ELECTROTRANSPOT CHARACTERISTICS OF POLYANILINE-MODIFIED CATION EXCHANGE MEMBRANES IN SOLUTIONS OF NICKEL AND CHROMIUM SULFATES AND SULFURIC ACID
- Authors: Falina I.V.1, Loza N.V.1, Kononenko N.A.1, Kutenko N.A.1
-
Affiliations:
- Kuban State University
- Issue: Vol 59, No 10 (2023)
- Pages: 593-605
- Section: Articles
- URL: https://journal-vniispk.ru/0424-8570/article/view/141823
- DOI: https://doi.org/10.31857/S0424857023100055
- EDN: https://elibrary.ru/WJUEJE
- ID: 141823
Cite item
Full Text
Abstract
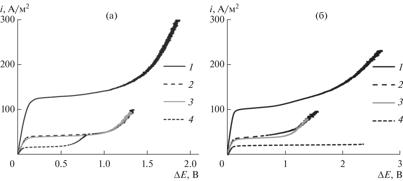
The electrotranspot and structural characteristics of the MK-40 and MF-4SK sulfocationic membranes modified with polyaniline in an electrodialysis apparatus were studied in solutions of nickel and chromium sulfates and sulfuric acid. The decrease in the conductivity of membranes and the increase in their diffusion permeability in solutions of all electrolytes after modification with polyaniline were estimated. The key effect of the charge of the counterion on the electrical conductivity of the initial and modified membranes was confirmed, and an unusual effect of reducing the electrical conductivity of the MF-4SK/PANI membrane with an increase in the concentration of a solution containing multi-charged counter-ion was found. The information on the effect of multi-charged ions on the structure of a homogeneous and heterogeneous membranes, obtained by the method of standard contact porometry, is supplemented by the estimation of transport and structural parameters of microheterogeneous model. Based on the analysis of the parameters of current-voltage curves in solutions of nickel and chromium sulfates and sulfuric acid, the prospects of using the polyaniline-modified membranes in the processes of electrodialysis treatment of acid solutions containing multi-charged ions are evaluated.
About the authors
I. V. Falina
Kuban State University
Email: irina_falina@mail.ru
149 Stavropolskaya st., Krasnodar, 350040 Russia
N. V. Loza
Kuban State University
Email: irina_falina@mail.ru
149 Stavropolskaya st., Krasnodar, 350040 Russia
N. A. Kononenko
Kuban State University
Email: irina_falina@mail.ru
149 Stavropolskaya st., Krasnodar, 350040 Russia
N. A. Kutenko
Kuban State University
Author for correspondence.
Email: irina_falina@mail.ru
149 Stavropolskaya st., Krasnodar, 350040 Russia
References
- Shaposhnik, V.A. and Kesore, K., An early history of electrodialysis with permselective membranes, J. Membr. Sci., 1997, vol. 136, issue 1–2, p. 35.
- Xu, T., Ion exchange membranes: State of their development and perspective, J. Membr. Sci., 2005, vol. 263, p. 1.
- Campione, L., Gurreri, M., Ciofalo, G., Micale, A., Tamburini, A., and Cipollina, A., Electrodialysis for water desalination: A critical assessment of recent developments on process fundamentals, models and applications, Desalination, 2018, vol. 434, p. 121.
- Ghyselbrecht, K., Silva, A., Van der Bruggen, B., Boussu, K, Meesschaert, B., and Pinoy, L., Desalination feasibility study of an industrial NaCl stream by bipolar membrane electrodialysis, J. Environ. Manage., 2014, vol. 140, p. 69.
- Buzzi, D.C., Viegas, L.S., Rodrigues, M.A.S., Bernardes, A.M., and Tenório, J.A.S., Water recovery from acid mine drainage by electrodialysis, Miner. Eng., 2013, vol. 40, p. 82.
- Martí-Calatayud, M.C., Buzzi, D.C., García-Gabaldón, M., Ortega, E., Bernardes, A.M., Tenório, J.A.S., and Pérez-Herranz, V., Sulfuric acid recovery from acid mine drainage by means of electrodialysis, Desalination, 2014, vol. 343, p. 120.
- Kattan Readi, O.M., Gironès, M., and Nijmeijer, K., Separation of complex mixtures of amino acids for biorefinery applications using electrodialysis, J. Membr. Sci., 2013, vol. 429, p. 338.
- Huang, C., Xu, T., Zhang, Y., Xue, Y., and Chen, G., Application of electrodialysis to the production of organic acids: State-of-the-art and recent developments, J. Membr. Sci., 2007, vol. 288, p. 1.
- Al-Saydeh, S.A., El-Naas, M.H., and Zaidi, S.J., Copper removal from industrial wastewater: A comprehensive review, J. Industr. Eng. Chem., 2017, vol. 56, p. 35.
- Rana, D., Matsuura, T., Kassim, M.A., and Ismail, A.F., Radioactive decontamination of water by membrane processes—A review, Desalination, 2013, vol. 321, p. 77.
- Rotta, E.H., Bitencourt, C.S., Marder, L., and Bernardes, A.M., Phosphorus recovery from low phosphate-containing solution by electrodialysis, J. Membr. Sci., 2019, vol. 573, p. 293.
- Belkada, F.D., Kitous, O., Drouiche, N., Aoudj, S., Bouchelaghem, O., Abdi, N., Grib, H., and Mameri, N., Electrodialysis for fluoride and nitrate removal from synthesized photovoltaic industry wastewater, Sep. Purif. Technol., 2018, vol. 204, p. 108.
- Yaroslavtsev, A.B. and Nikonenko, V.V., Ion-exchange membrane materials: Properties, modification, and practical application, Nanotechnol. Russ., 2009, vol. 4, p. 137. https://doi.org/10.1134/S199507800903001X
- Yaroslavtsev, A.B., Perfluorinated ion-exchange membranes, Polymer Science, Ser. A, 2013, vol. 55, p. 674. https://doi.org/10.1134/S0965545X13110060
- Nagarale, R.K., Gohil, G.S., and Shahi, V. K., Recent developments on ion-exchange membranes and electro-membrane processes, Adv. Colloid Interface Sci., 2006, vol. 119, p. 97.
- Thakur, A.K. and Malmali, M., Advances in polymeric cation exchange membranes for electrodialysis: An overview, J. Environ. Chem. Eng., 2022, vol. 10, issue 5, p. 108295.
- Юрова, П.А., Стенина, И.А., Ярославцев, А.Б. Влияние на транспортные свойства катионообменных мембран МК-40 модификации перфторсульфополимером и оксидом церия. Электрохимия. 2020. Т. 56. С. 568. [Yurova, P.A., Stenina, I.A., and Yaroslavtsev, A.B., The effect of the cation-exchange membranes MK-40 modification by perfluorinated sulfopolymer and ceria on their transport properties, Russ. J. Electrochem., 2020, vol. 56, p. 528.]
- Шалимов, А.С., Перепелкина, А.И., Стенина, И.А., Ребров, А.И., Ярославцев, А.Б. Транспортные свойства мембран МФ-4СК, модифицированных гидратированным фосфатом циркония. Журн. неорган. химии. 2009. Т. 54. С. 403. [Shalimov, A.S., Perepelkina, A.I., Stenina, I.A., Rebrov, A.I., and Yaroslavtsev, A.B., Ion transport in MF-4SK membranes modified with hydrous zirconium hydrogen phosphate, Russ. J. Inorganic Chem., 2009, vol. 54, p. 356.]
- Sata, T., Studies on anion exchange membranes having permselectivity for specific anions in electrodialysis – effect of hydrophilicity of anion exchange membranes on permselectivity of anions, J. Membr. Sci., 2000, vol. 167, p. 1.
- Sata, T., Sata, T., and Yang, W., Studies on cation-exchange membranes having permselectivity between cations in electrodialysis, J. Membr. Sci., 2002, vol. 206, p. 31.
- Vaselbehagh, M., Karkhanechi, H., Takagi, R., and Matsuyama, H., Surface modification of an anion exchange membrane to improve the selectivity for monovalent anions in electrodialysis—experimental verification of theoretical predictions, J. Membr. Sci., 2015, vol. 490, p. 301.
- Blythe, T. and Bloor, D., Electrical properties of polymers. Second Edition, Cambridge University Press, 2005, 480 p.
- Berezina, N.P., Kononenko, N.A., Sytcheva, A.A.-R., Loza, N.V., Shkirskaya, S.A., Hegman, N., and Pungor, A., Perfluorinated nanocomposite membranes modified by polyaniline: electrotransport phenomena and morphology, Electrochim. Acta, 2009, vol. 54, p. 2342.
- Tan, S. and Belanger, D., Characterization and transport properties of Nafion/Polyaniline composite membranes, J. Phys. Chem., B, 2005, vol. 109, p. 23480.
- Березина, Н.П., Кононенко, Н.А., Филиппов, А.Н., Шкирская, С.А., Фалина, И.В., Сычева, А.А.-Р. Электротранспортные свойства, морфология и модельное описание мембран МФ-4СК, поверхностно-модифицированных полианилином. Электрохимия. 2010. Т.46. С. 515. [Berezina, N.P., Kononenko, N.A., Shkirskaya, S.A., Falina, I.V., Filippov, A.N., and Sycheva, A.A.-R., Electrotransport properties and morphology of MF-4SK membranes after surface modification with polyaniline, Russ. J. Electrochem., 2010, vol. 46, p. 485.]
- Sata, T., Ishii, Y., Kawamura, K., and Matsusaki, K., Composite membranes prepared from cation exchange membranes and polyaniline and their transport properties in electrodialysis, J. Electrochem. Soc., 1999, vol. 146, p. 585.
- Farrokhzad, H., Darvishmanesh, S., Genduso, G., Van Gerven, T., and Van der Bruggen, B., Development of bivalent cation selective ion exchange membranes by varying molecular weight of polyaniline, Electrochim. Acta, 2015, vol. 158, p. 64.
- Kumar, M., Khan, M.A., Alothman, Z.A., and Siddiqui, M.R., Polyaniline modified organic–inorganic hybrid cation-exchange membranes for the separation of monovalent and multivalent ions, Desalination, 2013, vol. 325, p. 95.
- Nagarale, R.K., Gohil, G.S., Shahi, Vinod, K., Trivedi, G.S., and Rangarajan, R., Preparation and electrochemical characterization of cation- and anion-exchange/polyaniline composite membranes, J. Colloid Interface Sci., 2004, vol. 277, p. 162.
- Chamoulaud, G. and Belanger, D., Modification of ion-exchange membrane used for separation of protons and metallic cations and characterization of the membrane by current–voltage curves, J. Colloid Interface Sci., 2005, vol. 281, p. 179.
- Amado, F.D.R., Rodrigues, M.A.S., Morisso, F.D.P., Bernardes, A.M., Ferreira, J.Z., and Ferreira, C.A., High-impact polystyrene/polyaniline membranes for acid solution treatment by electrodialysis: Preparation, evaluation, and chemical calculation, J. Colloid Interface Sci., 2008, vol. 320, issue 1, p. 52.
- Farrokhzad, H., Moghbeli, M.R., Van Gerven, T., and Van der Bruggen, B., Surface modification of composite ion exchange membranes by polyaniline, React. Funct. Polym., 2015, vol. 86, p. 161.
- Berezina, N.P., Kononenko, N.A., Dyomina, O.A., and Gnusin, N.P., Characterization of ion-exchange membrane materials: Properties vs structure, Adv. Colloid Interface Sci., 2008, vol. 139, p. 3.
- Andreeva, M., Loza, N., Kutenko, N., and Kononenko, N., Polymerization of aniline in perfluorinated membranes under conditions of electrodiffusion of monomer and oxidizer, J. Solid State Electrochem., 2020, vol. 24, № 1, p. 101. https://doi.org/10.1007/s10008-019-04463-7
- Volfkovich, Yu.M., Bagotzky, V.S., Sosenkin, V.E., and Blinov, I.A., The standard contact porosimetry, Colloids. Surf., 2001, vol. 187 188, p. 349.
- Справочник по электрохимии, под ред. Сухотина, А.М. Л.: Химия, 1981, 488 с. [Electrochemistry Handbook (in Russian), Ed. Suhotin, A.M., Leningrad: Kchimiya, 1981, 488 p.]
- Кононенко, Н.А., Лоза, Н.В., Андреева, М.А., Шкирская, С.А., Даммак, Л. Влияние электрического поля при химическом синтезе полианилина на поверхности сульфокатионитовых мембран на их структуру и свойства. Мембраны и мембр. технологии. 2019. Т. 9. С. 266. [Kononenko, N.A., Loza, N.V., Andreeva, M.A., Shkirskaya, S.A., and Dammak, L., Influence of electric field during the chemical synthesis of polyaniline on the surface of heterogeneous sulfonated cation-exchange membranes on the their structure and properties, Membr. and Membr. Technol., 2019, vol. 1, №. 4, p. 229.] https://doi.org/10.1134/S2517751619040036
- Филиппов, А.Н., Кононенко, Н.А., Демина, О.А. Исследование диффузии электролитов различной природы через катионообменную мембрану. Коллоид. журн., 2017. Т. 79. С. 509. [Filippov, A.N., Kononenko, N.A., and Demina, O.A., Diffusion of electrolytes of different natures through the cation-exchange membrane, Colloid J., 2017, vol. 79, № 4, p. 556.] https://doi.org/10.1134/S1061933X17040044
- Zabolotsky, V.I. and Nikonenko, V.V., Effect of structural membrane inhomogeneity on transport properties, J. Membr. Sci., 1993, vol. 79, p. 181.
- Falina, I., Loza, N., Loza, S., Titskaya, E., and Romanyuk, N., Permselectivity of cation exchange membranes modified by polyaniline, Membranes, 2021, vol. 11, p. 227. https://doi.org/10.3390/membranes11030227
- Kononenko, N.A., Fomenko, M.A., and Volfko-vich, Yu.M., Structure of perfluorinated membranes investigated by method of standard contact porosimetry, Adv. Colloid Interface Sci., 2015, vol. 222, p. 425.
- Nikonenko, V.V., Mareev, S.A., Pis’menskaya, N.D., Uzdenova, A.M., Kovalenko, A.V., Urtenov, M.K., and Pourcelly, G., Effect of electroconvection and its use in intensifying the mass transfer in electrodialysis (Review), Russ. J. Electrochem., 2017, vol. 53, p. 1122. https://doi.org/10.1134/S1023193517090099
- Ibanez, R., Stamatialis, D.F., and Wessling, M., Role of membrane surface in concentration polarization at cation exchange membranes, J. Membr. Sci., 2004, vol. 239, p. 119.
- Pismenskaya, N.D., Nikonenko, V.V., Melnik, N.A., Shevtsova, K.A., Belova, E.I., Pourcelly, G., Cot, D., Dammak, L., and Larchet, C., Evolution with time of hydrophobicity and microrelief of a cation-exchange membrane surface and its impact on overlimiting mass transfer, J. Phys. Chem. B., 2012, vol. 116, issue 7, p. 2145.
- Письменская, Н.Д., Никоненко, В.В., Мельник, Н.А., Пурселли, Ж., Ларше, К. Влияние характеристик границы ионообменная мембрана/раствор на массоперенос при интенсивных токовых режимах. Электрохимия. 2012. Т. 48. С. 677. [Pis’menskaya, N.D., Nikonenko, V.V., Mel’nik, N.A., Pourcelli, G., and Larchet, C., Effect of the ion-exchange-membrane/solution interfacial characteristics on the mass transfer at severe current regimes, Russ. J. Electrochem., 2012, vol. 48, p. 610.]
- Titorova, V.D., Moroz, I.A., Mareev, S.A., Pismenskaya, N.D., Sabbatovskii, K.G., Wang,Y., Xu, T., and Nikonenko, V.V., How bulk and surface properties of sulfonated cation-exchange membranes response to their exposure to electric current during electrodialysis of a Ca2+ containing solution, J. Membr. Sci., 2022, vol. 644, p. 120149.
- Лоза, С.А., Заболоцкий, В.И., Лоза, Н.В., Фоменко, М.А. Структура, морфология и транспортные характеристики бислойных профилированных мембран. Мембраны и мембр. технологии. 2016. Т. 6. С. 374. [Loza, S.A., Zabolotsky, V.I., Loza, N.V., and Fomenko, M.A., Structure, morphology, and transport characteristics of profiled bilayer membranes, Petroleum Chem., 2016, vol. 56, issue 11, p. 1027.]
- Письменская, Н.Д., Мареев, С.А., Похидня, Е.В., Ларше, К., Даммак, Л., Никоненко, В.В. Влияние модификации поверхности гетерогенной анионообменной мембраны на интенсивность электроконвекции у ее поверхности. Электрохимия. 2019. Т. 55. С. 1471. [Pismenskaya, N.D., Mareev, S.A., Pokhidnya, E.V., Larchet, C., Dammak, L., and Nikonenko, V.V., Effect of surface modification of heterogeneous anion-exchange membranes on the intensity of electroconvection at their surfaces, Russ. J. Electrochem., 2019, vol. 55, no. 12, p. 1203.]
- Rubinstein, I., Zaltzman, B., and Pundik, T., Ion-exchange funneling in thin-film coating modification of heterogeneous electrodialysis membranes, Phys. Rev. E., 2002, vol. 65, p. 1.
- Фалина, И.В., Кононенко, Н.А., Демина, О.А., Тицкая, Е.В., Лоза, С.А. Оценка константы ионообменного равновесия по данным мембранной кондуктометрии. Коллоид. журн., 2021. Т. 83. С. 352. [Falina, I.V., Kononenko, N.A., Demina, O.A., Titskaya, E.V., and Loza, S.A., Estimation of ion-exchange equilibrium constant using membrane conductivity data, Colloid J., 2021, vol. 83, no. 3, p. 379.]https://doi.org/10.31857/S0023291221030058
- Ponomar, M., Krasnyuk, E., Butylskii, D., Nikonenko, V., Wang, Y., Jiang, C., Xu, T., and Pismenskaya, N., Sessile drop method: critical analysis and optimization for measuring the contact angle of an ion-exchange membrane surface, Membranes, 2022, vol. 12, № 8, p. 765.
- Jamadade, V.S., Dhawale, D.S., and Lokhande, C.D., Studies on electrosynthesized leucoemeraldine, emeraldine and pernigraniline forms of polyaniline films and their supercapacitive behavior, Synth. Metals, 2010, vol. 160, № 9–10, p. 955.
- Кононенко, Н.А., Долгополов, С.В., Березина, Н.П., Лоза, Н.В., Лакеев, С.Г. Асимметрия вольтамперной характеристики перфторированных мембран МФ-4СК, поверхностно модифицированных полианилином. Электрохимия. 2012. Т. 48. С. 940. [Kononenko, N.A., Dolgopolov, S.V., Berezina, N.P., Loza, N.V., and Lakeev, S.G., Asymmetry of voltammetric characteristics of perfluorinated MF-4SK membranes with polyaniline-modified surface, Russ. J. Electrochem., 2012, vol. 48, p. 857.]
Supplementary files







