Электрохимические характеристики титаната лития, допированного эрбием, в широком интервале потенциалов
- Авторы: Корнев П.В.1,2, Кулова Т.Л.1, Кузьмина А.А.1, Скундин А.М.1, Чиркова Е.В.1, Кошель Е.С.3, Климова В.М.4
-
Учреждения:
- Институт физической химии и электрохимии им. А.Н. Фрумкина РАН
- ОАО “Красноярский завод цветных металлов им. В.Н. Гулидова”
- Институт общей и неорганической химии им. Н.С. Курнакова РАН
- АО “Высокотехнологический научно-исследовательский институт неорганических материалов им. академика А.А. Бочвара”
- Выпуск: Том 59, № 11 (2023)
- Страницы: 726-734
- Раздел: Статьи
- URL: https://journal-vniispk.ru/0424-8570/article/view/232672
- DOI: https://doi.org/10.31857/S0424857023110099
- EDN: https://elibrary.ru/TKFUPQ
- ID: 232672
Цитировать
Полный текст
Аннотация
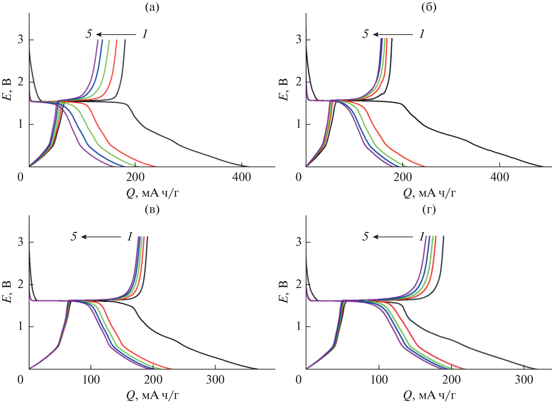
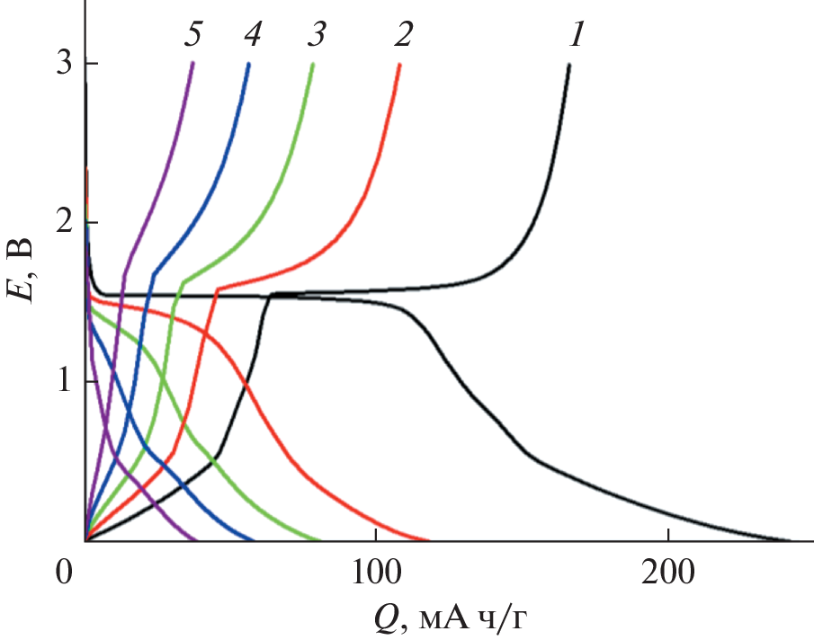
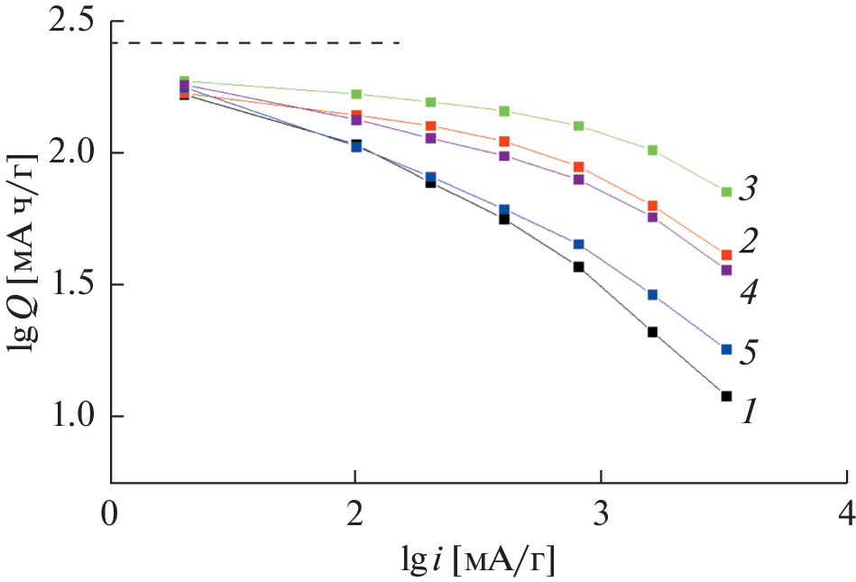
Оценено влияние допирования титаната лития эрбием на возможность обратимого внедрения лития в широком диапазоне потенциалов (от 3.00 до 0.01 В относительно литиевого электрода). Допированный титанат лития был получен высокотемпературным твердофазным синтезом. Установлено, что допирование эрбием (так же, как и некоторыми другими лантаноидами) позволяет устойчиво циклировать титанат лития в широком диапазоне потенциалов, причем достигаемая разрядная емкость зависит от содержания допанта и максимальна при содержании 2% эрбия. При разряде в режиме 12 С достигнута удельная емкость 71 мА ч/г, что больше, чем при допировании другими лантаноидами.
Ключевые слова
Об авторах
П. В. Корнев
Институт физической химии и электрохимии им. А.Н. Фрумкина РАН; ОАО “Красноярский завод цветных металлов им. В.Н. Гулидова”
Email: pas-kornev@rambler.ru
31, Leninskii Prospect, build. 4, 119071 Moscow, Russia; 1, Transportnyy proyezd, 660123 Krasnoyarsk, Russia
Россия, 119071, Москва, Ленинский просп., 31, корп. 4; Россия, 660123, Красноярск, Транспортный проезд, 1гТ. Л. Кулова
Институт физической химии и электрохимии им. А.Н. Фрумкина РАН
Email: askundin@mail.ru
Россия, 119071, Москва,
Ленинский просп., 31, корп. 4
А. А. Кузьмина
Институт физической химии и электрохимии им. А.Н. Фрумкина РАН
Email: askundin@mail.ru
Россия, 119071, Москва,
Ленинский просп., 31, корп. 4
А. М. Скундин
Институт физической химии и электрохимии им. А.Н. Фрумкина РАН
Email: askundin@mail.ru
Россия, 119071, Москва,
Ленинский просп., 31, корп. 4
Е. В. Чиркова
Институт физической химии и электрохимии им. А.Н. Фрумкина РАН
Email: askundin@mail.ru
Россия, 119071, Москва,
Ленинский просп., 31, корп. 4
Е. С. Кошель
Институт общей и неорганической химии им. Н.С. Курнакова РАН
Email: askundin@mail.ru
Россия, 119991, Москва, Ленинский просп., 31
В. М. Климова
АО “Высокотехнологический научно-исследовательский институт неорганических материаловим. академика А.А. Бочвара”
Автор, ответственный за переписку.
Email: askundin@mail.ru
Россия, 123098, Москва, ул. Рогова, 5а
Список литературы
- Zhong, Z., Ouyang, C., Shi, S., and Lei, M., Ab initio Studies on Li4 + xTi5O12 Compounds as Anode Materials for Lithium-Ion Batteries, ChemPhysChem, 2008, vol. 9, p. 2104. https://doi.org/10.1002/cphc.200800333
- Yan, H., Zhang, D., Qilu, Duo, X., and Sheng, X., A review of Spinel Lithium Titanate (Li4Ti5O12) as Electrode Material for Advanced Energy Storage Devices, Ceram. Int., 2021, vol. 47, p. 5870. https://doi.org/10.1016/j.ceramint.2020.10.241
- Mahmoud, A., Amarilla, J.M., Lasri, K., and Saadoune, I., Influence of the synthesis method on the electrochemical properties of the Li4Ti5O12 spinel in Li-half and Li-ion full-cells. A systematic comparison, Electrochim. Acta, 2013, vol. 93, p. 163. https://doi.org/10.1016/j.electacta.2013.01.083
- Kulova, T.L., Kreshchenova, Y.M., Kuz’mina, A.A., Skundin, A.M., Stenina, I.A., and Yarslavtsev, A.B., New high-capacity anode materials based on gallium-doped lithium titanate, Mend. Commun., 2016, vol. 26, p. 238. https://doi.org/10.1016/j.mencom.2016.05.005
- Kulova, T.L., Kuz’mina, A.A., Skundin, A., Stenina, I.A., and Yarslavtsev, A.B., Electrochemical Behavior of Gallium-Doped Lithium Titanate in a Wide Range of Potentials, Int. J. Electrochem. Sci., 2017, vol. 12, p. 3197. https://doi.org/10.20964/2017.04.04
- Jhan, Y.-R. and Duh, J.-G., Electrochemical performance and low discharge cut-off voltage behavior of ruthenium doped Li4Ti5O12 with improved energy density, Electrochim. Acta, 2012, vol. 63, p. 9. https://doi.org/10.1016/j.electacta.2011.12.014
- Wang, W., Wang, H., Wang, S., Hu, Y., Tian, Q., and Jiao, S., Ru-doped Li4Ti5O12 anode materials for high rate lithium-ion batteries, J. Power Sources, 2013, vol. 228, p. 244. https://doi.org/10.1016/j.jpowsour.2012.11.092
- Zhao, Z., Xu, Y., Ji, M., and Zhang, H., Synthesis and electrochemical performance of F-doped Li4Ti5O12 for lithium-ion batteries, Electrochim. Acta, 2013, vol. 109, p. 645. https://doi.org/10.1016/j.electacta.2013.07.164
- Ji, M., Xu, Y., Zhao, Z., Zhang, H., Liu, D., Zhao, C., Qian, X., and Zhao, C., Preparation and electrochemical performance of La3+ and F‒ co-doped Li4Ti5O12 anode material for lithium-ion batteries, J. Power Sources, 2014, vol. 263, p. 296. https://doi.org/10.1016/j.jpowsour.2014.04.051
- Yi, T.-F., Xie, Y., Wu, Q., Liu, H., Jiang, L., Ye, M., and Zhu, R., High rate cycling performance of lanthanum-modified Li4Ti5O12 anode materials for lithium-ion batteries, J. Power Sources, 2012, vol. 214, p. 220. https://doi.org/10.1016/j.jpowsour.2012.04.101
- Xu, G.B., Yang, L.W., Wei, X.L., Ding, J.W., Zhong, J.X., and Chu, P.K., Highly-crystalline ultrathin gadolinium doped and carbon-coated Li4Ti5O12 nanosheets for enhanced lithium storage, J. Power Sources, 2015, vol. 295, p. 305. https://doi.org/10.1016/j.jpowsour.2015.06.131
- Li, Y., Wang, Z., Zhao, D., and Zhang, L., Gd doped single-crystalline Li4Ti5O12/TiO2 nanosheets composites as superior anode material in lithium ion batteries, Electrochim. Acta, 2015, vol. 182, p. 368. https://doi.org/10.1016/j.electacta.2015.09.103
- Zhang, Q., Verde, M.G., Seo, J.K., Li, X.Y., and Meng, Y.S., Structural and electrochemical properties of Gd-doped Li4Ti5O12 as anode material with improved rate capability for lithium-ion batteries, J. Power Sources, 2015, vol. 280, p. 355. https://doi.org/10.1016/j.jpowsour.2015.01.124
- Cai, Y., Huang, Y., Jia, W., Zhang, Y., Wang, X., Guo, Y., Jia, D., Pang, W., Guo, Z., and Wang, L., Two-dimension dysprosium-modified bamboo-slip like lithium titanate with high-rate capability, long cycle life for lithium-ion batteries, J. Mater. Chem. A, 2016, vol. 4, p. 17782. https://doi.org/10.1039/C6TA06956H
- Ding, K., Zhao, J., Zhou, J., Zhao, Y., Chen, Y., Zhang, Y., Wei, B., Wang, L., and He, X., Preparation and Characterization of Dy-doped Lithium Titanate (Li4Ti5O12), Int. J. Electrochem. Sci., 2016, vol. 11, p. 446.
- Li, Z., Li, J., Zhao, Y., Yang, K., Gao, F., and Li, X., Structure and electrochemical properties of Sm-doped Li4Ti5O12 as anode materials for lithium-ion battery, RSC Adv., 2016, vol. 6, p. 15492. https://doi.org/10.1039/C5RA27142H
- Sun, L., Liu, Z., Wang, Z., Yang, W., Yang, J., Kai Sun, K., Chen, D., Liu, Y., and Liu, X., The synergic effects of Ca and Sm co-doping on the crystal structure and electrochemical performances of Li4 – xCaxTi5 – xSmxO12 anode material, Solid State Sci., 2019, vol. 87, p. 110. https://doi.org/10.1016/j.solidstatesciences.2018.11.010
- Sovizi, M.R. and Pourali, S.M., Effect of Praseodymium Doping on Structural and Electrochemical Performance of Lithium Titanate Oxide (Li4Ti5O12) as New Anode Material for Lithium-Sulfur Batteries, Electron. Mater., 2018, vol. 47, p. 6525. https://doi.org/10.1007/s11664-018-6552-7
- Zhao, Y., Li, J., Li, Z., Yang, K., and Gao, F., Pr-modified Li4Ti5O12 nanofibers as an anode material for lithium-ion batteries with outstanding cycling performance and rate performance, Ionics, 2017, vol. 23, p. 597. https://doi.org/10.1007/s11581-016-1851-6
- Li, D., Liu, Y., Zhao, W., Gao, Y., Cao, L., Liu, Y., Wang, W., Yi, L., and Qi, T., Synthesis of Ce modified Li4Ti5O12 using biomass as carbon source, J. Electroanal. Chem., 2019, vol. 851, article # 113441. https://doi.org/10.1016/j.jelechem.2019.113441
- Chen, C., Liu, X., Ai C., and Wu, Y., Enhanced lithium storage capability of Li4Ti5O12 anode material with low content Ce modification, J. Alloys Compd., 2017, vol. 714, p. 71. https://doi.org/10.1016/j.jallcom.2017.04.184
- Ji, X., Li, D., Lu, Q., Guo, E., and Yao, L., Electrospinning preparation of one-dimensional Ce3+-doped Li4Ti5O12 sub-microbelts for high-performance lithium-ion batteries, J. Nanopart. Res., 2017, vol. 19, article # 393. https://doi.org/10.1007/s11051-017-4085-2
- Feng, J. and Wang, Y., Ce-doped Li4Ti5O12/C nanoparticles embedded in multiwalled carbon nanotube network as a high-rate and long cycle-life anode for lithium-ion batteries application, Ceram. Int., 2016, vol. 42, p. 19172. https://doi.org/10.1016/j.ceramint.2016.09.080
- Zhang, Q. and Li, X., High Rate Capability of Nd-Doped Li4Ti5O12 as an Effective Anode Material for Lithium-Ion Battery, Int. J. Electrochem. Sci., 2013, vol. 8, p. 7816.
- Xia, C., Nian, C., Huang, Z., Lin, Y., Wang, D., and Zhang, C., One-step synthesis of carbon-coated Li4Ti4.95Nd0.05O12 by modified citric acid sol–gel method for lithium-ion battery, J. Sol-Gel Sci. Technol., 2015, vol. 75, p. 38. https://doi.org/10.1007/s10971-015-3672-x
- Cai, Y., Huang, Y., Jia, W., Wang, X., Guo, Y., Jia, D., Sun, Z., Pang, W., and Guo, Z., Super high-rate, long cycle life of europium modified carbon coated hierarchical mesoporous lithium titanate anode materials for lithium ion batteries, J. Mater. Chem. A, 2016, vol. 4, p. 9949. https://doi.org/10.1039/C6TA03162E
- Корнев, П.В., Кулова, Т.Л., Кузьмина, А.А., Тусеева, Е.К., Скундин, А.М., Климова, В.М., Кошель, Е.С. Титанат лития, допированный европием, как анодный материал для литий-ионных аккумуляторов. Журн. физ. химии. 2022. Т. 96. С. 1. [Kornev, P.V., Kulova, T.L., Kuzmina, A.A., Tusseeva, E.K., Skundin, A.M., Klimova, V.M., and Koshel’, E.S., Europium-Doped Lithium Titanate as a Material for the Anodes of Lithium-Ion Batteries, Russ. J. Phys. Chem. A, 2022, vol. 96, p. 435.] https://doi.org/10.1134/S003602442202014510.1134/S0036024422020145https://doi.org/10.31857/S0044453722020145
- Degen, T., Sadki, M., Bron, E., König, U., and Nénert, G., The High Score Suite, Powder Diffr., 2014, vol. 29, Suppl. S2, p. S13. https://doi.org/10.1017/S0885715614000840
Дополнительные файлы













