Composite materials based on lanthanum scandate and lanthanum cobaltite for proton-ceramic electrochemical devices
- Authors: Stroeva A.Y.1, Ichetovkin Z.N.1, Plekhanov M.S.1, Borisov V.A.2, Shlyapin D.A.2, Snytnikov P.V.3, Kuzmin A.V.1
-
Affiliations:
- Vyatka State University
- Center of New Chemical Technologies BIC
- Institute of Catalysis SB RAS
- Issue: Vol 60, No 1 (2024)
- Pages: 47-56
- Section: Articles
- URL: https://journal-vniispk.ru/0424-8570/article/view/259407
- DOI: https://doi.org/10.31857/S0424857024010063
- EDN: https://elibrary.ru/GKMTMS
- ID: 259407
Cite item
Full Text
Abstract
In the work performed citrate-nitrate synthesis of individual materials La0.9Sr0.1Sc0.9Co0.1O3 – δ and La0.9Sr0.1CoO3 – δ and composites based on these oxides. Composite materials were obtained by solid-phase mixing in different percentages of individual phases, followed by pressing and sintering. The obtained individual and composite materials were explored by X-ray phase analysis and dilatometry. The electrical conductivity of the obtained samples was studied by a four-probe direct current method depending on the temperature and composition of the gas phase. Conducted unique studies of the ability of composites to direct decomposition of ammonia directly on the electrode layer of the fuel cell.
Full Text
Композитные материалы на основе скандата лантана и кобальтита лантана для протонно-керамических электрохимических устройств[1]
ВВЕДЕНИЕ
Одним из перспективных направлений развития альтернативной энергетики является разработка электрохимических устройств на основе протонпроводящих оксидных материалов – протонно-керамических топливных элементов (ПКТЭ), электролизеров, сенсоров, мембранных реакторов и др. [1–4]. Актуальность применения протонпроводящих электролитов определяется их высокой, по сравнению с кислород-проводящими материалами, эффективностью в среднетемпературном рабочем диапазоне (500–800 оC) [5, 6]. Снижение рабочей температуры позволяет упростить конструкцию устройств и увеличить срок службы функциональных материалов вследствие снижения деградационных процессов, однако определяет повышенные требования к химическому составу и микроструктуре электродов, чтобы обеспечить их электрохимическую активность [7].
Перспектива использования протонно-керамических электрохимических устройств напрямую связана с применением в качестве энергоносителя, помимо водорода, других видов топлива с высокой плотностью энергии, например аммиака [8, 9]. При этом получение водорода возможно не только при его термическом разложении, но и при экологически более чистом и менее затратном процессе разложения в электрохимической ячейке. Прямое разложение аммиака на электродах электрохимических устройств требует использования каталитически активных материалов. Многие благородные и переходные металлы, а также их оксиды, являются катализаторами разложения аммиака [10]. Они имеют разную активность к связыванию адсорбированных атомов азота. Среди индивидуальных металлов, очевидно, наиболее активны благородные металлы, тогда как среди переходных металлов перспективу представляют комбинации с Ni и Co [11].
Наилучшие условия для переноса протонов создаются в оксидных материалах со структурой типа перовскита. Среди оксидов A2+B4+O3 наибольшей протонной проводимостью обладают церато-цирконаты бария [12, 13]. Однако присутствие в составе бария приводит к проблемам, связанным с карбонизацией при контакте материалов с увлажненными углеродсодержащими средами, поэтому долгосрочная стабильность таких электролитов в условиях воздействия промышленных газовых смесей может оказаться проблемой [14, 15]. Оксиды A3+B3+O3, содержащие в А-подрешетке редкоземельный элемент, отличаются хорошей химической стабильностью [16–19], мало уступая в протонной проводимости церато-цирконатам бария. Физико-химические свойства оксидов на основе скандата лантана позволяют рассматривать их как перспективные электролитные материалы, для эффективной работы которых необходимы и электроды, обеспечивающие быстрое протекание электрохимических реакций, наличие широкой области трехфазной границы, механическую и химическую совместимость с материалом электролита [20].
Для получения однофазных материалов со смешанной ионно-электронной проводимостью их, как правило, допируют катионами металлов переменной валентности [21, 22]. Например, введение ионов кобальта в В-подрешетку в виде La0.9Sr0.1Sc1–хСохO3 – δ приводит к смене преобладающего типа проводимости с ионного на электронный, что позволяет применять эти материалы в качестве компонентов электродов [22]. Наилучших результатов при разработке высокоэффективных электродных материалов для протонно-керамических электрохимических устройств можно достичь путем создания композитов, отличительной особенностью которых является аномально высокие подвижности носителей тока на межзеренных границах – интерфейсах [23]. В литературе встречаются единичные работы, посвященные композитным материалам, которые могут применяться в качестве электродов электрохимических устройств с электролитом на основе LaScO3 [24]. Композиты, состоящие из смеси оксидных материалов с разным типом проводимости, для применения в составе ячеек с вышеописанным электролитом в аммиаксодержащих атмосферах ранее не были изучены. Разработка фундаментальных основ и экспериментальных методов получения таких материалов является новым и перспективным направлением исследований.
Цель настоящей работы – синтез и исследование физико-химических свойств композитных материалов на основе скандата La0.9Sr0.1Sc0.9Co0.1O3 – δ(LSSC10) и кобальтита La0.9Sr0.1CoO3 – δ (LSC) лантана-стронция для протонно-керамических электрохимических устройств.
ЭКСПЕРИМЕНТАЛЬНАЯ ЧАСТЬ
Синтез
Синтез индивидуальных материалов La0.9Sr0.1 Sc0.9Co0.1O3 – δ (LSSC10) и La0.9Sr0.1CoO3 – δ(LSC) выполнен цитрат-нитратным методом. В качестве исходных реагентов использовали оксиды лантана La2O3 (ЛаО-Д), скандия Sc2O3 и кобальта Co2O3, а также карбонат стронция SrCO3 (все реактивы квалификации не ниже “х. ч.”). Рассчитанные количества прекурсоров переводили в растворенное состояние при взаимодействии с азотной кислотой (ос. ч.) и кипячении. При нагревании и упаривании раствора добавляли лимонную кислоту в соотношении 2 : 1 к количеству расчетного вещества оксида и доводили процесс до самовозгорания. С целью устранения следов органических примеcей полученные порошкообразные материалы отжигали 1 ч при температуре 800 оC. Далее порошки LSSC10 и LSC подвергали помолу в планетарной шаровой мельнице Retch100 в течение 1 ч (300 об/ мин) для усреднения как по составу, так и по микроструктуре. Затем осуществляли финишный синтез материалов сложных оксидов, температурный режим для получения однофазных порошков LSSC10–1350 оC в течение 3 ч, для LSC – 1050 оC, 2 ч выдержки. После контроля фазового состояния осуществляли изготовление композитных материалов путем совместного помола в шаровой мельнице LSSC10 и LSC в процентных соотношениях 40/60, 50/50 и 60/40 мас.%. Исследование физико-химических свойств композитов проводили на прессованных образцах, спеченных при температуре 1200 и 1300 оC, при 2-часовой выдержке.
Аттестация физико-химических свойств
Рентгенофазовый анализ (РФА) полученных порошков проводили на дифрактометре XRD-6000 (Shimadzu, Япония) в CuKα-излучении. Съемку осуществляли в интервале углов 2θ от 20о до 80о в шаговом режиме 0.02о со временем накопления 0.3 с. Фазовый состав полученных материалов соотносили с данными базы PDF. Структурные параметры были дополнительно уточнены по методу Ритвельда [25] с помощью программного обеспечения GSASII [26].
Пористость спеченных материалов определяли путем взвешивания в керосине и рассчитывали относительно теоретической плотности композитов, полученной с помощью рентгеноструктурного анализа.
Исследования микроструктуры полученных материалов осуществляли с использованием микроскопа JSM-6510 LV (JEOL, Япония), с системой энергодисперсионного рентгеновского микроанализа Oxford. Проводили исследования на поверхности свежеспеченных образцов с применением температуры отжига 1200 оC.
Дилатометрические измерения проводили на автоматической установке с использованием высокоточного программируемого терморегулятора “Термодат-16”, кварцевого дилатометра и цифрового измерителя “Tesatronic TT-80” с собственным измерительным щупом TESA GT 21HP (диапазон измерений которого ≈ 200 мкм).
Высокотемпературные оптические дилатометрические исследования проводили в режиме нагревательного микроскопа, при помощи уникальной платформы ODP 868 производства компании TA Instruments.
Электрическое сопротивление керамических образцов измеряли четырехзондовым методом на постоянном токе с использованием омметра RM3545–02 (HIOKI, Япония). Измерения проводили в диапазоне температур 400–900 оC с шагом 20 оC и изотермической выдержкой 90 мин в каждой точке.
Дилатометрические и электрохимические исследования проводили при контроле состава газовой фазы. Увлажненный воздух (рН2О = 3.2 кПа) создавали циркуляцией через барботеры с контролируемой температурой воды, осушенную атмосферу (рН2О = 0.04 кПа) – через колонки с цеолитами.
Каталитические испытания
Активность катализаторов в реакции разложения аммиака тестировали в проточном кварцевом реакторе с неподвижным слоем, при атмосферном давлении в интервале температур 500–700 оC. Масса загружаемого катализатора составляла 0.100 г. В реактор подавали чистый аммиак NH3 со скоростью 20; 60; 100 мл/мин. Расход аммиака был 12000; 36000; 60000 млNH3 г-1кат ч-1.
Анализ газовой смеси на выходе из реактора осуществляли с использованием хроматографа ЦВЕТ-500М (Россия) с детектором по теплопроводности, газ-носитель – водород. Колонку длиной 1.5 м наполняли сорбентом Haeyesep C, позволяющим разделить NH3 и N2. Условия хроматографирования были следующими: скорость газа-носителя водорода 60 мл/мин, давление 1 кгс/см2, напряжение моста 4 В, температура колонки 70 оC. Для каждой пробы проводили три параллельных измерения содержания аммиака в газовой фазе, полученные результаты усредняли. На основании хроматографических данных рассчитывали степень разложения аммиака и каталитическую активность (в ммольNH3 г-1кат мин-1).
РЕЗУЛЬТАТЫ И ОБСУЖДЕНИЕ
Синтез и аттестация
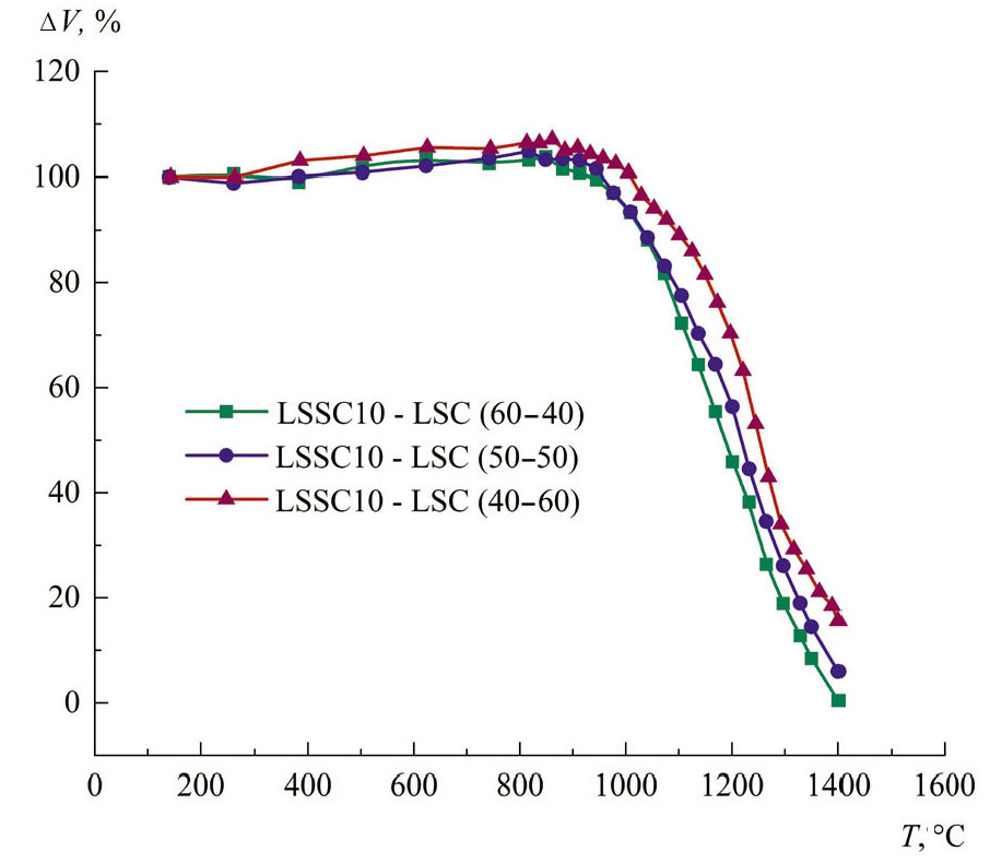
Синтез индивидуальных материалов La0.9Sr0.1 Sc0.9Co0,1O3 – δ (LSSC10) и La0.9Sr0.1CoO3 – δ(LSC) проводили цитрат-нитратным методом с последующим отжигом. Методом РФА показано, что получены однофазные материалы со структурой типа перовскита с пространственными группами Pnma и R-3c соответственно (рис. 1). Композитные материалы получали путем механического смешения однофазных порошков в планетарной мельнице с последующим прессованием и спеканием. Процессы формирования композитов LSC – LSSC10 в процессе термообработки исследованы in situ методами высокотемпературной оптической дилатометрии и приведены на рис. 2. По характеру зависимостей можно видеть, что увеличение доли LSSC10 в композите с 40% до 60% ускоряет процесс спекания, но в целом варьирование соотношения LSSC10 и LSC в пределах 20 мас.% не приводит к большим изменениям в спекаемости композита. Основные процессы спекания керамики проходят при температурах 1000–1400 оC. Для получения пористых и дисперсных электродных слоев спекание нужно проводить, учитывая эти данные.
Рис. 1. Рентгенограммы образцов LSSC10; LSС; LSSC10 – LSС (60–40); LSSC10 – LSС (50–50) и LSSC10 – LSС (40–60), а также штрихрентгенограммы LaScO3 и LaCoO3 из базы данных PDF.
Рис. 2. Кривые спекания композитных образцов LSSC10 – LSС.
Рентгенофазовый анализ композитных материалов показал отсутствие пиков дополнительных фаз (рис. 1). Для исследования процессов сосуществования фаз композита проводили синтез при двух разных температурах спекания 1200 и 1300 оC. По результатам полнопрофильного анализа параметры решетки фазы LSSC10 ниже в составе композита в сравнении с объемом решетки индивидуального материала. При увеличении температуры спекания композитов объем элементарной ячейки снижается еще больше (рис. 3). Ранее показано, что введение Co в фазу скандата лантана приводит к снижению объема элементарной ячейки [22]. Наличие аналогичных тенденций косвенно позволяет предположить диффузию кобальта в композите из фазы LSC в фазу LSSC10. При повышении температуры спекания диффузия ускоряется и параметры решетки образцов снижаются более выраженно для композитов с большим содержанием фазы LSC, т. е. при большем содержании кобальта в образце. Данное наблюдение также подтверждает предположение о диффузии кобальта из LSC в LSSC10. Все дальнейшие результаты приведены для образцов, спеченных при 1200 оC.
Рис. 3. Зависимость объема элементарной ячейки фазы LSSC10 от состава композита и температуры спекания при 1300 оC (круглые значки), 1200 оC (треугольные значки). Пунктирной линией представлен объем элементарной ячейки для исходного состава LSSC10.
Микроструктура поверхности полученных композитов представлена на рис. 4. С увеличением содержания фазы LSC в композите незначительно уменьшается средний размер зерен керамики с 0.456 мкм для 60LSSC10–40LSC, на 0.448 мкм для 50LSSC10–50LSC и 0.440 мкм для 40LSSC10–60LSC. Элементный анализ показал равномерное распределение ионов лантана и стронция по поверхности образца и закономерные изменения содержания ионов скандия и кобальта.
Рис. 4. Микрофотографии поверхности образцов LSSC10 – LSC (60–40); LSSC10 – LSC (50–50) и LSSC10 – LSC (40–60) и карты распределения элементов Sc и Co.
Исследования термического расширения и электропроводности
Температурные зависимости линейного расширения для композитных образцов измерены в режиме охлаждения 900–25 оC в осушенном и увлажненном воздухе дважды для устранения влияния процессов десорбции. На рис. 5 представлены результаты второго нагрева в атмосфере заданного состава. Для всех трех материалов получены линейные зависимости. Эффекты, связанные с фазовыми переходами первого или второго рода, не наблюдаются. Термический коэффициент линейного расширения (ТКЛР) определен на участках температурных зависимостей 100–800 оС. Так как для кобальтита лантана характерны высокие значения ТКЛР, то с увеличением его содержания в композите наблюдается тенденция к увеличению ТКЛР (табл. 1). Для электролитов на основе скандата лантана характерны значения ТКЛР 8.5 до 9.7·10–6 град-1. Разница между ТКЛР с электролитами на основе скандата лантана и исследованными композитными материалами составляет менее 30%, что является допустимым расхождением величины, тем более что электродные материалы чаще формируют в высокопористом состоянии. Для сравнения в таблице приведены значения ТКЛР компонентов исследованных композитных материалов La0.9Sr0.1CoO3 – δ и La0.9Sr0.1Sc0.9Co0.1O3 – δ.
Рис. 5. Температурные зависимости относительного линейного расширения композитных образцов в условиях: осушенного (рН2О = 0.04 кПа) – штриховая линия и увлажненного (рН2О = 3.2 кПа) воздуха – сплошная линия.
Таблица 1. Значения ТКЛР композитных оксидов 100–800 оC в сравнении с литературными данными
Состав | ТКЛР, 10–6 (K-1) | Ссылка |
40La0.9Sr0.1CoO3–60La0.9Sr0.1Sc0.9Co0.1O3 – δ | 12.69 ± 0.5 | Эта работа |
50La0.9Sr0.1CoO3–50La0.9Sr0.1Sc0.9Co0.1O3 – δ | 13.86 ± 0.5 | Эта работа |
60La0.9Sr0.1CoO3–40La0.9Sr0.1Sc0.9Co0.1O3 – δ | 14.56 ± 0.5 | Эта работа |
La0.9Sr0.1Sc0.9Co0.1O3 – δ | 10.49 ± 0.5 | Эта работа |
La0.9Sr0.1CoO3 – δ | 21.54 ± 0.5 | [27] |
La0.9Sr0.1ScO3 – δ | 9.02 ± 0.1 | [17] |
Температурные зависимости проводимости композитных материалов LSSC10-LSC при высоких температурах демонстрируют металлоподобный характер (рис. 6). При понижении температуры происходит переход к полупроводниковому типу проводимости. Переход полупроводник – металл связывают либо с существованием коллективизированных электронов из-за перекрытия двух зон связывающей и разрыхляющей связи σx2 – y2, либо со снижением концентрации дырок из-за потери межузельного кислорода [28]. Увеличение концентрации кобальтита лантана в составе композита вызывает повышение проводимости и смещает переход между металлическим и полупроводниковым температурным ходом проводимости в более низкие температурные зоны.
Рис. 6. Температурные зависимости электропроводности композитных материалов в осушенной атмосфере (pH2O = 0.04 кПа) (а) и увлажненной атмосфере (pH2O = 3.2 кПа) (б).
Влияние влажности показано в зоне низких температур – в условиях повышенной влажности ход зависимости имеет несколько больший наклон, что говорит о повышении эффективной энергии активации проводимости. В целом уровень проводимости композитов ближе по типу и уровню проводимости к кобальтитам лантана [29]. Для соединений La0.9Sr0.1Sc1 – хCoхO3 – δ характерны линейные нисходящие зависимости проводимости со значениями на три порядка ниже, чем для исследованных композитов [22].
Каталитическая активность в разложении аммиака
В настоящей работе впервые проведены исследования способности композитов LSSC10 – LSC к прямому разложению аммиака непосредственно на электродном слое топливной ячейки. В качестве меры способности новых материалов к разложению аммиака выбрано соотношение скорости разложения аммиака на изучаемых LSSC10 – LSC и традиционно используемых, отличающихся высокой активностью в этом процессе рутениевых и Ni/Co-содержащих катализаторов. Рутениевые катализаторы проявляют наибольшую активность при рабочей температуре, не превышающей 500 оC. Для твердооксидных электрохимических устройств приемлемая электрохимическая активность обычно достигается при температурах выше 600–700 оC, поэтому полученные для оксидных катализаторов данные представляют особый интерес. В табл. 2 представлены результаты исследования каталитической активности композитов LSSC10 – LSC (50–50) в сравнении с наиболее известными видами катализаторов.
Таблица 2. Сравнение активности Ru-, Ni-, Co-содержащих катализаторов с композитными материалами LSSC10 – LSC (50–50)
Состав катализатора | Удельный расход аммиака, мл/(гкат ч) | T, оC | Степень разложения NH3,% | Скорость образования H2, ммоль/ (гкат мин) | Ссылки |
5%Ru-K/углеродные нанотрубки | 150000 | 500 | 28 | 47.9 | [30] |
4%Ru-Cs/Сибунит | 34000 | 500 | 77.2 | 29.4 | [31] |
3% Ru/ВаО⋅6Al2O3 | 30000 | 500 | 99.9 | 33.4 | [32] |
3%Ru-Ba/ZrO2 | 30000 | 500 | 23.6 | 7.9 | [33] |
Ru/SiO2 | 30000 | 500 | 89.9 | 30.1 | [34] |
Наночастицы Ni | 30000 | 600 | 36.4 | 12.2 | [34] |
Ni/SiO2 | 30000 | 600 | 82.5 | 27.6 | [34] |
1%Ni-9%Co/ Ce0.6Zr0.3Y0.1O2 | 48000 | 600 | 63.7 | 34.1 | [35] |
10%Co/ Ce0.6Zr0.3Y0.1O2 | 6000 | 600 | 88 | 5.9 | [35] |
5%Co/MgO-5La2O3 | 6000 | 550 | 82.7 | 5.5 | [36] |
5%Co/MgO-2CeO2 | 6000 | 550 | 69.1 | 4.6 | [36] |
LSSC10-LSC (50–50) | 60000 | 500 | 20.0 | 13.3 | Эта работа |
LSSC10-LSC (50–50) | 12000 | 600 | 94.6 | 12.6 | Эта работа |
LSSC10-LSC (50–50) | 60000 | 600 | 47.2 | 31.4 | Эта работа |
LSSC10-LSC (50–50) | 60000 | 700 | 92.1 | 61.4 | Эта работа |
Как можно заметить, композитные материалы на основе перовскитоподобных оксидов демонстрируют активность в разложении аммиака на уровне известных рутениевых катализаторов на носителях типа Сибунит (мезопористый материал) или SiO2 при различных температурах. Таким образом, исследуемые материалы имеют хорошие перспективы для использования в электрохимических устройствах, основанных на прямом использовании аммиака в качестве топлива.
ЗАКЛЮЧЕНИЕ
В ходе выполнения исследований синтезированы образцы композитных материалов на основе скандата и кобальтита лантана-стронция, исследован фазовый состав и физико-химические свойства полученных материалов. Полученные экспериментальные данные указывают на наличие диффузионных процессов, увеличивающихся с повышением температуры спекания. Методом высокотемпературной оптической дилатометрии показано, что основные процессы спекания керамики проходят при температурах 1000–1400 оC. Дилатометрические исследования показали хорошее согласование термического расширения композитов с электролитами на основе скандата лантана. Увеличение концентрации кобальтита лантана в составе композита вызывает повышение проводимости и смещает переход между металлическим и полупроводниковым температурным ходом проводимости в область более низких температур. Впервые проведены исследования, показывающие высокую каталитическую активность композитов LSSC10 – LSC в прямом разложении аммиака непосредственно на электродном слое топливной ячейки.
БЛАГОДАРНОСТИ
Каталитические исследования выполнены при финансовой поддержке Министерства науки и высшего образования РФ в рамках государственного задания Института катализа СО РАН (проект FWUR-2024-0039). Авторы благодарят Ананченко Бориса Александровича за проведение РФА и исследования микроструктуры. При проведении исследований использовано оборудование научно-образовательного центра “Нанотехнологии” (НОЦ “Нанотехнологии”), ВятГУ.
КОНФЛИКТ ИНТЕРЕСОВ
Авторы заявляют, что у них нет конфликта интересов.
1 Статья подготовлена по материалам доклада, представленного на Второй школе молодых ученых “Электрохимические устройства: процессы, материалы, технологии” (Новосибирск, 28–30 октября 2022 г.)
About the authors
A. Y. Stroeva
Vyatka State University
Author for correspondence.
Email: stroevaanna@yandex.ru
Russian Federation, Kirov
Z. N. Ichetovkin
Vyatka State University
Email: stroevaanna@yandex.ru
Russian Federation, Kirov
M. S. Plekhanov
Vyatka State University
Email: stroevaanna@yandex.ru
Russian Federation, Kirov
V. A. Borisov
Center of New Chemical Technologies BIC
Email: stroevaanna@yandex.ru
Institute of Catalysis
Russian Federation, OmskD. A. Shlyapin
Center of New Chemical Technologies BIC
Email: stroevaanna@yandex.ru
Institute of Catalysis
Russian Federation, OmskP. V. Snytnikov
Institute of Catalysis SB RAS
Email: stroevaanna@yandex.ru
Russian Federation, Novosibirsk
A. V. Kuzmin
Vyatka State University
Email: a.v.kuzmin@yandex.ru
Russian Federation, Kirov
References
- Fabbri, E., Pergolesi, D., and Traversa, E., Materials challenges toward proton-conducting oxide fuel cells: a critical review, Chem. Soc. Rev., 2010, vol. 39, p. 4356.
- Kreuer, K.-D., On the development of proton conducting materials for technological applications, Solid State Ion., 1997, vol. 97, p. 4.
- Ockwig, N. and Nenoff, T.M., Membranes for Hydrogen Separation, Chem. Rev., 2007, vol. 107, p. 4079.
- Lu, G.Q., Diniz da Costa, J., Duke, M., Giessler, S., Socolow, R., Williams, R.H., and Kreutz, T., Inorganic membranes for hydrogen production and purification: A critical review and perspective, J. Colloid Interface Sci., 2007, vol. 314, p. 593.
- Malavasi, L., Fisher, С.А., and Islam, M.S., Oxide-ion and proton conducting electrolyte materials for clean energy applications: structural and mechanistic features, Chem. Soc. Rev., 2010, vol. 39, p. 74.
- Norby, T., Solid-state protonic conductors: principles, properties, progress and prospects, Solid State Ion., 1999, vol. 125, p. 3.
- Song, J.-H., Park, S.-I., Lee, J.-H., and Kim, H.-S., Fabrication characteristics of an anode-supported thin-film electrolyte fabricated by the tape casting method for IT-SOFC, J. Mater. Process. Technol., 2008, vol. 198, p. 416.
- Davis, B., Armstrong, F., Bowen, P., Fowler, D., Irvine, J., and Murciano, L.-T., Ammonia: zerocarbon fertiliser, fuel and energy store, London: The Royal Society, 2020, p. 12–34.
- Grinberg, D.A., Elishav, O., Bardow, A., Shter, G.E., and Grader, G.S., Nitrogen-based fuels: a power-to-fuel-to-power analysis, Chem. Int. Ed. Engl., 2016, vol. 55, p. 8798.
- Lucentini, I., Garcia, X., Vendrell, X., and Llorca, J., Review of the decomposition of ammonia to generate hydrogen, Ind. Eng. Chem. Res., 2021, vol. 60, p.18561.
- Herron, J.A., Ferrin, P., and Mavrikakis, M., Electrocatalytic oxidation of ammonia on Transition-metal surfaces: A first-principles study, J. Phys. Chem. C, 2015, vol. 119, p. 14692.
- Medvedev, D., Murashkina, A., Pikalova, E., Demin, A., Podias, A., and Tsiakaras, P., BaCeO3: Materials development, properties and application, Prog. Mater. Sci., 2014, vol. 60, p. 76.
- Medvedev, D., Lyagaeva, J., Gorbova, E., Demin, A., and Tsiakaras, P., Advanced materials for SOFC application: Strategies for the development of highly conductive and stable solid oxide proton electrolytes, Prog. Mater. Sci., 2016, vol. 75, p. 44.
- Somekawa, T., Matsuzaki, Y., Sugahara, M., Tachikawa, Y., Matsumoto, H., Taniguchu, S., and Sasaki, K., Physicochemical properties of Ba(Zr, Ce)O3 – δ – based proton-conducting electrolytes for solid oxide fuel cells in terms of chemical stability and electrochemical performance, Intern. J. Hydrogen Energy, 2017, vol. 42, p. 16725.
- Song, J., Meng, B., and Tan, X., Stability and electrical conductivity of BaCe0.85 Tb0.05M0.1 O3 – δ (M = Co, Fe, Zr, Mn) high temperature proton conductors, Ceram. Intern., 2016, vol. 42, p.13282.
- Okuyama, Y., Kozai, T., Ikeda, S., Matsuka, M., Sakaid, T., and Matsumoto, H., Incorporation and conduction of proton in Sr-doped LaMO3 (M = Al, Sc, In, Yb, Y), Electrochim. Acta, 2014, vol. 125, p. 444.
- Kuzmin, A.V., Stroeva, A.Y., Gorelov, V.P., Novikova, Y.V., Lesnichyova, A.S., Farlenkov, A.S., and Khodimchuk, A.V., Synthesis and characterization of dense proton-conducting La1 – xSrxScO3 – δ ceramics, Intern. J. Hydrogen Energy, 2019, vol. 44, p.1134.
- Lesnichyova, A.S., Belyakov, S.A., Stroeva, А. Yu., and Kuzmin, A.V., Proton conductivity and mobility in Sr-doped LaScO3 perovskites, Ceram. Intern., 2021, vol. 47, p. 6108.
- Kuzmin, A.V., Lesnichyova, A.S., Tropin, E.S., Stroeva., А. Yu, Vorotnikov, V.A., Solodyankina, D.M., Belyakov, S.A., Plekhanov, M.S., Farlenkov, A.S., Osinkin, D.A., Beresnev, S.M., and Ananyev, M.V., LaScO3-based electrolyte for protonic ceramic fuel cells: Influence of sintering additives on the transport properties and electrochemical performance, J. Power Sources, 2020, vol. 466, p. 228255.
- Кузьмин, А.В., Плеханов, М.С., Строева, А.Ю. Композитные электродные материалы для твердооксидных топливных элементов с протонным электролитом La1 – x SrxScO3 – δ. Электрохимия. 2017. T.53. С. 883. [Kuzmin, A.V., Plekhanov, M.S., and Stroeva, A. Yu., Composite Electrode Materials for Solid–Oxide Fuel Cells with the Protonic Electrolyte of La1 – xSrxScO3 – δ, Russ. J. Eleсtrochem., 2017, vol. 53, p. 785.]
- Zhu, L., Hong, T., Xu, C., and Cheng, J., A novel dual phase BaCe0.5Fe 0.5O3-δ cathode with high oxygen electrocatalysis activity for intermediate temperature solid oxide fuel cells, Intern. J. Hydrogen Energy, 2019, vol. 44, p. 15406.
- Plekhanov, М., Kuzmin, A., Tropin, E., Korolev, D., and Ananyev, M., New mixed ionic and electronic conductors based on LaScO3: Protonic ceramic fuel cells electrodes, J. Power Sources, 2020, vol. 44, p. 227476.
- Fabbri, E., Pergolesi, D., and Traversa, E., Ionic conductivity in oxide heterostructures: the role of interfaces, Sci. Technol. Adv. Mater., 2010, vol. 11, p. 6.
- Plekhanov, М.S., Lesnichyova, А.S., Stroeva, А. Yu., Ananyev, М.V., Farlenkov, А.S., Bogdanovich, N.М., Belyakov, S.A., and Kuzmin, А.V., Novel Ni cermets for anode-supported proton ceramic fuel cells, J. Solid. State Electrochem., 2019, vol.23, p. 1394.
- Rietveld, H.M., The Rietveld Method: A retrospection, Z. Krist., 2010, vol. 225, р. 545.
- Toby, B.H. and Von Dreele, R.D., GSAS-II: the genesis of a modern open-source all purpose crystallography software package, J. Appl. Crystallogr., 2013, vol. 46, р. 547.
- Wandekar, R.V., Wani, B.N., and Bharadwaj, S.R., Crystal structure, electrical conductivity, thermal expansion and compatibility studies of Co-substituted lanthanum strontium manganite system, Solid State Sci., 2009, vol. 11, p. 248.
- Dragan, M., Enache, S., Varlam, M., and Petrov, K., Perovskite-type lanthanum Cobaltite LaCoO3: aspects of processing route toward practical applications, Yildiz, Y. and Manzak, A., Eds, United Kingdom: IntechOpen Ltd., 2019, p. 11.
- Petrov, A.N., Kononchuk, O.F., Andreev, A.V., Cherepanov, V.A., and Kofstad, P., Crystal structure, electrical and magnetic properties of La1 – xSrxCoO3 – y, Solid State Ion., 1995, vol. 80, p. 195.
- Yin, S., Zhang, Q., Xu, B., Zhu, W., Ng, C.F., and Au, C., Investigation on the catalysis of COx-free hydrogen generation from ammonia, J. Catal., 2004, vol. 224, p. 387.
- Borisov, V.A., Iost, K.N., Petrunin, D.A., Temerev, V.L., Muromtsev, I.V., Arbuzov, A.B., Trenikhin, M.V., Gulyaeva, T.I., Smirnova, N.S., Shlyapin, D.A., and Tsyrul’nikov, P.G., Effect of the modifier on the catalytic properties and thermal stability of Ru–Cs(Ba)/Sibunit catalyst for ammonia decomposition, Kinet. Catal., 2019, vol. 60, p.374.
- Wang, Z., Cai, Z., and Wei, Z., Highly active ruthenium catalyst supported on barium hexaaluminate for ammonia decomposition to COx-free hydrogen, ACS Sustain. Chem. Eng., 2019, vol. 7, p. 8228.
- Wang, Z., Qu, Y., Shen, X., and Cai, Z., Ruthenium catalyst supported on Ba modified ZrO2 for ammonia decomposition to COx-free hydrogen, Intern. J. Hydrogen Energy, 2019, vol. 44, p. 7305.
- Yao, L., Shi, T., Li, Y, Zhao, J., Ji, W., and Au, C., Core–shell structured nickel and ruthenium nanoparticles: very active and stable catalysts for the generation of COx-free hydrogen via ammonia decomposition, Catal. Today, 2011, vol. 164, p. 114.
- Huang, C., Li, H., Yang, J., Wang, C., Hu, F., Wang, X., Lu, Z.-H., Feng, G., and Zhang, R., Ce0.6Zr0.3Y0.1O2 solid solutions-supported NiCo bimetal nanocatalysts for NH3 decomposition, Appl. Surf. Sci., 2019, vol. 478, p. 711.
- Podila, S., Alhamed, Y.A., Al Zahrani, A.A., and Petrov, L.A., Hydrogen production by ammonia decomposition using Co catalyst supported on Mg mixed oxide systems, Intern. J. Hydrogen Energy, 2015, vol. 40, p. 15412.
Supplementary files








