Optimization of the BSCFM5 cathode layer in the composition of microtube sofc and the study of the power characteristics
- Authors: Lapushkina E.Y.1, Sivtsev V.P.1, Kovalev I.V.1, Popov M.P.1, Nemudry A.P.1
-
Affiliations:
- Institute of Solid State Chemistry and Mechanochemistry, Siberian Branch of Russian Academy of Sciences
- Issue: Vol 60, No 1 (2024)
- Pages: 64-72
- Section: Articles
- URL: https://journal-vniispk.ru/0424-8570/article/view/259410
- DOI: https://doi.org/10.31857/S0424857024010089
- EDN: https://elibrary.ru/GHBPCF
- ID: 259410
Cite item
Full Text
Abstract
The design of microtubular (MT) solid oxide fuel cells (SOFCs) shows increased resistance to thermal cycling and high power density (from 300 to 1000 W/kg and higher) among other SOFC types. Currently one of the main problems is the choice of material to be used as the cathode. As well as the problems associated with its microstructure in the cathode layer of the MT SOFC itself. This work is aimed at studying the power characteristics of MT SOFC using BSCFM5 as a cathode material. A cathode layer with a thickness of 65 µm, including 4 CFS layers and 4 CTS, is optimal and allows reaching the power of a single MT SOFC of 750 – 850 mW/cm2.
Full Text
Оптимизация катодного слоя на основе BSCFM5 и изучение его влияния на мощностные характеристики микротрубчатых ТОТЭ[1]
ВВЕДЕНИЕ
Материал катода для ТОТЭ должен обладать высокой кислородной проницаемостью. Наиболее распространенными являются перовскитные оксиды на основе стронция, кобальта и железа [1, 2]. При этом перовскиты состава (Ba, Sr)(CoFe)O3 – δ (BSCF) привлекают большое внимание при выборе материала катода для ТОТЭ [3–6].
Высокие значения кислородной проницаемости состава Ba0.5 Sr0.5Co0.8Fe0.2O3 – δ были отмечены в ряде исследований [3, 4, 7–9]. Авторы в работе [4] объяснили повышение валентных состояний кобальта и железа при введении бария в систему SrCo0.8Fe0.2O3 – δ (SCFO). Полученный перовскит BSCF имеет более устойчивую перовскитную структуру при низких парциальных давлениях кислорода. Этот состав обладает высокой электронной проводимостью за счет смешанных валентных состояний переходных металлов. В то же время высокая концентрация кислородных вакансий обеспечивает высокую кислород-ионную проводимость материала [4, 10]. Свойства состава BSCF зависят от соотношения Ba: Sr и Co: Fe, которые можно варьировать. Значительное (максимальное) нестехиометрическое кислородное отклонение представлено формулой BaxSr1–xCoyFe1–yO3 – δ при 0.3 < δ < 0.8 и 600 оС < T < 900 оС. Эти изменения так же, как и структурные, зависят от температуры и кислородного парциального давления и ведут к изменениям электрохимической активности электродов [3].
Состав Ba0.5Sr0.5Co0.8Fe0.2O3 – δ обладает низкими неомическими потерями при использовании в качестве катодного материала в ТОТЭ [10–13]. Тем не менее было зафиксировано формирование менее симметричных некубических фаз при температурах 700–900 оС, что ведет к снижению проницаемости и кислород-ионной проводимости даже для оптимизированного состава [4, 14–16]. Большинство четырехкомпонентных составов серии BSCF имеют кубическую симметрию при 1000 оС на воздухе. Однако при температурах, близких к 900 оС, некоторые составы BSCF претерпевают структурное превращение из кубической в гексагональную симметрию, что ведет к снижению кислородных потоков [3, 17, 18]. С другой стороны, составы BSCF деградируют в атмосфере диоксида углерода [1, 4]. Исследования показывают, что введение высоко заряженных катионов Nb/Ta (V), Mo/W (VI) в систему перовскита повышают толерантность к CO2 [1, 18–20].
Для оптимизации функциональных свойств BSCF широко используется в литературе метод изоморфного замещения катиона А и/или B [1–3]. В предыдущих работах [1, 21, 22] было продемонстрировано достижение повышения химической стабильности материала с сохранением высокой кислородной проницаемости при изоморфном замещении Co в системе SrCo0.8Fe0.2O3 – δ катионами с постоянной степенью окисления M(V) = Nb. Допирование катионами M (VI) = Mo, W в системе SrFeO3 – δ позволяет увеличить как кислородную, так и электронную проводимость [1, 23–26]. Ранее, в работе [1], было продемонстрированно подавление фазового перехода из кубического в гексагональный при частичном замещении ионов кобальта вольфрамом (x = 0–0.1), что приводит к увеличению стабильность в атмосфере CO2 с сохранением кислородных потоков.
В работе [27] было проведено изоморфное частичное замещение кобальта катионом Mo в системе Ba0.5Sr0.5Co0.8Fe0.2O3 – δ (BSCF). Полученные образцы Ba0.5Sr0.5Co0.75Fe0.2Mo0.05O3 – δ (BSCFM5) демонстрировали определенную микроструктуру, состоящую из двойных перовскитных доменов, распределенных в кубической перовскитной матрице, что подавляет фазовый переход “кубическая-гексагональная” при x ≥ 0.02. Введение 5% молибдена в систему повысило химическую стабильность и привело к подавлению перехода решетки из кубической в гексагональную. При подаче смеси He/CO2 в соотношении 80/20 в течение 50 ч кислородная проводимость трубчатой мембраны снизилась в два раза, но при этом вышла на плато. В тех же условиях кислородная проводимость мембраны BSCF постепенно снижалась. В работе были получены высокие кислородные потоки Jo = 3.5 мкмоль/(с см2) в атмосфере гелия в трубчатых мембранах BSCFM5. Значения электронной проводимости на воздухе достигали σ = 35 С/см.
Учитывая вышеперечисленные свойства BSCFM5, можно сделать вывод о перспективе применения данного материала в качестве катодного материала для микротрубчатых твердооксидных топливных элементов (МТ ТОТЭ). Целью данной работы является оптимизация катодного слоя из BSCFM5 для ТОТЭ, изучение влияние состава и толщины функциональных слоев на получаемые вольтамперные характеристики.
ЭКСПЕРИМЕНТАЛЬНАЯ ЧАСТЬ
Методика изготовления МТ ТОТЭ
Микротрубчатые ТОТЭ были изготовлены на несущем композитном аноде. Для удовлетворения требуемых электрохимических характеристик в качестве анодного материала был выбран композит NiO/YSZ10 (Zr0.90Y0.20O2.10) в соотношении 60/40 соответственно. Гомогенизация композита проводилась с использованием вакуумного диссольвера DISPERMAT LC-55, оснащенного бисерной мельницей (размер мелющих тел 1,5 мм).
Анодные заготовки были получены методом фазовой инверсии пасты на установке, разработанной в ИХТТМ СО РАН. Паста, состоящая из композита NiO/YSZ10, полисульфона, N-метилпирролидона в соотношении компонентов 7 : 3: 1, перемешивалась с использованием вакуумного диссольвера DISPERMATLC-55 со скоростью вращения 3000 об/мин в течение 2 ч. Далее полученную пасту выдавливали через фильеру диаметром 4 мм с воздушным зазором 1 см в емкость с дистиллированной водой. Полученные микротрубки выдерживали в дистиллированной воде в течение 12 ч для завершения фазовой инверсии, с последующей сушкой при T = 50 оC в течение 5 ч, после чего спекали в воздушной атмосфере. Режим термообработки анодных МТ-подложек включал в себя выдержку в течение 1 ч на температуре 600 оС для выгорания полисульфона, и далее микротрубки нагревались и выдерживались 1 ч при температуре 1200 оC для достижения определенной прочности анодных заготовок.
Для нанесения последующих слоев ТОТЭ были подготовлены пасты, содержащие компонент керамического порошка и органическую связку. Все пасты были подготовлены по одной технологии с использованием бисерной мельницы с размером мелющих тел 1,5 мм. Компоненты органической связки включают дисперсант (BYK-111), пластификатор DBF, бутилгликоль, полимерное связующее (PVB). Для нанесения слоев на поверхность анодной подложки использовали метод dip-coating (или метод погружения) с комплексом по нанесению тонких слоев ИЭДК-2У, оснащенным компьютерным ПО “Mach3”. Предварительно МТ анодные подложки фиксировали на металлическом стержне, далее их окунали в соответствующую пасту и вытягивали со скоростью 150 мм/мин, сушили полученный слой в течение 20 мин при вращении трубки в горизонтальной плоскости (скорость вращения 10 об/мин). После этого данный этап повторялся с перевернутой МТ-подложкой на стержне для выравнивания толщины слоя по длине образца. Для выравнивания ТКЛР при спекании был введен анодный функциональный слой (АФС) NiO/Zr0.89Sc0.2Ce0.01O2.10 в пропорции 40/60 соответственно. Для нанесения электролитного слоя (ЭС) была использована паста состава Zr0.889Sc0.2Y0.02O2.108 с органической составляющей. Для сокращения количества этапов термической обработки был разработан метод совместного спекания (co-firing) АФС и ЭС. На спеченную при 1200 оС МТ анодную подложку последовательно наносятся по 2 слоя АФС и ЭС с промежуточной сушкой на воздухе в течение 20 мин после каждого нанесения.
Полученные полуэлементы с электролитом спекаются вертикально на подвесе из платиновой проволоки. Для выгорания органических веществ и газовыделения была проведена выдержка при температуре 400 °C в течение 1 ч. Спекание полуэлемента производилось при температуре 1300 оС в течение 1 ч. Буферный слой наносили методом dip-coating из пасты состава Ce0.8Sm0.2O1.95 (SDC) с органической связкой. Спекание полуэлемента с БС производилось при температуре 1400 оС с выдержкой в течение 1 ч.
В качестве катодного материала для ТОТЭ был использован перовскит BSCFM5. Также для выравнивания ТКЛР между катодным и электролитным слоями и повышения электрохимической активности катода за счет расширения трехфазной границы [28–30] наносился катодный функциональный слой (КФС), содержащий 30% по массе порошка композита BSCFM5/SDC (60/40). После этого микротрубки отжигались и выдерживались при 1100 оС в течение 1 ч. Далее поверх КФС наносился катодный токосъемный слой (КТС), состоящий из перовскита BSCFM5 и органической связки. Термообработка производилась по той же программе, что и в случае с КФС. При варьировании катодного слоя все образцы были подготовлены по одной технологии при длине катодного слоя 2 см.
Измерения ВАХ и подготовка образцов МТ ТОТЭ
Для электрохимического тестирования микротрубчатых ТОТЭ на первом этапе работы осуществляли коммутацию анода и катода топливной ячейки с токоподводами в виде проволоки. Для токосъема со стороны анода (внутренняя часть микротрубки) была использована никелевая проволока диаметром 0.2 мм, скрученная в спираль. Также для обеспечения хорошего контакта керметной основы с проволокой использовалась никелевая вата. Для осуществления токосъема с катода топливной ячейки на всю внешнюю активную сторону трубки наматывали платиновую проволоку в виде спирали. Для улучшения контакта между намотанной Pt-проволокой и катодом места контакта также точечно промазывали платиновой пастой (Heraeus). После чего топливную ячейку сушили при температуре 130 оC в течение 30 мин.
На следующем этапе подготовки образца к электрохимическим исследованиям осуществляли процедуру его вклейки в керамический реактор. Для этого помещали исследуемый образец между соосно направленными корундовыми трубками таким образом, что концы трубчатой топливной ячейки погружались внутрь поддерживающих корундовых трубок на 10–20 мм. При этом токосъемные контакты с анодной и катодной сторон выводили на внешнюю сторону корундовых трубок. Для герметизации мест соединения между топливной ячейкой и несущими корундовыми трубками использовали композитный керамический высокотемпературный клей Aron Ceramic (Япония). Для схватывания клея выдерживали собранную ячейку в сушильном шкафу при 90 оС в течение 2 ч, далее при 150 оС в течение 1 ч, после чего выключали шкаф, и ячейка остывала до комнатной температуры естественным путем. Далее продували внутри ячейки газ Ar и с помощью масс-спектрометра проверяли герметичность системы.
Для исследования электрохимических характеристик образца поместили собранную ранее ячейку в лабораторную трубчатую печь раскладной конструкции. Также осуществили коммутацию токосъемов ячейки с прибором потенциостат/гальваностат Bio-Logic SP-240 (Франция). Регулировку скорости потоков газов осуществляли с помощью регуляторов расхода газа УФПГС-4 (СоЛО, Россия). Для вывода на рабочий режим образца продували внутри трубки при 600 оС смесь газов H2/Ar с потоками 25 и 25 мл/мин соответственно. Данный этап проводили в течение 1 ч, что позволило полностью восстановить NiO в керметной основе. Испытания проводили при температурах 750, 800 и 850 оС при общем потоке смеси газов H2/ Ar 100 мл/мин. Содержание водорода в подаваемой смеси варьировали для каждой температуры, и оно составляло 25, 50 и 75%.
РЕЗУЛЬТАТЫ И ОБСУЖДЕНИЕ
При нанесении плотного слоя электролита, буферного слоя и при дополнительных циклах термообработки важно сохранить специальную пористую микроструктуру анодной подложки, которая облегчает подвод газов и, следовательно, обеспечивает эффективность работы МТ ТОТЭ. Для этого были подобраны следующие параметры: состав паст с органической связкой, варьирования толщин слоя и температурная обработка всех слоев. При этом для получения слоя газоплотного электролита необходимо коаксиальное сжатие трубки не менее чем на 15%. Значение усадки МТ составило ~25%, что позволило получить газоплотный электролит, сохранив пористым АФС. Нанесение буферного слоя (БС) необходимо для предотвращения процессов взаимной катионной диффузии электролитного и катодного материала.
На рис. 1 представлены микрофотографии полученного полуэлемента ТОТЭ вплоть до БС. Анодная заготовка после спекания с АФС, электролитным и буферным слоями сохранила свою специфическую микроструктуру со сквозной пористостью и крупными продолговатыми порами, расположенными радиально по всей толщине микротрубки. Длина крупных продолговатых пор доходит до 150 мкм (рис. 1).
Рис. 1. СЭМ полуэлемента, состоящего из микротрубчатой анодной подложки с АФС, ЭС и БС.
Толщина электролитного слоя составила 13 мкм. Микроструктура анодного функционального слоя показывает высокую открытую пористость, равномерный слой толщиной ~8 мкм. Слой электролита газоплотный, имеет толщину ~10 мкм и изолированные поры 2.7% от общей площади. Буферный слой толщиной ~ 7–9 мкм также имеет процент пористости 15% от общей площади.
В качестве катода был использован модифицированный сегнетоактивными катионами нестехиометрический оксид со структурой перовскита Ba0.5Sr0.5Co0.75Fe0.2Mo0.05O3 – δ (BSCFM5). Введение катодного функционального слоя (КФС) с содержанием SDC, обладающего высокой кислород-ионной проводимостью, способствовало не только выравниванию ТКЛР между катодным и электролитным слоями, но и повышению электрохимической активности катода за счет расширения трехфазной границы (ионный проводник-электронный/дырочный проводник-газовая фаза). Соответственно, КФС имеет композитный состав BSCFM5/SDC с массовым соотношением компонентов 6 : 4.
На рис. 2 представлены микрофотографии сломов МТ ТОТЭ. Визуально сложно отличить границу между КФС и КТС, поэтому ее обозначение условно. Далее говоря о “катодном слое”, будем иметь в виду толщину КФС и КТС. Тем не менее при измерении ВАХ можно увидеть зависимость получаемой мощности от толщин КФС и КТС.
Рис. 2. Микроструктура МТ ТОТЭ и ВАХ с катодным слоем BSCFM5, 2 нанесения КТС, толщина катода 21 мкм (а), 6 нанесений КТС – 56 мкм (б).
На образец из рис. 2а были нанесены 2 слоя КФС и 2 слоя КТС, при этом из полученной ВАХ видно, что максимальная мощность элемента составляла около 70 мВт/см2. При наращивании слоя КТС до 6 слоев общая толщина катодного слоя составила 56 мкм, что практически в два раза больше от предыдущего образца. Но при этом максимальные показатели мощности увеличиваются более чем в три раза.
Авторы патента [31] в своих исследованиях указывают на то, что нанесение между пористым катодным и буферным слоями промежуточного тонкого плотного слоя катодного материала приводит к увеличению мощностных характеристик элемента. Более того, изменения архитектуры данного плотного слоя катода путем добавления отдельных блоков материалов буферного слоя также положительно влияют на рост мощности элемента. Связан данный эффект с увеличением трехфазных границ между катодным и буферными слоями, поэтому было решено в нашем случае увеличить толщину КФС. Были проведены исследования варьирования толщины КТС состава BSCFM5 нанесением 4–8 слоев, при 4 слоях КФС для всех образцов. При этом толщина слоев КТС и КФС влияет на показатели проводимости при отводе получаемого тока и электрохимическую активность катода за счет расширения трехфазных границ.
Микрофотографии поперечного сечения МТ ТОТЭ показали возрастание толщины катодного слоя с 65 мкм до 120 мкм (рис. 3).
Рис. 3. Микроструктура МТ ТОТЭ с катодным слоем BSCFM5, 4 нанесения КФС: 4 нанесения КТС (а), 6 нанесений КТС (б), 8 нанесений КТС (в).
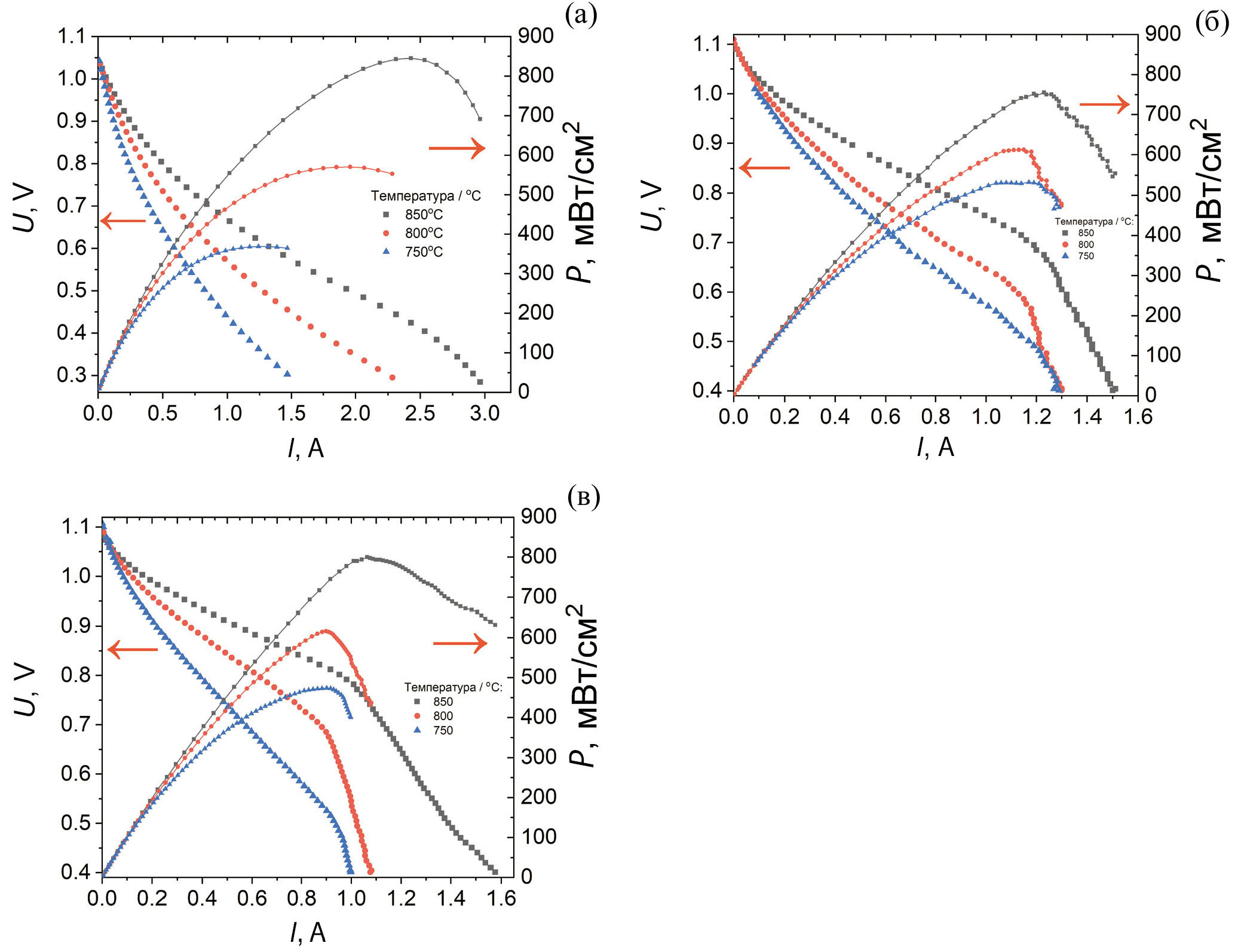
Мощность МТ ТОТЭ составила 750–850 мВ/ см2 при температуре 850 оC и толщине катодов 65–120 мкм (рис. 4).
Рис. 4. Графики ВАХ МТ ТОТЭ с катодом BSCFM: толщина катодного слоя 65 мкм при 4 слоях КТС (а), толщина катодного слоя 70 мкм при 6 слоях КТС (б), толщина катодного слоя 120 мкм при 8 слоях КТС (в).
Таким образом, можно сделать вывод о достижении максимальной толщины катодного слоя 65 мкм, значительно влияющей на показатели получаемой мощности. Далее показатели мощности снижаются за счет возрастающего сопротивления.
Открытая пористость катодного слоя и анодной подложки важна для увеличения площади контакта с подводимыми и отводимыми газами. В данной работе пористость измерялась по площади поперечного сечения образцов с помощью программы Image J.
Результаты значений пористости всех слоев представлены в табл. 1.
Таблица 1. Оптимизированные характеристики функциональных слоев ТОТЭ, пористость
№ | Название | Состав | Пористость, % площ. | Оптимальная толщина слоя, мкм | ВАХи, мВт/см2 при 850 оС |
1 | Катод | BSCFM5 | 36.6 | 65 | 850 |
2 | БС | SDC | 14,7 | 7–10 | – |
3 | ЭС | YSSZ | 2.7 | 7–10 | – |
4 | АФС | NiO/YSZ /(40/60) | 25.5 | 7–10 | – |
5 | Анод | NiO/YSZ /(60/40) | 42.6 | 250–300 | – |
Исследования показали, что пористость анода и катода близка и составляет приблизительно 42%. Для АФС этот показатель 26%, что обеспечивает хорошую адгезию и выравнивание ТКЛР. Электролит имеет закрытую пористость, не более 3% изолированных пор. Значения пористости буферного слоя 15%, поры имеют сложную структуру, об открытости которой сложно сказать однозначно.
ЗАКЛЮЧЕНИЕ
Таким образом, отработана и подобрана методика спекания слоев в МТ ТОТЭ, обеспечивающая газоплотность, механическую прочность и хорошую адгезию слоев без их смешения. Были измерены ВАХ единичных МТ ТОТЭ с катодом: Ba0.5Sr0.5Co0.75Fe0.2Mo0.05O3-δ (BSCFM5). Наибольшая мощность была достигнута на образце с катодным слоем толщиной 65 мкм. При этом было показано, что увеличение трехфазных границ за счет увеличения толщины КФС приводит к значительному возрастанию мощностных характеристик МТ ТОТЭ.
КОНФЛИКТ ИНТЕРЕСОВ
Авторы заявляют, что у них нет конфликта интересов.
ФИНАНСИРОВАНИЕ РАБОТЫ
Работа выполнена при финансовой поддержке гранта Российского научного фонда (проект № 21–79–30051).
1 Статья подготовлена по материалам доклада, представленного на Второй школе молодых ученых “Электрохимические устройства: процессы, материалы, технологии” (Новосибирск, 28–30 октября 2022 г.)
About the authors
E. Y. Lapushkina
Institute of Solid State Chemistry and Mechanochemistry, Siberian Branch of Russian Academy of Sciences
Author for correspondence.
Email: elapushkina@solid.nsc.ru
Russian Federation, 630128, Novosibirsk
V. P. Sivtsev
Institute of Solid State Chemistry and Mechanochemistry, Siberian Branch of Russian Academy of Sciences
Email: sivcev0811@gmail.com
Russian Federation, 630128, Novosibirsk
I. V. Kovalev
Institute of Solid State Chemistry and Mechanochemistry, Siberian Branch of Russian Academy of Sciences
Email: sivcev0811@gmail.com
Russian Federation, 630128, Novosibirsk
M. P. Popov
Institute of Solid State Chemistry and Mechanochemistry, Siberian Branch of Russian Academy of Sciences
Email: sivcev0811@gmail.com
Russian Federation, 630128, Novosibirsk
A. P. Nemudry
Institute of Solid State Chemistry and Mechanochemistry, Siberian Branch of Russian Academy of Sciences
Email: sivcev0811@gmail.com
Russian Federation, 630128, Novosibirsk
References
- Popov, M.P., Starkov, I.A., Bychkov, S.F., and Nemudry, A.P., Improvement of Ba0.5Sr0.5Co0.8 Fe0.2O3 – δ functional properties by partial substitution of cobalt with tungsten, J. Membr. Sci., 2014, vol. 469, p. 88.
- Teraoka, Y., Zhang, H.-M., and Yamazo, N., Oxygen – sorptive properties of defect perovskite-type La1 – x SrxCo1 – y Fey O3 – δ, Chem. Lett, 1985, vol. 14, p. 1367.
- Botea-Petcu, A., Tanasescu, S., Varazashvili, V., Lejava, N., Machaladze, T., Khundadze, M., Maxim, F., Teodorescu, F., Martynczuk, J., Yáng, Z., and Gauckler, J.L, Thermodynamic data of Ba0.6Sr0.4Co0.8Fe0.2O3 – δ SOFC cathode material, Mater. Res. Bull., 2014, vol. 57, p. 184.
- Shao, Z.P., Yang, W.S., Cong, Y., Dong, H., Tong, J.H., and Xiong, G.X., Investigation of the permeation behavior and stability of a Ba0.5Sr0.5Co0.8Fe0.2O3 – δ oxygen membrane, J. Membr. Sci., 2000, vol. 172, p. 177.
- Zhao, H.L., Shen, W., Zhu, Z.M., Li, X., and Wang, Z.F., Preparation and properties of BaxSr1 –x CoyFe1 – yO3 – δcathode material for intermediate temperature solid oxide fuel cells, J. Power Sources, 2008, vol. 182, p. 503.
- Zhou, W., Ran, R., and Shao, Z., Progress in understanding and development of Ba0.5Sr0.5Co0.8Fe0.2O3 – δ – based cathodes for intermediate-temperature solid-oxide fuel cells: a review, J. Power Sources, 2009, vol. 192, p. 231.
- Chen, Z.H., Ran, R., Shao, Z.P., Yu, H., da Costa, C.D.J., and Liu, S.M., Further performance improvement of Ba0.5Sr0.5Co0.8Fe0.2O3 – δ perovskite membranes for air separation, Ceram. Int., 2009, vol. 35, p. 2455.
- Shao, Z.P., Xiong, G.X., Tong, J.H., Dong, H., and Yang, W.S., Ba effect in doped Sr (Co0.8Fe0.2) O3 – δ on the phase structure and oxygen permeation properties of the dense ceramic membranes, Sep. Purif. Technol., 2001, vol. 25, p. 419.
- Vente, J.F., Haije, W.G., and Rak, Z.S., Performance of functional perovskite membranes for oxygen production, J. Membr. Sci., 2006, vol. 276, p. 178.
- Shao, Z.P. and Haile, S.M., A high-performance cathode for the next generation of solid-oxide fuel cells, Nature, 2004, vol. 431, p. 170.
- Shao, Z.P., Haile, S.M., Ahn, J., Ronney, P.D., Zhan, Z.L., and Barnett, S.A., A thermally self-sustained micro solid-oxide fuel-cell stack with high power density, Nature, 2005, vol. 435, p. 795.
- Zeng, P.Y., Chen, Z.H., Zhou, W., Gu, H.X., Shao, Z.P., and Liu, S.M., Re-evaluation of Ba0.5Sr0.5Co0.8Fe0.2O3 – δperovskite as oxygen semi-permeable membrane, J. Membr. Sci., 2007, vol. 291, p. 148.
- Zhou, W., Ran, R., Shao, Z.P., Jin, W.Q., and Xu, N.P., Evaluation of A-site cation-deficient (Ba0.5Sr0.5)1 – xCo0.8Fe0.2O3 – δ (x > 0) perovskite as a solid-oxide fuel cell cathode, J. Power Sources, 2008, vol. 182, p. 24.
- Yang, Z., Harvey, A.S., Infortuna, A., and Gauckler, L.J., Phase relations in the Ba–Sr– Co–Fe–O system at 1273 K in air, J. Appl. Crystallogr., 2009, vol. 42, p. 153.
- Van Veen, A.C., Rebeilleau, M., Farrusseng, D., and Mirodatos, C., Studies on the performance stability of mixed conducting BSCFO membranes in medium temperature oxygen permeation, Chem. Commun., 2003, p. 32.
- Liang, F., Jiang, H., Luo, H., Caro, J., and Feldhoff, A., Phase stability and permeation behavior of a dead-end Ba0.5Sr0.5Co0.8Fe0.2O3 – δ tube membrane in high-purity oxygen production, Chem. Mater., 2011, vol. 23, p. 4765.
- Svarcova, S., Wiik, K., Tolchard, J., Bouwmeester, H.J.M., and Grande, T., Structural instability of cubic perovskite BaxSr1 – xCo1 –y FeyO3 – δ, Solid State Ionics, 2008, vol. 178, p. 1787.
- Demont, A., Sayers, R., Tsiamtsouri, M.A., Romani, S., Chater, P.A., Niu, H., Marti- Gastaldo, C., Xu, Z., Deng, Z., Breard, Y., Thomas, M.F., Claridge, J.B., and Rosseinsky, M.J., Single Sublattice Endotaxial Phase Separation Driven by Charge Frustration in a Complex Oxide, J. Amer. Chem. Soc., 2013, vol. 135, p. 10114.
- Gasparyan, H., Claridge, J.B., and Rosseinsky, M.J., Oxygen permeation and stability of Mo-substituted BSCF membranes, J. Mater. Chem., 2015, vol. A 3, p. 18265.
- Artimonova, E.V., Savinskaya, O.A., and Nemudry, A.P., Effect of B-site tungsten doping on structure and oxygen permeation properties of SrCo0.8 Fe0.2O3 – δ perovskite membranes, Eur. J. Ceram. Soc., 2015, vol. 35, p. 2343.
- Kozhemyachenko, A.S. and Nemudry, A.P., Investigation of the functional characteristics of perovskites SrCo 0.8 – xFe 0.2NbxO 3 – δ, Chem. Sustain. Dev., 2010, vol. 18, p. 649.
- Nemudry, A. and Uvarov, N., Nano structuring in composites and grossly nonstoichiometric or heavily doped oxides, Solid State Ionics, 2006, vol. 177, p. 2491.
- Markov, A.A., Savinskaya, O.A., Patrakeev, M.V., Nemudry, A.P., Leonidov, I.A., Pavlyukhin, Yu.T., Ishchenko, A.V., and Kozhevnikov, V.L., Structural features, nonstoichiometry and high-temperature transport in SrFe1 – xMo xO3 – δ, J. Solid State Chem., 2009, vol. 182, p. 799.
- Savinskaya, O. and Nemudry, A.P., Oxygen transport properties of nanostructured SrFe1 – xMoxO2.5+3/2x (0
- Savinskaya, O.A., Nemudry, A.P., Nadeev, A.N., and Tsybulya, S.V., Synthesis and study of the thermal stability of SrFe1 – xMxO3 – z (M = Mo, W) perovskites, Solid State Ionics, 2008, vol. 179, p.1076.
- Markov, A.A., Patrakeev, M.V., Savinskaya, O.A., Nemudry, A.P., Leonidov, I.A., Leonidova, O.N., and Kozhevnikov, V.L., Oxygen nonstoichiometry and high-temperature transport in SrFe1 – xWxO3 – δ Solid State Ionics, 2008, vol. 179, р. 99.
- Shubnikova, E.V., Bragina, O.A., and Nemudry, A.P., Mixed conducting molybdenum doped BSCF materials, J. Ind. Eng. Chem., 2018, vol. 59, p. 242.
- Steel, B.C.H. & Heinzel, A., Materials for fuel-cell technologies, Nature, 2001, vol. 414, p. 345.
- Zhao, K., Kim, B.-H., Norton, M.G., and Ha, S.Y., Cathode Optimization for an Inert-Substrate-Supported Tubular Solid Oxide Fuel, Front. Energy Res. 2018, vol. 6:87, p. 1.
- Sun, C., Hui, R. & Roller, J., Cathode materials for solid oxide fuel cells: a review, J. Solid State Electrochem., 2010, vol. 14, p. 1125.
- Павздерин, Н.Б., Никонов, А.В. Структура активной части элементов твердооксидных устройств с плотным электродным текстурированным слоем (варианты). Пат. 2766871 С1 (Россия), 2022.
Supplementary files






