Electrodeposition of Photosensitive Layers Based on Conducting Polymers and Zinc Phthalocyaninate, Their Structure and Photoelectrical Properties
- Authors: Gribkova O.L.1, Kabanova V.A.1, Kormshchikov I.D.2, Tameev A.R.1, Nekrasov A.A.1
-
Affiliations:
- A.N. Frumkin Institute of Physical Chemistry and Electrochemistry of the Russian Academy of Sciences
- Lomonosov Moscow State University
- Issue: Vol 60, No 6 (2024)
- Pages: 430-441
- Section: Articles
- URL: https://journal-vniispk.ru/0424-8570/article/view/271433
- DOI: https://doi.org/10.31857/S0424857024060053
- EDN: https://elibrary.ru/PUULBI
- ID: 271433
Cite item
Full Text
Abstract
Photosensitive hybrid layers were obtained by electrochemical polymerization of pyrrole and 3,4-ethylenedioxythiophene (EDOT) in the presence of water-soluble sodium salt of zinc octa(3ʹ,5ʹ-dicarboxyphenoxy)phthalocyaninate (ZnPc) containing 16 ionogenic carboxylate groups. It was found that the process of electrodeposition of hybrid layers most effectively occurs in galvanostatic and potentiostatic modes on the sublayer of the PEDOT-polyacid complex. The electronic and chemical structure and morphology of hybrid layers of polypyrrole (PPy) obtained in the presence of ZnPc were studied. Possible reasons are considered that the measured values of photosensitivity and external quantum yield of charge carrier generation in PPy-ZnPc are several times higher than in PEDOT-ZnPc.
Full Text
ВВЕДЕНИЕ
Одной из основных проблем, возникающих при разработке новых фоточувствительных слоев для фотопроводниковых и фотовольтаических устройств, является достижение оптимального соотношения между оптическим поглощением слоя, его проводимостью и толщиной. Чем больше толщина слоя и выше его оптическое поглощение, тем большее число квантов света он может поглотить с образованием электронно-дырочных пар. Однако, если не обеспечить эффективного разделения носителей заряда противоположного знака, они мгновенно рекомбинируют и не дают вклада в фототок. Чем больше толщина слоя, тем выше его электрическое сопротивление и меньше вероятность того, что разделившиеся носители заряда разного знака достигнут противоположных границ фоточувствительного слоя. Кроме того, предпочтительно, чтобы фоточувствительный слой имел биполярную проводимость, т. е., чтобы подвижности положительных и отрицательных носителей заряда в слое были сравнимыми по величине.
Фоточувствительные слои на основе фталоцианинатов (Pc) металлов обладают высоким коэффициентом поглощения ~105 в области 300–400 нм (полоса Соре) и 600–700 нм (Q-полоса) и давно используются для разработки фотоэлектрических устройств [1–3]. При этом подвижности носителей заряда в Pc лежат в широком диапазоне значений (от 5 × 10–4 до 20 см2 В–1 с–1) в зависимости от состава молекул и условий формирования твердых слоев пленочного транзистора, в которых были выполнены измерения [4]. К примеру, было показано, как контроль условий формирования слоев фталоцианината цинка позволяет улучшить морфологию слоя [5]. Однако стабильность механических характеристик таких слоев и связанные с ними электропроводность и фотопроводимость оставляют желать лучшего.
Электроосажденные полимерные слои на основе анилина, тиофена, пиррола и их производных обладают хорошими механическими характеристиками и высокой подвижностью дырок, но обычно блокируют транспорт электронов и поэтому используются как дырочно-транспортные слои в органической оптоэлектронике [6].
Гибридные материалы на основе электроосажденных проводящих полимеров и Pc, могут быть образованы по трем механизмам: 1) включение молекулы фталоцианината в качестве звена в цепь проводящего полимера; 2) присоединение фталоцианината к цепи проводящего полимера с использованием якорной группы; 3) использование фталоцианинов с ионогенными заместителями (карбоксилатными, сульфонатными) в качестве заряд-компенсирующего аниона при электрополимеризации. В последнем случае большое значение имеет строение (заместители макрогетероцикла), число ионогенных групп и природа центрального атома фталоцианинатов.
Электросинтез полипиррола (PPy) можно проводить как в неводной, так и в водной среде [7]. В ранних исследованиях электрополимеризации пиррола (Py) в водной среде [8] содержатся лишь отрывочные сведения об особенностях процесса в присутствии тетрасульфофталоцианината меди, и полученные в этих условиях слои не были должным образом охарактеризованы. В дальнейшем именно тетрасульфофталоцианинаты металлов (MPcTS) наиболее часто использовались для иммобилизации в пленках полипиррола в водной среде. В ряде публикаций по электрополимеризации Py в присутствии Pc [9, 10] авторы добавляли ПАВ в водный реакционный раствор для улучшения растворимости макрогетероциклических молекул и создания развитой поверхности для химической сенсорики, что в значительной мере может повлиять на электрические и фотоэлектрические характеристики образующихся слоев, поскольку молекулы ПАВ могут выступать в роли центров захвата и рекомбинации носителей заряда.
Полученные гибридные слои на основе PPy и Pc наиболее часто тестировали в качестве сенсорного материала на аммиак [11, 12], оксиды азота [13, 14]. В последнем случае были использованы диодные структуры состава Pt/PPy-МPc/Si с прижимным контактом на границе полимер/Si.
Фотоэлектрохимические характеристики гибридных слоев на основе электроосажденных слоев проводящего полимера саленового типа поли[Ni(Salen)] и ZnPcTS в растворе электролита были исследованы в работе [15].
Таким образом, исследований фотоэлектрических характеристик слоев PPy-Pc в составе органических оптоэлектронных устройств ранее не проводилось. Поэтому целью данной работы было объединение преимуществ проводящих полимеров и фталоцианинов в одном фоточувствительном материале для органической оптоэлектроники.
Ранее [16] нами была изучена электрохимическая полимеризация 3,4-этилендиокситиофена (EDOT) в присутствии фталоцианината цинка, содержащего 16 карбоксильных групп, и охарактеризованы полученные полимерные слои. Было показано, что при условии осаждения гибридного полимерного слоя на электрод, покрытый подслоем комплекса поли–3,4-этилендиокситиофена (PEDOT) с полиэлектролитом, фталоцианинат входит в состав полимерного слоя в качестве комплексного заряд-компенсирующего иона. Было обнаружено, что электросинтез PEDOT в присутствии фталоцианината протекает с заметно более высокой скоростью благодаря темплатному эффекту макрогетероцикла с многочисленными ионогенными группами.
В данной работе подробно рассмотрен процесс электросинтеза в водной среде гибридного полимера на основе PPy и фталоцианината цинка, содержащего 16 карбоксильных групп, особенности морфологии, электронной и химической структуры полученных полимерных слоев, подвижность носителей заряда в них, а также изучены фотоэлектрические характеристики диодных структур на основе этих слоев в сравнении с полученными нами ранее [16] аналогичными гибридными полимерными слоями на основе PEDOT.
ЭКСПЕРИМЕНТАЛЬНАЯ ЧАСТЬ
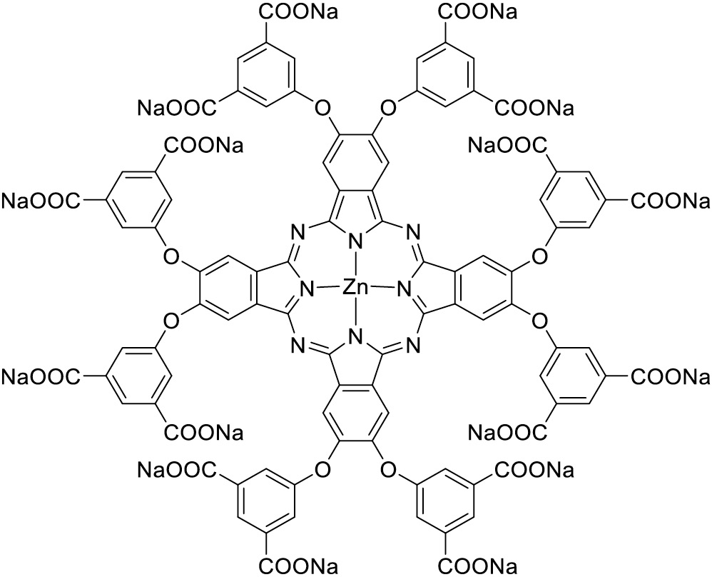
В качестве водорастворимого фталоцианината нами был использован окта(3ʹ,5ʹ-дикарбоксифенокси)фталоцианинат цинка в виде натриевой соли, структура которого представлена на рис. 1.
Рис. 1. Структура фталоцианината цинка, использованного в работе
Он обладает 16 ионогенными карбоксилатными группами, способными к диссоциации в водной среде и, соответственно, выступать в качестве противоионов для компенсации положительных зарядов в цепи электроактивного (проводящего) полимера. Далее данное вещество будет сокращенно именоваться как ZnPc.
Синтез ZnPc был проведен по трехстадийной методике, представленной в [17]. Структура комплекса была охарактеризована методами ЯМР и электронной спектроскопии поглощения в водном растворе (полосы, нм: Соре – 354; Q1–612(слабая); Q2–678(сильная) [16]).
Пиррол (Sigma-Aldrich) перегоняли в атмосфере аргона, запаивали под аргоном в ампулы объемом 0.5–0.7 мл, использовали продукт из только что вскрытой ампулы. Раствор фталоцианината в воде требуемой концентрации готовили за день до синтеза. Растворение мономера проводили при интенсивном перемешивании в течение 2 ч в темноте.
Для полимеризации Py в присутствии ZnPc было выбрано мольное соотношение концентраций 4:1 (0.01 М Py и 0.0025 М ZnPc), которое обеспечивает заведомый избыток карбоксильных групп (16:4) по сравнению с мономерными звеньями образующихся цепей PPy. Полимеризацию проводили в водной среде в трехэлектродной спектроэлектрохимической ячейке на основе 2 cм кварцевой кюветы, снабженной специальной тефлоновой крышкой на полупогруженных оптически прозрачных электродах стекло-FTO (оксид олова, допированный фтором) при площади контакта с раствором 1.3 см2, а также на FTO-электродах, покрытых электроосажденными подслоями комплексов PEDOT или PPy. В качестве противоэлектрода использовали платиновую фольгу, электрода сравнения – насыщенный хлоридсеребряный электрод. Все потенциалы в настоящей работе представлены относительно данного электрода. Электроосаждение проводили в потенциодинамическом (ПД) в диапазоне потенциалов –0.3–1.05 В при скорости развертки 50 мВ/с, потенциостатическом (ПС) при потенциалах 0.8 В, 0.85 В и 1.0 В, и гальваностатическом (ГС) при плотности тока 0.09 мА/см2 режимах.
Подслои PEDOT и PPy наносили на оптически прозрачные электроды стекло-FTO в ГС (0.05 (0.1) мА/см2) режиме в водном растворе, содержащем 0.01 М EDOT (0.01 М Py) и 0.02 М натриевой соли поли-(2-акриламидо-2-метил-1-пропансульфоновой) кислоты фирмы “Aldrich”, 15% водный раствор, Mw ≈ 2 × 106. Натриевую соль (PAMPSNa) получали нейтрализацией поликислоты эквимолярным количеством водного раствора NaOH. Электроосаждение подслоя толщиной ~30 нм (по результатам интерферометрии) вели до достижения заряда электрополимеризации 10 мКл/см2.
Контроль и регистрацию электрохимических параметров в процессе электрополимеризации EDOT и Py осуществляли с помощью потенциостата Autolab PGSTAT204 (Metrohm, Нидерланды). Одновременно в процессе синтеза PPy регистрировали in situ спектры оптического поглощения со скважностью 2 с в диапазоне 700–950 нм с помощью скоростного сканирующего однолучевого спектрофотометра Avaspec 2048 (Avantes B.V., Нидерланды). Положение коротковолновой границы диапазона регистрации спектров определяется сильным поглощением фона (реакционного раствора) при 678 нм, связанного с присутствием ZnPc. Электронные спектры поглощения полученных слоев на воздухе в области 350–1750 нм снимали на спектрофотометре Shimadzu UV3101PC. Спектры комбинационного рассеяния (КР) регистрировали с помощью рамановского конфокального микроскопа Renishaw InVia Reflex при возбуждении 633 нм He–Ne лазером с интенсивностью менее 50 мкВт. Для фокусировки лазерного излучения на образец использовался 20х объектив (диаметр облучаемого пятна составлял ~3 мкм). Образцы устанавливали на неотражающей поверхности столика рамановского микроскопа.
Морфологию поверхности гибридных слоев, полученных в гальваностатическом режиме, проводили на атомно-силовом микроскопе (АСМ) Enviroscope с контроллером Nanoscope V (Bruker) в полуконтактном режиме.
Подвижность носителей заряда в гибридных фотоактивных слоях PPy-ZnPc или PEDOT-ZnPc (слой А) была измерена в образцах структуры SnO2/подслой/слой А/MoO3/Al. Толщины подслоя и слоя А равны 30 и 100 нм соответственно. Слои MoO3 (толщиной 8 нм) и Al (80 нм) наносили методом вакуумного термического испарения при давлении ~5 × 10–6 мм Hg с контролем толщины по кварцевым микровесам. Слой MoO3 служил в качестве барьера для инжекции электронов из Al-электрода, поэтому вольт-амперная характеристика (ВАХ) образцов была обусловлена инжекционным током дырок.
Значения подвижности дырок μ были рассчитаны на участке ВАХ, соответствующем режиму тока, ограниченного пространственным зарядом (ТОПЗ) при полном заполнении ловушек, согласно выражению
,
где JТОПЗ (А/см2) и UТОПЗ (В) – плотность тока и напряжение в режиме ТОПЗ, d (см) – толщина активного слоя, ε0 – электрическая постоянная, ε (Ф /см) – относительная диэлектрическая постоянная вещества, которую принимали равной 3.5.
Фотоэлектрические характеристики фотоактивных гибридных слоев А были исследованы в образцах диодной структуры SnO2/подслой/ слой А /С60 /ВСР/Al, где С60 – слой (20 нм) фуллерена в качестве акцептора электронов, ВСР – слой (8 нм) 2,9-диметил-4,7-дифенил-1,10-фенантролина, блокирующий транспорт дырок, Al – электрод (80 нм), нанесенные аналогично методом вакуумного испарения.
Фоточувствительность образца Ф (А/Вт) определяли как отношение плотности фототока J (А/см2) к мощности падающего монохроматического излучения W (Вт/см2). Внешнюю квантовую эффективность генерации носителей заряда φ (%) определяли как отношение числа носителей заряда, прошедших через слой за единицу времени, к числу поглощенных фотонов за единицу времени φ = Ne /Nph. Здесь Ne = J × t/e и Nph = W(1–10–А) × (λ/hc), где e – заряд электрона, h – постоянная Планка, c – скорость света, А – оптическое поглощение слоя на длине волны λ. Измерения фоточувствительности Ф и внешней квантовой эффективности генерации φ были выполнены в трех областях спектра: в УФ (405 нм), зеленой (510 нм) и красной (700 нм) области. Источниками освещения служили светодиоды, ток регистрировали с помощью источника/измерителя напряжения/тока Keithley 2401.
РЕЗУЛЬТАТЫ И ОБСУЖДЕНИЕ
Процесс электрополимеризации EDOT в присутствии ZnPc был подробно изучен в предыдущей работе [16].
Электрополимеризация пиррола в присутствии фталоцианината ZnPc
На рис. 2 представлены циклические вольтамперограммы при попытке осаждения слоя полипиррола (PPy) в присутствии фталоцианина в режиме циклирования потенциала.
Рис. 2. Циклические вольтамперограммы при попытке осаждения слоя PPy из водного раствора 0.01М пиррола и 0.0025 М ZnPc на электроде FTO: без подслоя (a); с подслоем PPy-PAMPSNa (б); с подслоем PEDOT-PAMPSNa (в)
Аналогично случаю электрополимеризации EDOT в таких же условиях [16], циклирование потенциала FTO-электрода без подслоя в растворе на основе пиррола (рис. 2а), приводит к постепенному блокированию поверхности электрода продуктами электроокисления фталоцианината без образования сколь-либо заметного слоя PPy. Анодный пик в области около 0.6 В (рис. 2а), по-видимому, связан с окислением фталоцианината. Поскольку окисление фталоцианината, в случае если он используется в качестве комплексного заряд-компенсирующего аниона при электрополимеризации пиррола, является мешающим процессом, дальнейшего исследования природы этого пика мы не проводили. Использование подслоя PPy-PAMPSNa также не приводит к устойчивому росту гибридного слоя (рис. 2б). Наиболее вероятной причиной является деградация подслоя PPy-PAMPSNa при потенциалах, необходимых для синтеза PPy в данных условиях. Спектрофотометрическое подтверждение этого предположения будет приведено ниже.
PPy был также электроосажден на подслой PEDOT-PAMPSNa, аналогичный использованному при электросинтезе комплекса PEDOT-ZnPc [16]. В этом случае наблюдается устойчивый рост слоя PPy (рис. 2в). Мы предполагаем, что отсутствие анодного пика окисления фталоцианината при электросинтезе на подслоях (рис. 2б, 2в) свидетельствует о том, что его окисления не происходит, а идет синтез PPy в присутствии комплексного заряд-компенсирующего аниона.
При использовании потенциостатического режима синтеза PPy на FTO-электроде без подслоя при потенциале 1.0 В все же удается получить неравномерную пленку ограниченной толщины (рис. 3а). На подслое PPy-PAMPSNa потенциостатический синтез гибридного слоя PPy-ZnPc (рис. 3б) также идет очень медленно, но с образованием равномерного слоя малой толщины.
Рис. 3. Динамика изменения тока (I), заряда (Q) и спектров оптического поглощения (A) в процессе ПС-осаждения слоя PPy-ZnPc из водного раствора 0.01 М пиррола и 0.0025 М ZnPc на электроде FTO: (a) без подслоя (Epoly = 1.0 В); (б) с подслоем PPy-PAMPSNa (Epoly = 0.8 В); (в) спектры (на вставке: изменение поглощения на 750 нм в зависимости от заряда, пошедшего на электрополимеризацию Py) в процессе синтеза на подслое (цифры в легенде – время, с, от начала синтеза)
Одной из причин медленного роста гибридного слоя PPy-ZnPc на подслое PPy-PAMPSNa может являться деградация подслоя при относительно высоких потенциалах синтеза. Это подтверждается данными рис. 3в, на котором представлено изменение спектров оптического поглощения в процессе потенциостатического осаждения слоя PPy-ZnPc. Видно, что на рис. 3в (вставка) рост поглощения пленки практически прекращается после 20 мКл пропущенного заряда (предел вертикальной оси завышен для удобства последующего сравнения). Обращает на себя внимание незначительный рост оптического поглощения в области около 750 нм с последующим небольшим снижением, которое в спектрах PPy (в том числе комплекса PPy-PAMPSNa) характеризует высокопроводящую биполяронную форму этого электроактивного полимера. Наблюдаемое параллельно с ним снижение поглощения в области 900–950 нм часто происходит при деградации PPy вследствие переокисления.
На рис. 4 представлены результаты ПС (а) и ГС (б) электросинтеза PPy в присутствии ZnPc на электродах FTO с подслоем PEDOT-PAMPSNa. Параллельно с электрохимическими измерениями проводили регистрацию спектров оптического поглощения, эволюция которых представлена на рис. 4в, 4г.
Рис. 4. Динамика изменения тока (I), заряда (Q), потенциала (E) и спектров оптического поглощения (А) в процессе ПС (a, в), Epoly = 0.85 В и ГС (б, г), плотность тока 0.09 мА/см2 осаждения слоя PPy-ZnPc из водного раствора 0.01 М пиррола и 0.0025 М ZnPc на электроде FTO с подслоем PEDOT-PAMPSNa. На спектрах (в, г) цифры в легенде – время, с, от начала синтеза; на вставках – изменение поглощения на 750 нм в зависимости от заряда, пошедшего на электрополимеризацию Py
На рис. 4в, 4г (вставки) наклоны зависимостей поглощения от заряда имеют линейный характер, причем наклон зависимости для ГС-синтеза немного больше. В случае ГС-синтеза процесс был прекращен на более ранней стадии (20 мКл) по причине роста потенциала (рис. 4б). Видно, что в случае использования подслоя PEDOT-PAMPSNa также наблюдается некоторое снижение оптического поглощения в области 900–950 нм, которое связано скорее с переходом PEDOT в биполяронную форму, поглощающую далее в ближней ИК-области. Поэтому этот процесс не приводит к столь же значительному снижению проводимости подслоя, как в случае деградации слоя PPy-PAMPSNa, и рост поглощения слоя PPy-ZnPc в области около 750 нм в процессе электросинтеза в этом случае гораздо более выражен (вставка на рис. 4г). Таким образом, гибридные слои PPy-ZnPc можно успешно вырастить на электродах FTO с подслоем PEDOT-PAMPSNa.
Характеризация полученных гибридных слоев PPy-ZnPc. Морфология
Морфологию слоев PPy-ZnPc исследовали методом АСМ. Результаты представлены на рис. 5. Образец, полученный на подслое PPy-PAMPSNa (а) характеризуется гладкой, компактной поверхностью с низкой шероховатостью Rq=13.7 нм, со средним латеральным размером глобул около 160 нм и высотой 20–30 нм. По этим параметрам он очень похож на подслой PPy-PAMPSNa (Rq = 17.7 нм, высота 30–40 нм) [18]. Иначе говоря, размеры фрагментов примерно такие же, но высота их меньше, что может быть связано с более низкой скоростью электроосаждения PPy в присутствии фталоцианината и незначительной толщиной образовавшегося гибридного слоя.
Рис. 5. АСМ-изображения и профили сечения вдоль белых линий образцов PPy-ZnPc, полученных потенциостатической полимеризацией на подслоях PPy-PAMPSNa (а) и PEDOT-PAMPSNa (б)
Образец, полученный на подслое PEDOT-PAMPSNa (рис. 5б), характеризуется более высокой шероховатостью Rq = 23 нм, его поверхность составлена из двух типов объектов: более крупные – с латеральными размерами 300–400 нм и высотой 50–100 нм и мелкие – размером 100–150 нм и высотой около 30 нм. При сравнении этих значений с типичными для подслоя PEDOT-PAMPSNa [19], необходимо отметить, что в случае гибридного слоя PPy-ZnPc, они в 1.5–2 раза меньше, что связано с более низкой скоростью роста в присутствии фталоцианината.
Электронная спектроскопия в УФ-видимой и ближней ИК областях
На рис. 6 приведены электронные спектры поглощении гибридного слоя PPy-ZnPc на подслое PEDOT-PAMPSNa (1) и подслоя PEDOT-PAMPSNa (3). Видно, что спектр гибридного слоя имеет форму, схожую со спектром PPy (2), но в нем наблюдается небольшой максимум в области около 700 нм, соответствующий поглощению фталоцианината (678 нм). Резкий рост поглощения в области 1350–1750 нм связан со сложением поглощения подслоя PEDOT и гибридного слоя.
Рис. 6. Спектры поглощения слоев, электроосажденных на FTO электрод: 1 – PPy-ZnPc на подслое PEDOT-PAMPSNa; 2 – PPy-PAMPSNa; 3 – подслой PEDOT-PAMPSNa
Спектроскопия комбинационного рассеяния
Химическая структура слоев комплекса PPy-ZnPc была исследована методом спектроскопии КР и результаты сравнивали со спектрами специально изготовленных подслоев PPy-PAMPSNa и PEDOT-PAMPSNa увеличенной толщины.
На рис. 7 представлены нормированные спектры КР-образцов пленок PPy-ZnPc на подслое PPy-PAMPSNa и подслоя PPy-PAMPSNa, нанесенных на подложки FTO-стекло. Для удобства сравнения были протестированы различные базы нормирования спектров, но наилучшие результаты были получены при нормировании на интенсивность полосы 986 см–1 – валентные колебания C–C в кольце поляронной формы PPy. В отличие от случая комплекса PEDOT-ZnPc [16], спектр комплекса PPy-ZnPc (кривая 1) слабо напоминает спектр подслоя PPy-PAMPSNa (кривая 2). В нем присутствуют интенсивные полосы, характерные для спектра фталоцианината (кривая 3), см–1: 1125 (валентные C–C и деформационные C-H колебания), 1331 (валентные колебания в пиррольном кольце), 1420 (валентные колебания в изоиндольном кольце), 1513 (валентные колебания C-N в пиррольном кольце) [20, 21]. Положение полос может быть искажено наличием полимерной матрицы PPy. Таким образом, установлено, что фталоцианинат входит в состав гибридного слоя PPy-ZnPc на подслое PPy-PAMPSNa, причем, очевидно, в большем количестве, чем в случае комплекса PEDOT-ZnPc [16]. Кроме того, надо отметить, что в спектре слоя PPy-ZnPc относительный вклад полосы 934 см–1 (биполяронная форма PPy [22]), по сравнению с полосой 986 см–1 (поляронная форма PPy [22]), выше, чем в спектре слоя PPy-PAMPSNa.
Рис. 7. Нормированные (интенсивность полосы 986 см–1) спектры КР при возбуждении лазером 632 нм образцов, электроосажденных на подложки FTO-стекло: 1 – PPy-ZnPc на подслое PPy-PAMPSNa; 2 – PPy-PAMPSNa. Для сравнения: 3 – произвольно нормированный спектр слоя ZnPc, нанесенного поливом раствора на стекло
На рис. 8 представлены нормированные спектры КР-образцов гибридного слоя PPy-ZnPc (1) на подслое PEDOT-PAMPSNa и подслоя PEDOT-PAMPSNa (2), нанесенных на подложки FTO-стекло. В данном случае нормирование спектров проводили на интенсивность полосы 991 см–1 – колебания в оксиэтиленовом кольце PEDOT. Спектр гибридного слоя (1) в этом случае гораздо более похож на спектр подслоя PEDOT-PAMPSNa, однако в нем присутствуют некоторые из характерных КР-линий фталоцианината, см–1: 1331 и 1513. Увеличенная интенсивность линий PEDOT в спектре гибридного слоя PPy-ZnPc может быть связана с тем, что длина волны возбуждающего лазера 632 нм находится близко к максимуму π-π*-поглощения восстановленной формы комплекса PEDOT-PAMPSNa 611 нм [23]. Это может вызвать явление резонанса, приводящего к увеличению интенсивности КР-линий PEDOT. Таким образом, установлено, что фталоцианин входит в состав гибридного слоя PPy-ZnPc на подслое PEDOT-PAMPSNa.
Рис. 8. Нормированные (интенсивность полосы 991 см–1) спектры КР образцов, электроосажденных на подложки FTO-стекло, при возбуждении лазером 632 нм: 1 – PPy-ZnPc на подслое PEDOT-PAMPSNa; 2 – PEDOT-PAMPSNa. Для сравнения: 3 – произвольно нормированный КР-спектр слоя ZnPc, нанесенного поливом раствора на стекло
Фотоэлектрические характеристики
Результаты измерения подвижности дырок в гибридных слоях PPy-ZnPc и PEDOT-ZnPc (слой А) в образцах структуры SnO2/подслой/слой А/MoO3/Al представлены в табл. 1. Во всех слоях значения подвижности по порядку величины составляют около 10–3 см2 В–1 с–1. Таким образом, по своим зарядо-транспортным свойствам изученные активные слои пригодны для применения в электронных пленочных устройствах, включая фотовольтаические элементы.
Таблица 1. Подвижность дырок в гибридных слоях А
Состав подслоя/слоя А | Подвижность дырок, см2 В–1 с–1 |
PEDOT-PAMPSNa / PPy-ZnPc | 8.3×10–4 |
PEDOT-PAMPSNa / PEDOT-ZnPc | 1.3×10–3 |
Были измерены фотоэлектрические характеристики активных гибридных слоев (слой А) в образцах диодной структуры SnO2/подслой/слой А/С60 /ВСР/Al (табл. 2). В используемой структуре в режиме работы фотодиода ZnPc обеспечивает транспорт электронов. При фотовозбуждении образца в полосе поглощения ZnPc в молекуле образуется экситон, который (1) либо сразу распадается с переносом дырки на полимер (PPy или PEDOT), а электрон движется по молекулам ZnPc и переходит на фуллерен, (2) либо мигрирует по молекулам ZnPc до границы раздела со слоем фуллерена, где распадается с переносом электрона на фуллерен, а дырки – на полимер.
Таблица 2. Фоточувствительность и внешний квантовый выход генерации носителей заряда в гибридных слоях (слой А) при напряженности электрического поля 105 В/см
Состав подслоя/слоя А | Фоточувствительность, А/Вт / внешний квантовый выход, % | ||
405 нм | 510 нм | 700 нм | |
PEDOT-PAMPSNa / PPy-ZnPc | 29.72/16.5 | 28.94/13.8 | 2.15/9.3 |
PEDOT-PAMPSNa / PEDOT-ZnPc | 6.46/7.6 | 8.93/6.2 | 3.28/1.2 |
Высокая внешняя квантовая эффективность генерации носителей заряда в гибридном слое на основе PPy относительно слоя на основе PEDOT, вероятно, обусловлена более выгодным взаимным расположением фрагментов цепей PPy и молекул Pc для переноса заряда (дырок) между ними в силу стереохимической комплементарности звеньев Py с пиррольными фрагментами кольца Pc вместе с меньшей разницей между уровнем энергии ВЗМО Pc (–5.17 эВ) и работой выхода PPy (–5.1 эВ) [24], по сравнению с PEDOT (–5.0 эВ) [25]. Фоточувствительность в образце с PPy-ZnPc также выше, чем в PEDOT-ZnPc. Это связано как с более высоким квантовым выходом, так и с тем, что, согласно анализу КР-спектров, ZnPc входит в матрицу PPy в относительно большем количестве, чем в случае матрицы PEDOT. При освещении белым светом (ксеноновая лампа) с W = 0.1 Вт/см2 образцы на основе PEDOT-ZnPc показывают Ф = 0.013 А/Вт. Эта величина сравнима с фоточувствительностью фотодиодов структуры ITO/PEDOT:PSS/CuPc(60 нм)/C60(40 нм)/Al (Ф ~ 0.04 А/Вт при W = 0.1 Вт/см2 и напряженности поля 105 В/см), в которой слой CuPc был приготовлен термическим вакуумным испарением [26]. Таким образом, разработанные нами гибридные слои PPy-ZnPc и PEDOT-ZnPc, формируемые электрохимическим осаждением, показали себя перспективными для создания фотодиодных устройств.
ЗАКЛЮЧЕНИЕ
В результате проведенных исследований разработаны гибридные материалы, сочетающие в себе высокую дырочную проводимость электроосажденных полипиррола и поли–3,4-этилендиокситиофена с фотоэлектрическими свойствами фталоцианината цинка.
Электрохимическими и спектроэлектрохимическими методами исследован процесс электрополимеризации пиррола в присутствии фталоцианината цинка, содержащего 16 ионогенных карбоксилатных групп, выступающих в качестве заряд-компенсирующих при формировании полимерной пленки. Показано, что, как и в случае электросинтеза слоев PEDOT-ZnPc, электросинтез гибридных слоев PPy-ZnPc наиболее эффективно проходит на подслое комплекса PEDOT-PAMPSNa в гальваностатическом и потенциостатическом режимах. При электросинтезе слоев PPy-ZnPc на подслое PPy-PAMPSNa последний деградирует, замедляя процесс и не позволяя получить слои достаточной толщины.
Методами электронной спектроскопии и спектроскопии комбинационного рассеяния исследована электронная и химическая структура гибридных слоев PPy-ZnPc и показано, что ZnPc входит в матрицу PPy в относительно большем количестве, чем в случае матрицы PEDOT, причем содержание поляронных фрагментов PPy в гибридном слое меньше, чем в слое комплекса PPy-PAMPSNa.
Исследования фотоэлектрических характеристик и результаты измерения подвижности носителей заряда показали, что разработанные нами гибридные слои PPy-ZnPc и PEDOT-ZnPc являются перспективными для формирования фотодиодных устройств. При этом структуры на основе слоя PPy-ZnPc обладают более высокой фоточувствительностью и внешним квантовым выходом.
БЛАГОДАРНОСТИ
Электронные спектры поглощения в УФ-видимой-ближней ИК-областях, спектры комбинационного рассеяния и АСМ-изображения поверхности пленок регистрировали на оборудовании ЦКП ФМИ ИФХЭ РАН.
ФИНАНСИРОВАНИЕ РАБОТЫ
Работа выполнена при финансовой поддержке Российского научного фонда (проект № 23-19-00884, раздел по исследованию фотоэлектрических свойств гибридных слоев PPy-ZnPc) и Минобрнауки России (тема ИФХЭ РАН № 122011300052-1, разделы по электросинтезу и исследованию физико-химических свойств гибридных слоев PPy-ZnPc).
КОНФЛИКТ ИНТЕРЕСОВ
Авторы заявляют, что у них нет конфликта интересов.
About the authors
O. L. Gribkova
A.N. Frumkin Institute of Physical Chemistry and Electrochemistry of the Russian Academy of Sciences
Author for correspondence.
Email: oxgribkova@gmail.com
Russian Federation, Moscow
V. A. Kabanova
A.N. Frumkin Institute of Physical Chemistry and Electrochemistry of the Russian Academy of Sciences
Email: oxgribkova@gmail.com
Russian Federation, Moscow
I. D. Kormshchikov
Lomonosov Moscow State University
Email: oxgribkova@gmail.com
Russian Federation, Moscow
A. R. Tameev
A.N. Frumkin Institute of Physical Chemistry and Electrochemistry of the Russian Academy of Sciences
Email: oxgribkova@gmail.com
Russian Federation, Moscow
A. A. Nekrasov
A.N. Frumkin Institute of Physical Chemistry and Electrochemistry of the Russian Academy of Sciences
Email: secp@elchem.ac.ru
Russian Federation, Moscow
References
- Симон, Ж., Андре, Ж.-Ж. Молекулярные полупроводники. Фотоэлектрические свойства и солнечные элементы. М.: Мир, 1988. p. 344.
- Gsänger, M., Bialas, D., Huang, L., Stolte, M., and Würthner, F., Organic Semiconductors based on Dyes and Color Pigments, Advanced Mater., 2016, vol. 28, no. 19, p. 3615. https://doi.org/10.1002/adma.201505440
- Ray, A.K., Mukherjee, D., and Sarkar, S., Phthalocyanines: A Class of Organic Photoconductive Materials, Photoconductivity and Photoconductive Mater.: Fundamentals, Techniques and Applications: Vol. 1 and 2, 2022, p. 831. https://doi.org/10.1002/9781119579182.ch21
- Bao, Z., Lovinger, A.J., and Dodabalapur, A., Highly ordered vacuum-deposited thin films of metallophthalocyanines and their applications in field-effect transistors, Advanced Mater., 1997, vol. 9, no. 1, p. 42. https://doi.org/10.1002/adma.19970090108
- Odintsova, E.G., Petrenko, V.E., Kolker, A.M., and Borovkov, N.Y., Molecular origin of structural defects in the zinc phthalocyanine film, Phys. Chem. Chem. Phys., 2022, vol. 24, no. 33, p. 19956. https://doi.org/10.1039/D2CP01221A
- Kabanova, V.A., Gribkova, O.L., Tameev, A.R., and Nekrasov, A.A., Hole transporting electrodeposited PEDOT-polyelectrolyte layers for perovskite solar cells, Mendeleev Commun., 2021, vol. 31, no. 4, p. 454. https://doi.org/10.1016/j.mencom.2021.07.005
- Истакова, О.И., Конев, Д.В., Медведева, Т.О., Золотухина, Е.В., Воротынцев, М.А. Эффективность процесса электрополимеризации пиррола в различных условиях. Электрохимия. 2019. Т. 55. С. 85. https://doi.org/10.1134/S0424857018130248
- Qiu, Y.-J. and Reynolds, J. R., Electrochemically initiated chain polymerization of pyrrole in aqueous media, J. Polymer Sci. Part A: Polymer Chem., 1992, vol. 30, no. 7, p. 1315. https://doi.org/10.1002/pola.1992.080300709
- Muthuraman, G., Shim, Y.-B., Yoon, J.-H., and Won, M.-S., Simultaneous immobilization of cobalt tetrasulfonated phthalocyanine during electropolymerization of pyrrole in presence of surfactants: a study of film morphology and its conductivity, Synthetic Metals, 2005, vol. 150, no. 2, p. 165. https://doi.org/10.1016/j.synthmet.2005.02.002
- Singh, V.V., Gupta, G., Sharma, R., Boopathi, M., Pandey, P., Ganesan, K., Singh, B., Tiwari, D. C., Jain, R., and Vijayaraghavan, R., Detection of chemical warfare agent Nitrogen Mustard–1 based on conducting polymer phthalocyanine nanorod modified electrode, Synthetic Metals, 2009, vol. 159, no. 19, p. 1960. https://doi.org/10.1016/j.synthmet.2009.07.001
- Patois, T., Sanchez, J.B., Berger, F., Fievet, P., Segut, O., Moutarlier, V., Bouvet, M., and Lakard, B., Elaboration of ammonia gas sensors based on electrodeposited polypyrrole – Cobalt phthalocyanine hybrid films, Talanta, 2013, vol. 117, p. 45. https://doi.org/10.1016/j.talanta.2013.08.047
- Sizun, T., Patois, T., Bouvet, M., and Lakard, B., Microstructured electrodeposited polypyrrole-phthalocyanine hybrid material, from morphology to ammonia sensing, J. Mater. Chem., 2012, vol. 22, no. 48, p. 25246. https://doi.org/10.1039/c2jm35356c
- Nguyen, V.C. and Potje-Kamloth, K., Electrical and chemical sensing properties of doped polypyrrole/gold Schottky barrier diodes, Thin Solid Films, 1999, vol. 338, no. 1–2, p. 142. https://doi.org/10.1016/S0040-6090(98)01060-8
- Nguyen, Van C. and Potje-Kamloth, K., Electrical and NOx gas sensing properties of metallophthalocyanine-doped polypyrrole/silicon heterojunctions, Thin Solid Films, 2001, vol. 392, no. 1, p. 113. https://doi.org/10.1016/S0040-6090(01)00837-9
- Petrov, A.A., Lukyanov, D.A., Kopytko, O.A., Novoselova, J.V., Alekseeva, E. V., and Levin, O. V., Inversion of the Photogalvanic Effect of Conductive Polymers by Porphyrin Dopants, Catalysts, 2021, vol. 11, no. 6, p. 729. https://doi.org/10.3390/catal11060729
- Грибкова, О.Л., Кабанова, В.А., Ягодин, А.В., Аверин, А.А., Некрасов, А.А. Водорастворимый фталоцианин с ионогенными группами как молекулярная матрица для электрополимеризации 3,4-этилендиокситиофена. Электрохимия. 2022. Т. 58. С. 711. [Gribkova, O.L., Kabanova, V.A., Yagodin, A.V., et al., Water-Soluble Phthalocyanine with Ionogenic Groups as a Molecular Template for Electropolymerization of 3,4-Ethylenedioxythiophene, Russ. J. Electrochem., 2022, vol. 58, p. 957.] https://doi.org/10.1134/S1023193522110076
- Liu, W., Jensen, T.J., Fronczek, F.R., Hammer, R.P., Smith, K.M., and Vicente, M.G.H., Synthesis and Cellular Studies of Nonaggregated Water-Soluble Phthalocyanines, J. Medic. Chem., 2005, vol. 48, no. 4, p. 1033. https://doi.org/10.1021/jm049375b
- Gribkova, O.L., Kabanova, V. A., and Nekrasov, A.A., Electrodeposition of thin films of polypyrrole-polyelectrolyte complexes and their ammonia-sensing properties, J. Solid State Electrochem., 2020, vol. 24, no. 11, p. 3091. https://doi.org/10.1007/s10008-020-04766-0
- Kabanova, V., Gribkova, O., and Nekrasov, A., Poly(3,4-ethylenedioxythiophene) Electrosynthesis in the Presence of Mixtures of Flexible-Chain and Rigid-Chain Polyelectrolytes, Polymers, 2021, vol. 13, no. 22, p. 3866. https://doi.org/10.3390/polym13223866
- Lokesh, K.S. and Adriaens, A., Electropolymerization of palladium tetraaminephthalocyanine: Characterization and supercapacitance behavior, Dyes and Pigments, 2015, vol. 112, p. 192. https://doi.org/10.1016/j.dyepig.2014.06.034
- Aroca, R., Dilella, D.P., and Loutfy, R.O., Raman spectra of solid films-I. Metal-free phthalocyanine, J. Phys. and Chem. Solids, 1982, vol. 43, no. 8, p. 707. https://doi.org/10.1016/0022-3697(82)90235-9
- Gribkova, O.L., Kabanova, V.A., Iakobson, O.D., and Nekrasov, A.A., Spectroelectrochemical investigation of electrodeposited polypyrrole complexes with sulfonated polyelectrolytes, Electrochim. Acta, 2021, vol. 382, p. 138307. https://doi.org/10.1016/j.electacta.2021.138307
- Gribkova, O.L., Iakobson, O.D., Nekrasov, A.A., Cabanova, V.A., Tverskoy, V.A., Tameev, A.R., and Vannikov, A.V., Ultraviolet-Visible-Near Infrared and Raman spectroelectrochemistry of poly(3,4-ethylenedioxythiophene) complexes with sulfonated polyelectrolytes. The role of inter- and intra-molecular interactions in polyelectrolyte, Electrochim. Acta, 2016, vol. 222, p. 409. https://doi.org/10.1016/j.electacta.2016.10.193
- Potje-Kamloth, K., Chemical Gas Sensors Based on Organic Semiconductor Polypyrrole, Critical Rev. in Analytical Chem., 2002, vol. 32, no. 2, p. 121. https://doi.org/10.1080/10408340290765489
- Zafar, Q., Fatima, N., Karimov, K.S., Ahmed, M.M., and Sulaiman, K., Realizing broad-bandwidth visible wavelength photodiode based on solution-processed ZnPc/PC71BM dyad, Optical Mater., 2017, vol. 64, p. 131. https://doi.org/10.1016/j.optmat.2016.12.001
- Nath, D., Dey, P., Joseph, A.M., Rakshit, J.K., and Roy, J.N., CuPc/C60 heterojunction for high responsivity zero bias organic red-light photodetector, Appl. Phys. A: Mater. Sci. and Processing, 2020, vol. 126, no. 8, p. 627. https://doi.org/10.1007/s00339-020-03806-w
Supplementary files










