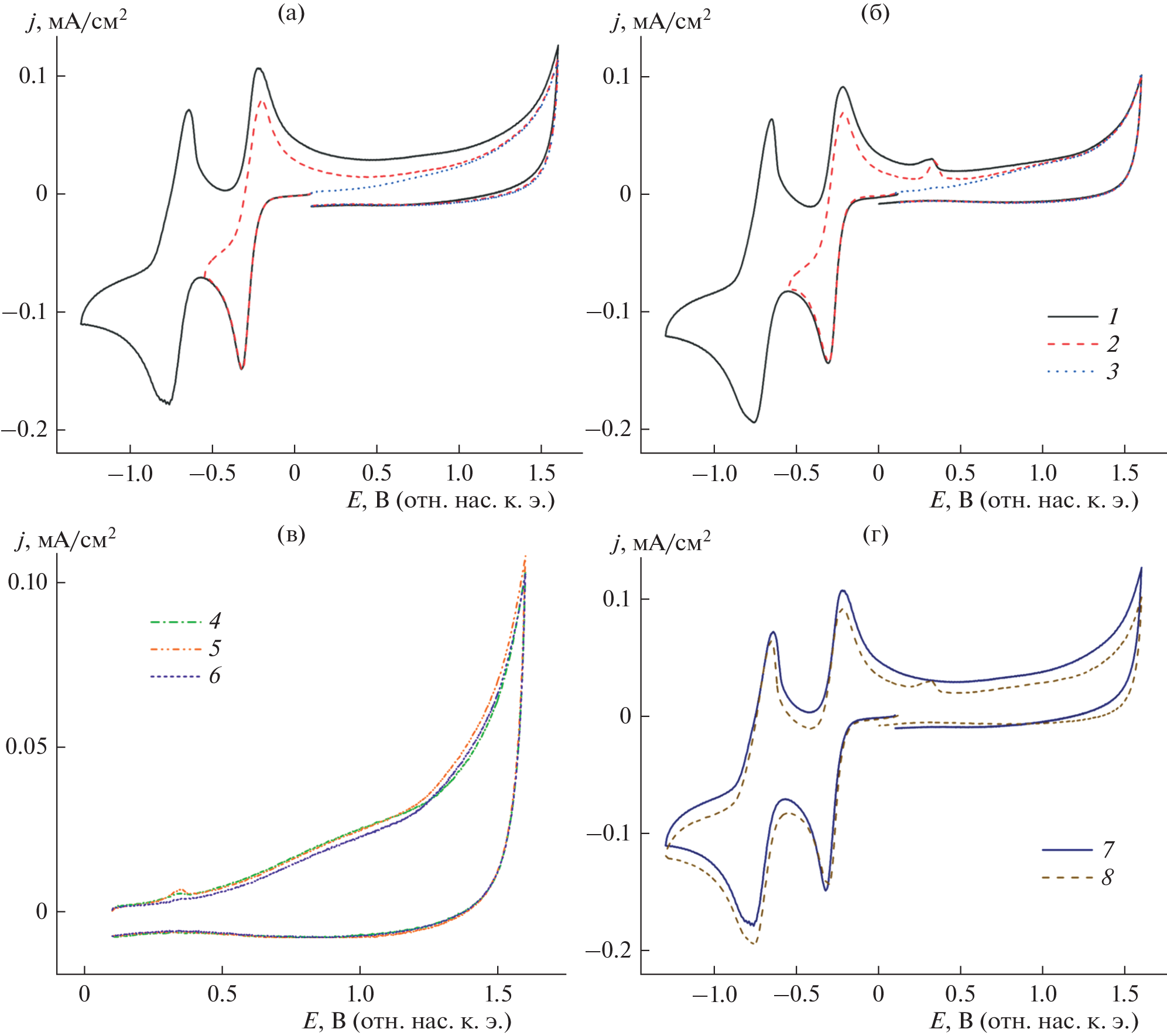
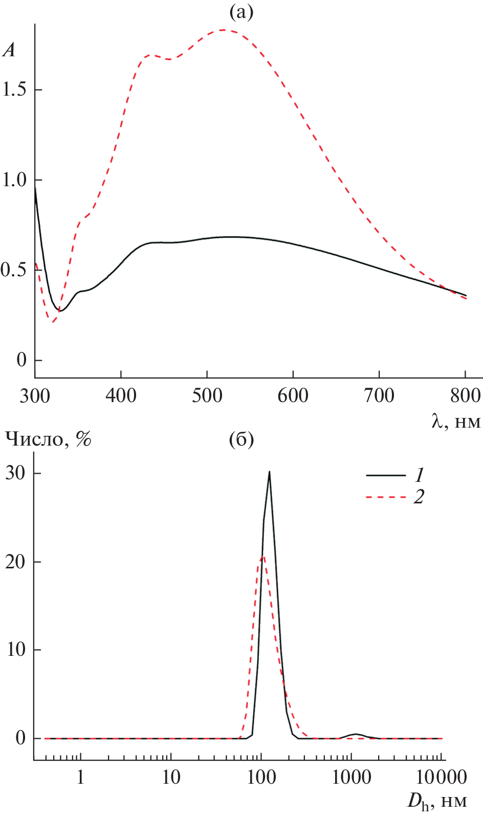
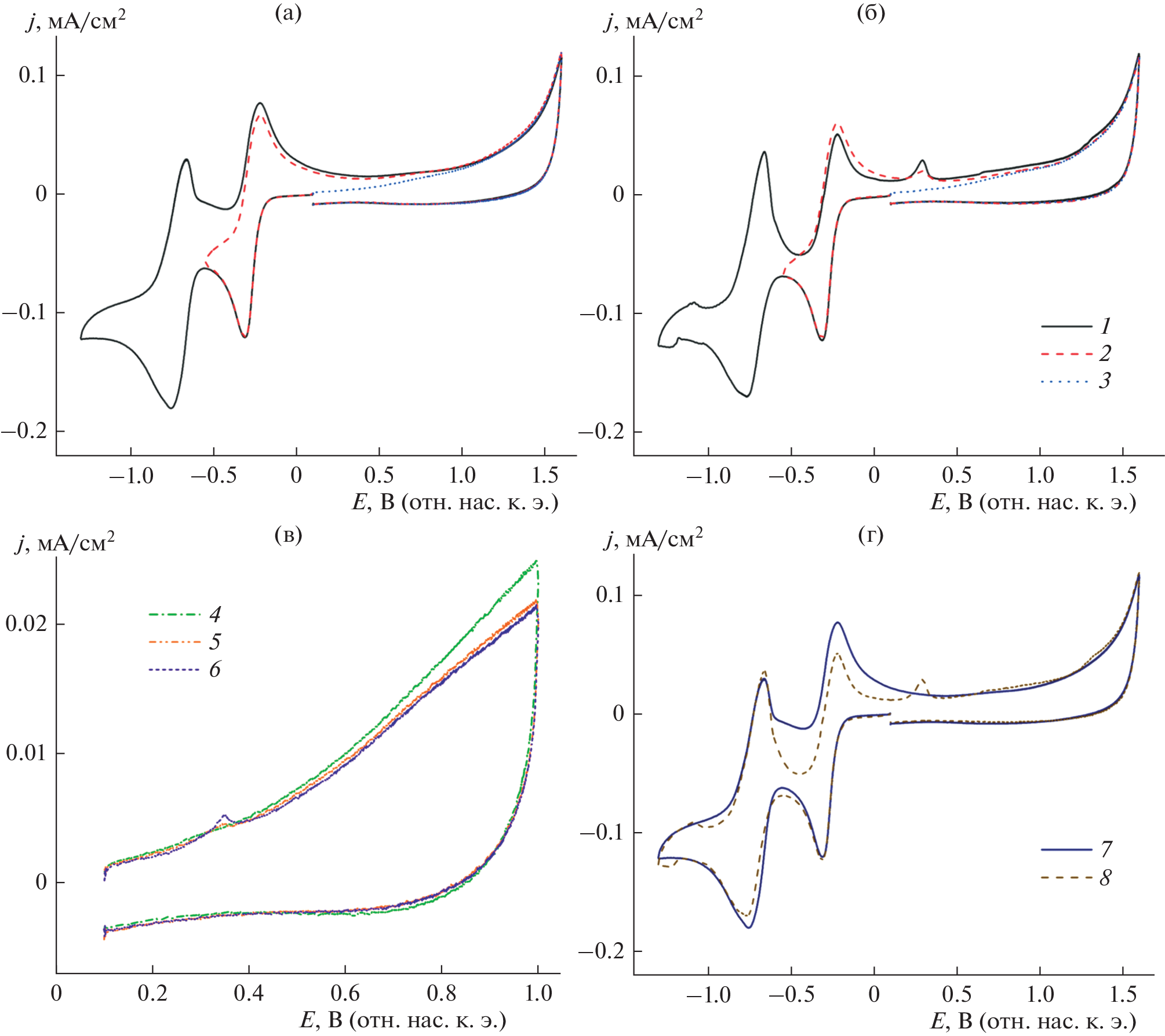
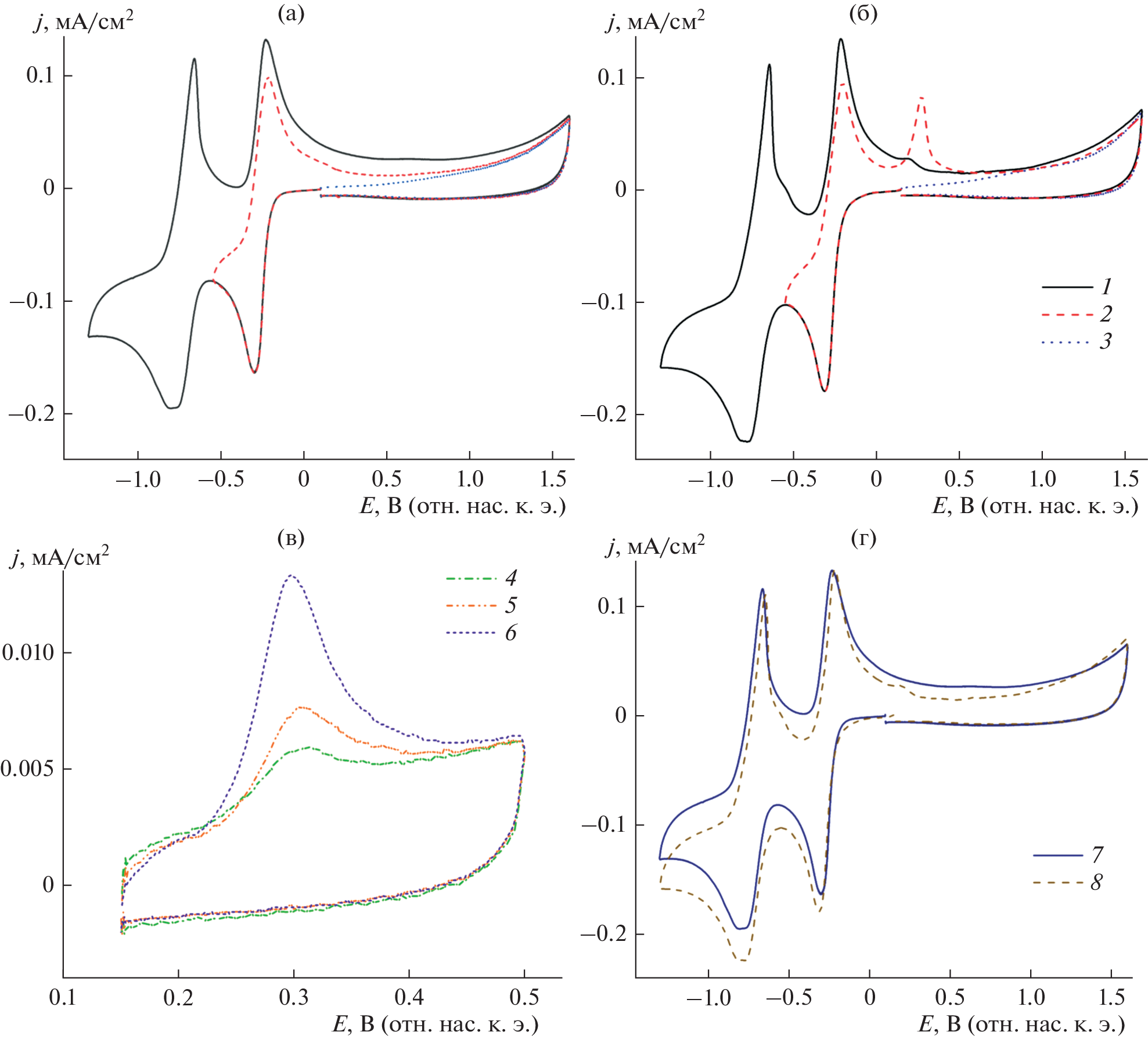
Циклобис(паракват-п-фенилен)(CBPQT4+)-медиаторным восстановлением ионов серебра, генерированных анодным окислением металлического серебра в ходе бездиафрагменного элетролиза, получены наночастицы серебра (НЧ-Ag) в среде MeCN/0.05 М Bu4NPF6. CBPQT4+, благодаря многоточечному донорно-акцепторному взаимодействию, связывает образующиеся электронодонорные НЧ-Ag между собой, что приводит к их укрупнению, агрегированию и адсорбции. Данное свойство макроцикла позволяет назвать его “молекулярным клеем” для НЧ-Ag. В отсутствие стабилизаторов образуются агрегированные полидисперсные НЧ-Ag неопределенной формы с размерами в диапазоне от 20 до 500 нм. Электросинтез в присутствии стабилизатора, поливинилпирролидона (ПВП), приводит к образованию также агрегированных частиц металла меньшего размера 55 ± 26 нм, имеющих, помимо квазисферической формы, форму плоского треугольника и шестиугольника. НЧ-Ag, стабилизированные ПВП, частично связываются на поверхности наноцеллюлозы (НЦ). В присутствии НЦ также образуются более крупные НЧ-Ag со средним размером 97 ± 29 нм, основная форма которых является квазисферической, также формируются НЧ-Ag кубической, тетраэдрической, стержнеобразной формы, НЧ-Ag с плоской структурой не образуются. Вследствие больших размеров, агрегирования и покрытия поверхности НЧ-Ag стабилизатором ПВП и макроциклом, каталитическая активность полученных частиц в реакции восстановления п-нитрофенола боргидридом натрия крайне низкая.
Об авторах
Г. Р. Насретдинова
Институт органической и физической химии им. А.Е. Арбузова, ФИЦ Казанский научный центр РАН
Email: nasybullina@iopc.ru
Россия, 420088, Казань, ул. Арбузова, 8
Р. Р. Фазлеева
Институт органической и физической химии им. А.Е. Арбузова, ФИЦ Казанский научный центр РАН
Email: yanilkin@iopc.ru
Россия, 420088, Казань, ул. Арбузова, 8
А. В. Янилкин
Всероссийский научно-исследовательский институт автоматики им. Н.Л. Духова
Email: yanilkin@iopc.ru
Россия, 127030, Москва, ул. Сущевская, 22
А. Т. Губайдуллин
Институт органической и физической химии им. А.Е. Арбузова, ФИЦ Казанский научный центр РАН
Email: yanilkin@iopc.ru
Россия, 420088, Казань, ул. Арбузова, 8
Э. Т. Сираева
Казанский (Приволжский) федеральный университет, Междисциплинарный центр “Аналитическая микроскопия”
Email: yanilkin@iopc.ru
Россия, 420018, Казань, ул. Кремлевская, 18
Э. Э. Мансурова
Институт органической и физической химии им. А.Е. Арбузова, ФИЦ Казанский научный центр РАН
Email: yanilkin@iopc.ru
Россия, 420088, Казань, ул. Арбузова, 8
А. Ю. Зиганшина
Институт органической и физической химии им. А.Е. Арбузова, ФИЦ Казанский научный центр РАН
Email: yanilkin@iopc.ru
Россия, 420088, Казань, ул. Арбузова, 8
В. В. Янилкин
Институт органической и физической химии им. А.Е. Арбузова, ФИЦ Казанский научный центр РАН
Автор, ответственный за переписку.
Email: yanilkin@iopc.ru
Россия, 420088, Казань, ул. Арбузова, 8
Список литературы
- Sanchez, C., Rozes, L., Ribot, F., Laberty-Robert, C., Grosso, D., Sassoye, C., Boissiere, C., and Nicole, L., Chimie douce: A land of opportunities for the designed construction of functional inorganic and hybrid organic-inorganic nanomaterials, C. R. Chim., 2010, vol. 1, p. 3.
- Помогайло, А.Д., Розенберг, А.С., Уфлянд, И.Е. Наночастицы металлов в полимерах, Химия, Москва, 2000, 672 с.
- Sih, B.C. and Wolf, M.O., Metal nanoparticle—conjugated polymer nanocomposites, Chem. Commun., 2005, p. 3375.
- Wang, Q., Deng, Y., Chen, J., Lu, L., Mab, Y., and Zang L., Electrochemical preparation of polypyrrole-Ag nanoparticles composite film and its resistive switching properties, J. Alloys Compd., 2022, vol. 927, p. 167117.
- Pinto, R.J.B., Neves, M.C., Neto, C.P., and Trindade, T., Composites of Cellulose and Metal Nanoparticles, in Nanocomposites—New Trends and Developments, Ebrahimi, F., Ed, Rijeka, Croatia: InTech, 2012, Chapter 4, p. 73.
- Fazleeva, R.R., Nasretdinova, G.R., Osin, Yu.N., Samigullina, A.I., Gubaidullin, A.T., and Yanilkin, V.V., An effective producing method of nanocomposites of Ag, Au, and Pd nanoparticles with poly(n-vinylpyrrolidone) and nanocellulose, Electrocatalysis, 2021, vol. 12, no. 3, p. 225.
- Янилкин, В.В., Фазлеева, Р.Р., Насретдинова, Г.Р., Осин, Ю.Н., Жукова, Н.А., Самигуллина, А.И., Губайдуллин, А.Т., Мамедов, В.А. Медиаторный электросинтез и каталитическая активность нанокомпозитов наночастиц металлов с поли(N-винилпирролидоном) и наноцеллюлозой. Электрохимия. 2021. Т. 57. С. 34. [Yanilkin, V.V., Fazleeva, R.R., Nasretdinova, G.R., Osin, Yu.N., Zhukova, N.A., Samigullina, A.I., Gubaidullin, A.T., and Mamedov, V.A., Mediated electrosynthesis and catalytic activity of nanocomposites formed by metal nanoparticles with poly(N-vinylpyrrolidone) and nanocellulose, Russ. J. Electrochem., 2021, vol. 57, p. 30.]
- Фазлеева, Р.Р., Насретдинова, Г.Р., Осин, Ю.Н., Губайдуллин, А.Т., Янилкин, В.В. Электрохимический способ получения глобул ультрамалых наночастиц родия с поли(N-винилпирролидоном) на поверхности волокон наноцеллюлозы. Изв. АН, Сер. хим. 2021. Т. 70. № 10. С. 1908. [Fazleeva, R.R., Nasretdinova, G.R., Osin, Yu.N., Gubaidullin, A.T., and Yanilkin, V.V., Electrochemical method for producing globules of ultrasmall rhodium nanoparticles with poly(N-vinylpyrrolidone) bound to the surface of nanocellulose fibers, Russ. Chem. Bull., Int. Ed., vol. 70, no. 10, p. 1908.]
- El-Shamy, O.A.A. and Deyab, M.A., Novel anticorrosive coatings based on nanocomposites of epoxy, chitosan, and silver, Mater. Lett., 2023, vol. 330, p. 133298.
- Khan, M., Tahir, M.N., Adil, S.F., Khan, H.U., Siddiqui, M.R.H., Al-warthan, A.A., and Tremel, W., Graphene based metal and metal oxide nanocomposites: synthesis, properties and their applications, J. Mater. Chem. A, 2015, vol. 3, p. 18753.
- Khoshraftar, R., Shishehbore, M.R, and Sheibani, A., Synthesis and characterization of graphene oxide–CuNPs–Fe–MOF nanocomposite and its application to simultaneous determination of Eskazina and Dopamine in real samples, J. Electroanal. Chem., 2022, vol. 926, p. 116945.
- Kharisov, B.I., Kharissova, O.V., Méndez, U.O., and De La Fuente, I.G., Decoration of carbon nanotubes with metal nanoparticles: Recent trends, Synth. React. Inorg. M., 2016, vol. 46, p. 5.
- Sepahvand, R., Adeli, M., Astinchap, B., and Kabiri, R., New nanocomposites containing metal nanoparticles, carbon nanotube and polymer, J. Nanoparticle Res., 2008, vol. 10, p.1309.
- Bhavani, K.S., Anusha, T., and Brahman, P.K., Fabrication and characterization of gold nanoparticles and fullerene-C60 nanocomposite film at glassy carbon electrode as potential electro-catalyst towards the methanol oxidation, Int. J. Hydrogen. Energy, 2019, vol. 44, p. 25863.
- Kumar, P.A., Namboodiri, V.V., Joshi, G., and Mehta, K.P., Fabrication and applications of fullerene-based metal nanocomposites: A review, J. Mater. Res., 2021, vol. 36, p. 114.
- Yanilkin, V.V., Nastapova, N.V., Nasretdinova, G.R., Osin, Yu.N., and Gubaidullin, A.T., Fullerene mediated electrosynthesis of Au/C60 nanocomposite, ECS J. Solid State Sci. Technol., 2017, vol. 6, no. 4, p. M19.
- Yanilkin, V.V., Nastapova, N.V., Nasretdinova, G.R., Fazleeva, R.R., Samidullina, A.I., Gubaidullin, A.T., Ivshin, Y.V., Evtugin, V.G., and Osin, Yu.N., Fullerene-mediated electrosynthesis of Ag–C60 nanocomposite in a water-organic two-phase system, Mendeleev Commun., 2017, vol. 27, p. 577.
- Yanilkin, V.V., Nastapova, N.V., Nasretdinova, G.R., Fazleeva, G.M., Islamova, L.N., Osin, Yu.N., and Gubaidullin, A.T., Mediated electrosynthesis of nanocomposites: Au nanoparticles in matrix of C70 and some derivatives of C60 fullerene, ECS J. Solid State Sci. Technol., 2017, vol. 6, no. 12, p. M143.
- Yanilkin, V.V., Fazleeva, R.R., Nasretdinova, G.R., Nastapova, N.V., and Osin, Yu.N., Fullerene mediated electrosynthesis of silver nanoparticles in toluene-DMF, ECS J. Solid State Sci. Technol., 2018, vol. 7, no. 4, p. M55.
- Ray, C. and Pal, T., Recent advances of metal–metal oxide nanocomposites and their tailored nanostructures in numerous catalytic applications, J. Mater. Chem. A, 2017, vol. 5, p. 9465.
- Pachaiappan, R., Rajendran, S., Show, P.L. Manavalan, K., and Naushad, Mu., Metal/metal oxide nanocomposites for bactericidal effect: A review, Chemosphere, 2021, vol. 272, p. 128607.
- Фазлеева, Р.Р., Насретдинова, Г.Р., Осин, Ю.Н., Зиганшина, А.Ю., Янилкин, В.В. Двухстадийный электросинтез и каталитическая активность наночастиц Ag, Au, Pd на носителе из СоО–СоО·xН2О. Изв. АН. Сер. хим. 2020. № 2. С. 241. [Fazleeva, R.R., Nasretdinova, G.R., Osin Yu.N., Ziganshina, A.Yu., and Yanilkin, V.V., Two-step electrosynthesis and catalytic activity of СоО–СоО·xН2О-supported Ag, Au, Pd nanoparticles, Russ. Chem. Bull., Int. Ed., 2020, vol. 69, № 2, p. 241.]
- Fazleeva, R.R., Nasretdinova, G.R., Osin, Yu.N., Samigullina, A.I., Gubaidullin, A.T., and Yanilkin, V.V., CoO–xCo(OH)2 supported silver nanoparticles: electrosynthesis in acetonitrile and catalytic activity, Mendeleev Commun., 2020, vol. 30, p. 456.
- Yanilkin, V.V., Fazleeva, R.R., Nasretdinova, G.R., Osin, Yu.N., Gubaidullin, A.T., and Ziganshina, A.Yu., Two-step one-pot electrosynthesis and catalytic activity of xCoO–yCo(OH)2-supported silver nanoparticles, J. Solid State Electrochem., 2020, vol. 24, p. 829.
- Nastapova, N.V., Nasretdinova, G.R., Osin, Yu.N., Gubaidullin, A.T., and Yanilkin, V.V., Two-step mediated electrosynthesis and catalytic activity of Au/Cu2O@poly(N-vinylpyrrolidone) nanocomposite, ECS J. Solid State Sci. Technol., 2020, vol. 9, p. 061007.
- Fazleeva, R.R., Nasretdinova, G.R., Gubaidullin, A.T., Evtyugin, V.G., and Yanilkin, V.V., The two-step electrosynthesis of nanocomposites of Ag, Au, and Pd nanoparticles with iron(II) oxide-hydroxide, New J. Chem., 2022, vol. 46, p. 2380.
- Fazleeva, R.R., Nasretdinova, G.R., Evtyugin, V.G., Gubaidullin, A.T., and Yanilkin, V.V., Electrosynthesis of nanocomposites of Ag, Au, Pd nanoparticles with aluminum(III), zinc(II), and titanium(IV) oxide-hydroxides, J. Solid State Electrochem., 2022, vol. 26, p. 2271.
- Hanske, Ch., Sanz-Ortiz, M.N., and Liz-Marzán, L.M., Silica-Coated Plasmonic Metal Nanoparticles, in Action in Colloidal Synthesis of Plasmonic Nanometals, Liz-Marzán, L.M., Ed, New York: Jenny Stanford Publishing Pte. Ltd., 2020, p. 755.
- Ma, Zh., Jiang, Y., Xiao, H., Jiang, B., Zhang, H., Peng, M., Dong, G., Yu, X., and Yang, J., Sol–gel preparation of Ag-silica nanocomposite with high electrical conductivity, Appl. Surf. Sci., 2018, vol. 436, p. 732.
- Yanilkin, V.V., Nastapova, N.V., Nasretdinova, G.R., Fazleeva, R.R., Toropchina, A.V., and Osin, Yu.N., Methylviologen mediated electrochemical reduction of AgCl—A new route to produce a silica core/Ag shell nanocomposite material in solution, Electrochem. Commun., 2015, vol. 59, p. 60.
- Fedorenko, S., Jilkin, M., Nastapova, N., Yanilkin, V., Bochkova, O., Buriliov, V., Nizameev, I., Nasretdinova, G., Kadirov, M., Mustafina, A., and Budnikova, Y., Surface decoration of silica nanoparticles by Pd(0) deposition for catalytic application in aqueous solutions, Colloids Surf., A Physicochem. Eng. Asp., 2015, vol. 486, p. 185.
- Nasretdinova, G.R., Fazleeva, R.R., Yanilkin, A.V., Yanilkin, I.V., Gubaidullin, A.T., Evtyugin, V.G., Mansurova, E.E., Ziganshina, A.Y., and Yanilkin, V.V., Cyclobis(paraquat-p-phenylene)—mediated electrosynthesis of new-type nanocomposite of palladium nanoparticles with designated macrocyclic organic compound, Electrochim. Acta, 2022, vol. 434, p. 141271.
- Bernardo, A.R., Stoddart, J.F., and Kaifer, A.E., Cyclobis(paraquat-p-phenylene) as a synthetic receptor for electron-rich aromatic compounds: electrochemical and spectroscopic studies of neurotransmitter binding, J. Amer. Chem. Soc., 1992, vol. 114, p. 10624.
- Goodnow, T.T., Reddington, M.V., Stoddart, J.F., and Kaifer, A.E., Cyclobis(paraquat-p-phenylene): a novel synthetic receptor for amino acids with electron-rich aromatic moieties, J. Amer. Chem. Soc., 1991, vol. 113, p. 4335.
- Asakawa, M., Dehaen, W., L’abbé, G., Menzer, S., Nouwen, J., Raymo, F.M., Stoddart, J.F., and Williams, D.J., Improved template-directed synthesis of cyclobis(paraquat-p-phenylene), J. Org. Chem., 1996, vol. 61, p. 9591.
- Yanilkin, V.V., Nasybullina, G.R., Ziganshina, A.Yu., Nizamiev, I.R., Kadirov, M.K., Korshin, D.E., and Konovalov, A.I., Tetraviologen calix[4]resorcine as a mediator of the electrochemical reduction of [PdCl4]2– for the production of Pd0 nanoparticles, Mendeleev Commun., 2014, vol. 24, p. 108.
- Янилкин, В.В., Насыбуллина, Г.Р., Султанова, Э.Д., Зиганшина, А.Ю., Коновалов, А.И. Метилвиологен и тетравиологеновый каликс[4]резорцин – медиаторы электрохимического восстановления [PdCl4]2– с образованием мелкодисперсного Pd0. Изв. АН. Cер. хим. 2014. № 6. С. 1409. [Yanilkin, V.V., Nasybullina, G.R., Sultanova, E.D., Ziganshina, A.Yu., and Konovalov, A.I., Methylviologen and tetraviologen calix[4]resorcinol as mediators of the electrochemical reduction of [PdCl4]2– with formation of finely dispersed Pd0, Russ. Chem. Bull., Int. Ed., 2014, vol. 63, no. 6, p. 1409.]
- Nasretdinova, G.R., Fazleeva, R.R., Mukhitova, R.K., Nizameev, I.R., Kadirov, M.K., Ziganshina, A.Yu., and Yanilkin, V.V., Electrochemical synthesis of silver nanoparticles in solution, Electrochem. Commun., 2015, vol. 50, p. 69.
- Янилкин, В.В., Настапова, Н.В., Насретдинова, Г.Р., Мухитова, Р.К., Зиганшина, А.Ю., Низамеев, И.Р., Кадиров, М.К. Медиаторный электрохимический синтез наночастиц палладия в растворе. Электрохимия. 2015. Т. 51. С. 1077. [Yanilkin, V.V., Nastapova, N.V., Nasretdinova, G.R., Mukhitova, R.K., Ziganshina, A.Yu., Nizameev, I.R., and Kadirov, M.K., Mediated electrochemical synthesis of Pd0 nanoparticles in solution, Russ. J. Electrochem., 2015, vol. 51, p. 951.]
- Насретдинова, Г.Р., Фазлеева, Р.Р., Мухитова, Р.К., Низамеев, И.Р., Кадиров, М.К., Зиганшина, А.Ю., Янилкин, В.В. Медиаторный электрохимический синтез наночастиц серебра в объеме раствора. Электрохимия. 2015. Т. 51. С. 1164. [Nasretdinova, G.R., Fazleeva, R.R., Mukhitova, R.K., Nizameev, I.R., Kadirov, M.K., Ziganshina, A.Yu., and Yanilkin, V.V., Electrochemical mediated synthesis of silver nanoparticles in solution, Russ. J. Electrochem., 2015, vol. 51, p. 1029.]
- Yanilkin, V.V., Nastapova, N.V., Nasretdinova, G.R., Fedorenko, S.V., Jilkin, M.E., Mustafina, A.R., Gubaidullin, A.T., and Osin, Yu.N., Methylviologen mediated electrosynthesis of gold nanoparticles in the solution bulk, RSC Advances, 2016, vol. 6, p. 1851.
- Nasretdinova, G.R., Osin, Yu.N., Gubaidullin, A.T., and Yanilkin, V.V., Methylviologen mediated electrosynthesis of palladium nanoparticles stabilized with CTAC, J. Electrochem. Soc., 2016, vol. 163, p. G99.
- Янилкин, В.В., Настапова, Н.В.,. Султанова, Э.Д, Насретдинова, Г.Р., Мухитова, Р.К., Зиганшина, А.Ю., Низамеев, И.Р., Кадиров М.К. Электрохимический синтез нанокомпозита наночастиц палладия с полимерной виологенсодержащей нанокапсулой. Изв. АН. Сер. хим. 2016. № 1. С. 125. [Yanilkin, V.V, Nastapova, N.V., Sultanova, E.D., Nasretdinova, G.R., Mukhitova, R.K., Ziganshina, A.Yu., Nizameev, I.R., and Kadirov, M.K.. Electrochemical synthesis of nanocomposite of palladium nanoparticles with polymer viologen-containing nanocapsule, Russ. Chem. Bull., Int. Ed., 2016, vol. 65, no. 1, p. 125.]
- Насретдинова, Г.Р., Фазлеева, Р.Р., Осин, Ю.Н., Губайдуллин, А.Т., Янилкин, В.В. Метилвиологен-медиаторный электрохимический синтез наночастиц серебра восстановлением наносфер AgCl, стабилизированных хлоридом цетилтриметиламмония. Электрохимия. 2017. Т. 53. С. 31. [Nasretdinova, G.R., Fazleeva, R.R., Osin, Yu.N., Gubaidullin, A.T., and Yanilkin, V.V., Methylviologen-mediated electrochemical synthesis of silver nanoparticles via the reduction of AgCl nanospheres stabilized by cetyltrimethylammonium chloride, Russ. J. Electrochem., 2017, vol. 53, p. 31.]
- Янилкин, В.В., Настапова, Н.В., Насретдинова, Г.Р., Фазлеева, Р.Р., Федоренко, С.В., Мустафина, А.Р., Осин, Ю.Н. Метилвиологен-медиаторный электрохимический синтез наночастиц платины в объеме раствора. Электрохимия. 2017. Т. 53. С. 578. [Yanilkin, V.V., Nastapova, N.V., Nasretdinova, G.R., Fazleeva, R.R., Fedorenko, S.V., Mustafina, A.R., and Osin, Yu.N., Methylviologen-mediated electrochemical synthesis of platinum nanoparticles in solution bulk, Russ. J. Electrochem., 2017, vol. 53, no. 5, p. 509.]
- Yanilkin, V.V., Nastapova, N.V., Nasretdinova, G.R., and Osin, Yu.N., Electrosynthesis of gold nanoparticles mediated by methylviologen using a gold anode in single compartment cell, Mendeleev Commun., 2017, vol. 27, p. 274.
- Янилкин, В.В., Настапова, Н.В., Фазлеева, Р.Р., Насретдинова, Г.Р., Султанова, Э.Д., Зиганшина, А.Ю., Губайдуллин, А.Т., Самигуллина, А.И., Евтюгин, В.Г., Воробьев, В.В., Осин, Ю.Н. Электрохимический синтез наночастиц металлов с использованием полимерного медиатора, восстановленная форма которого адсорбируется (осаждается) на электроде. Изв. АН. Сер. хим. 2018. № 2. С. 215. [Yanilkin, V.V., Nastapova, N.V., Fazleeva, R.R., Nasretdinova, G.R., Sultanova, E.D., Ziganshina, А.Yu., Gubaidullin, A.T., Samigullina, А.I., Evtugin, V.G., Vorobev, V.V., and Osin, Yu.N., Electrochemical synthesis of metal nanoparticles using polymeric mediator whose reduced form is adsorbed (deposited) on an electrode, Russ. Chem. Bull., Int. Ed., 2018, vol. 67, no. 2, p. 215.]
- Nasretdinova, G.R., Fazleeva, R.R., Osin, Yu.N., Evtugin, V.G., Gubaidullin, A.T., Ziganshina, A.Yu., and Yanilkin, V.V., Methylviologen mediated electrochemical synthesis of catalytically active ultrasmall bimetallic PdAg nanoparticles stabilized by CTAC, Electrochim. Acta, 2018, vol. 285, p. 149.
- Yanilkin, V.V., Nastapova, N.V., Nasretdinova, G.R., Osin, Y.N., Evtjugin, V.G., Ziganshina, A.Yu., and Gubaidullin, A.T., Structure and catalytic activity of ultrasmall Rh, Pd and (Rh + Pd) nanoparticles obtained by mediated electrosynthesis, New J. Chem., 2019, vol. 43, p. 3931.
- Kresse, G. and Furthmüller, J., Efficient iterative schemes for ab initio total-energy calculations using a plane-wave basis set, Phys. Rev. B. Condens. Matter., 1996, vol. 54, p. 11169.
- Perdew, J.P., Burke, K., and Ernzerhof, M., Generalized gradient approximation made simple, Phys. Rev. Lett. Am. Phys. Soc., 1996, vol. 77, p. 3865.
- Kresse, G. and Joubert, D., From ultrasoft pseudopotentials to the projector augmented-wave method, Phys. Rev. B. Am. Phys. Soc., 1999, vol. 59, p. 1758.
- DIFFRAC Plus Evaluation Package EVA, Version 11.0.0.3, User Manual, Bruker AXS, Karlsruhe, Germany, 2005.
- TOPAS V.3: General Profile and Structure Analysis Software for Powder Diffraction Data, Technical Reference, Bruker AXS, Karlsruhe, Germany, 2005.
- Anelli, P.L., Ashton, P.R., Ballardini, R., Balzani, V., Delgado, M., Gandolfi, M.T., Goodnow, T.T., Kaifer, A.E., Philp, D., Pietraszkiewicz, M., Prodi, L., Reddington, M.V., Slawin, A.M.Z., Spencer, N., Stoddart, J.F., Vicent, C., and Williams, D.J., Molecular Meccano. 1. [2]Rotaxanes and a [2]catenane made to order, J. Amer. Chem. Soc., 1992, vol. 114, p. 193.
- Kosower, E.M. and Cotter, J.L., Stable free radicals. II. The reduction of 1-methyl-4-cyanopyridinium ion to methylviologen cation radical, J. Amer. Chem. Soc., 1964, vol. 86, 24, 5524.
- Янилкин, В.В., Насретдинова, Г.Р., Кокорекин, В.А. Медиаторный электрохимический синтез наночастиц металлов. Успехи химии. 2018. Т. 87. № 11. С. 1080. [Yanilkin, V.V., Nasretdinova, G.R., and Kokorekin, V.A., Mediated electrochemical synthesis of metal nanoparticles, Russ. Chem. Rev., 2018, vol. 87, no.11, p. 1080.]
- Kittel, Ch., Introduction to Solid State Physics, 8th edition. Hoboken, N.Y.: John Wiley & Sons, Inc, 2005.
- Koczkur, K.M., Mourdikoudis, S., Polavarapu, L., and Skrabalak, S.E., Polyvinylpyrrolidone (PVP) in nanoparticle synthesis, Dalton Trans., 2015, vol. 44, p. 17883.
- Xia, Y., Xiong, Y., Lim, B., and Skrabalak, S.E., Shape-controlled synthesis of metal nanocrystals: Simple chemistry meets complex physics? Angew. Chem. Int. Ed., 2009, vol. 48, p. 60.
- Хлебцов, Н.Г. Оптика и биофотоника наночастиц с плазмонным резонансом. Квантовая электроника. 2008. Т. 38. № 6. С. 504.
- Gu, S., Wunder, S., Lu, Y., Ballauff, M., Fenger, R., Rademann, K., Jaquet, B., and Zaccone, A., Kinetic analysis of the catalytic reduction of 4-nitrophenol by metallic nanoparticles, J. Phys. Chem. C, 2014, vol. 118, p. 18618.
- Chatterjee, S. and Bhattacharya, S.K., Size-dependent catalytic activity of PVA-stabilized palladium nanoparticles in p‑nitrophenol reduction: using a thermoresponsive nanoreactor, ACS Omega, 2021, vol. 6, p. 20746.
- Ayad, A.I., Luart, D., Dris A.O., and Guénin, E., Kinetic analysis of 4-nitrophenol reduction by “water-soluble” palladium nanoparticles, Nanomaterials, 2020, vol. 10, p. 1169.
- Pradhan, N., Pal, A., and Pal, T., Silver nanoparticle catalyzed reduction of aromatic nitro compounds, Colloids Surf. A, 2002, vol. 196 p. 247.
- Wang, H. and Lu, J., A review on particle size effect in metal-catalyzed heterogeneous reactions, Chin. J. Chem. 2020, vol. 38, p. 1422.
- Donoeva, B. and de Jongh, P.E., Colloidal Au catalyst preparation: Selective removal of polyvinylpyrrolidone from active Au sites, ChemCatChem, 2018, vol. 10, p. 989.
Дополнительные файлы


















