Polysulfone-Based Anion-exchange Membranes for Alkaline Water Electrolyzers
- Authors: Kuleshov V.N.1, Kuleshov N.V.1, Kurochkin S.V.1, Gavrilyuk A.A.1, Klimova M.A.1, Grigorieva O.Y.1
-
Affiliations:
- Moscow Power Engineering Institute
- Issue: Vol 60, No 8 (2024)
- Pages: 553-562
- Section: Articles
- URL: https://journal-vniispk.ru/0424-8570/article/view/275153
- DOI: https://doi.org/10.31857/S0424857024080038
- EDN: https://elibrary.ru/POZXUG
- ID: 275153
Cite item
Full Text
Abstract
By the method of chloromethylation and further quaternization of polysulfone, the synthesis of an anion-exchange membrane for electrolyzers of water with an alkaline electrolyte was carried out. The characteristics of the resulting membrane are determined: porosity, electrical conductivity, gas density. A comparative analysis of the characteristics of the membrane and the porous diaphragm (analog of ZifronPerl) is given, the results of tests in the composition of an alkaline electrolyzer battery in comparison with a porous diaphragm based on unmodified polysulfone with hydrophilic filler (TiO2) synthesized by phase inversion are presented. A possible mechanism of degradation of the main chain of quaternized polysulfone is described. The ways of further development of the technology of anion-exchange membranes based on polysulfone are proposed.
Full Text
ВВЕДЕНИЕ
Процессы низкотемпературного электролиза воды известны давно и хорошо изучены. На сегодняшний день созданы и коммерчески доступны высокопроизводительные электролизеры со щелочным и твердым протонпроводящим электролитом (ТПЭ). Тем не менее, работы по усовершенствованию их характеристик ведутся во всем мире и до сих пор остаются актуальными. Каждый из этих типов электролизеров имеет свои достоинства и недостатки. Электролизеры с ТПЭ позволяют генерировать газы высокой чистоты (до 99.9 об. % H2) под большим давлением. В то же время их главным недостатком является высокая стоимость мембранных материалов и электрокатализаторов (металлы платиновой группы, оксиды иридия). Преимущество щелочных электролизеров – более низкая стоимость диафрагменных материалов и отсутствие благородных металлов в составе каталитических слоев. Однако у щелочных электролизеров более низкая чистота генерируемых газов по сравнению с ТПЭ электролизерами за счет использования пористых диафрагменных материалов.
Таким образом, важным направлением развития щелочного электролиза является дальнейшее совершенствование технологии диафрагменных материалов и создание мембранных материалов с анионообменными свойствами.
Диафрагменные или мембранные материалы должны обеспечивать высокую удельную электропроводность при максимальной газоплотности и, соответственно, высокой чистоте генерируемых газов. В научной и технической литературе по тематике электролиза нет четкого разделения на диафрагмы и мембраны. Разделение на пористые и беспористые материалы не является исчерпывающим и часто приводит к путанице. Например, диафрагму ZIRFON PERL со средним радиусом пор 50–300 нм часто называют Inorganic Membrane Electrolysis Technology (IMET), т. е. диафрагму неправомерно называют мембраной. В отечественной литературе асбокартон с радиусом пор до нескольких сотен микрон часто также называют анионообменным материалом или матричным электролитом. С другой стороны, протонпроводящие мембраны Nafion электролизеров с ТПЭ считаются беспористыми, что противоречит модели переноса заряда по внутренней поверхности кластера, заполненного электролитом, и тому факту, что это набухающие материалы. Таким образом, разделение на пористые (радиус пор сотни нанометров) и беспористые (радиус пор единицы нанометров) не имеет четких границ.
Более определенным является разделение на диафрагмы и мембраны не только по пористости, но и по типу взаимодействия с ионами электролита. Материал диафрагм (ZIRFON PERL, диафрагменный асбест) не имеет специально привитых ионогенных групп, взаимодействующих с ионами электролита (гидратированным гидроксилом), и механизм переноса имеет схожие черты с фильтрацией. Основой мембранных материалов являются полимеры с привитыми ионогенными группами, взаимодействующими с ионами электролита. Например, мембрана Nafion, используемая в качестве ТПЭ, представляет собой основу из политетрафторэтилена с присоединенными перфторвиниловыми эфирами, на концы которых прививаются сульфогруппы, обеспечивающие перенос за счет взаимодействия с ионами гидроксония. Общепризнанного мнения о механизме переноса заряда в катионообменных и анионообменных мембранах нет, в разное время были предложены эстафетный механизм, хоппинг и др.
В настоящее время наиболее известными мировыми производителями щелочных электролизеров воды являются Hydrogenics (Cummins), Teledyne, Norsk Hydro ASA (Hydro), McPhy Energy и др. Все эти производители используют пористые диафрагменные материалы ZIRFON PERL или их аналоги. Диафрагмы представляют собой пористую матрицу щелочестойкого полисульфона или полифениленсульфида, заполненного гидрофильным наполнителем (TiO2 или ZrO2), синтезируемую методом фазовой инверсии. Аналог данного типа диафрагм разработан на кафедре Химии и электрохимической энергетики ФГБОУ НИУ МЭИ авторами настоящей статьи [1].
Некоторые зарубежные фирмы коммерчески реализуют анионообменные мембраны для щелочных электролизеров воды: Sustanion X37-50 (Dioxide Materials); Fumatech Bipolar, Fumasep-FAS50, Fumasep FAPQ (Fumatech); Neosepta ACM (Astom corp); Celazole PBI (PBI Performance Products Inc.), Tokuyama A201 (Tokuyama), Aemion (Ionomr Innovations Corp.), Acta (Enapter) [2]. При этом о начале использования анионообменных мембран в составе коммерческих электролизеров сообщают только Nel Hydrogen и Enapter, и подтвержденные данные о ресурсных испытаниях в настоящее время отсутствуют.
Причиной недостаточно масштабного применения анионообменных мембран в коммерческих щелочных электролизерах является скудная и часто противоречивая информация о ресурсе. Заявляемые производителем данные не подтверждаются независимыми исследовательскими группами и конкурирующими фирмами [3, 4]. Кроме того, заявляемый производителями состав основной цепи и ионогенных групп не позволяет сделать вывод об их устойчивости в условиях щелочного электролиза.
В качестве основы анионообменных мембран обычно используют промышленно производимые, доступные и относительно недорогие полимеры, такие как полиэфирэфиркетоны, полисульфоны на основе дифенилолпропана, полифенилсульфоны, полифениленоксиды, реже поливинилиденфториды и сополимеры стирола с дивинилбензолом. Наиболее часто используют анионообменные группы: на основе атомов азота – первичного, вторичного, третичного, четвертичного аммония; группы, содержащие два ионогенных центра аммония; ионы имидазолия, бензимидазолия; гуанидиний; пиридиний; имидазолий, бензимидазолий; реже – фосфоний, бензилфосфоний, сульфоний, фенантролиновые комплексы ионов переходных металлов, соединения с металлоорганическим каркасом. В работах [5–27] приведены данные об устойчивости широкого круга анионообменных групп в разбавленных и концентрированных растворах щелочи, которые часто опровергают заявляемый фирмами-производителями ресурс. Важно отметить, что в научной литературе практически полностью отсутствуют данные об исследованиях процессов деградации анионообменных мембран в присутствии кислорода, т. е. на границе раздела мембрана/анод основного типа щелочных электролизеров с “нулевым зазором”.
На текущий момент можно выделить два основных направления исследований и разработок в области анионообменных мембран для щелочных электролизеров воды:
- Создание материалов на основе полимерного связующего с неорганическим наполнителем, синтезируемых методом фазовой инверсии. Как правило, улучшения характеристик достигают, снижая размер частиц гидрофильного наполнителя и изменяя условия синтеза, температуру и состав коагуляционных ванн.
- Синтез полимеров с ионогенными положительно заряженными группами, обеспечивающими перенос гидратированного иона гидроксила. Данное направление включает химическое модифицирование щелочестойких полимеров путем введения ионогенных групп, синтез полимеров из мономеров с ионогенными группами или их предшественниками, синтез сшитых блок-сополимеров, разработку и синтез новых ионогенных групп, не подверженных деструкции в условиях щелочного электролиза.
По первому направлению на кафедре ХиЭЭ ФГБОУ НИУ МЭИ создан образец аналога ZIRFON PERL [1] с наполнителем в виде гидрогеля гидроксида циркония, который синтезировали методом фазовой инверсии; также разработана микропленочная многослойная диафрагма с гидрогелевым наполнителем, синтезируемая методом послойного центробежного центрифугирования, результаты являются предметом отдельной публикации.
Настоящая статья является продолжением работ по созданию элементной базы нового поколения для водных щелочных электролизеров и посвящена началу исследований по синтезу анионообменных мембран основе полимеров с привитыми ионогенными положительно заряженными группами.
ЭКСПЕРИМЕНТАЛЬНАЯ ЧАСТЬ
Изготовление анионообменной мембраны
В качестве основы анионообменной мембраны был выбран полисульфон на основе дифенилолпропана ПСФ-150 (Институт пластмасс им. Г. С. Петрова, Россия). Аналог ПСФ-150 – полисульфон Udel (Basf) является основой диафрагм ZIRFON PERL (Agfa).
В настоящей работе вместо формальдегида использовали продукт его полимеризации – параформальдегид (параформ), в качестве источника хлорида водорода – триметилхлорсилан. Бензольные кольца основной цепи полисульфона содержат активирующие орто-ориентанты –OR– и –C(CH3)2– и дезактивирующие мета-ориентанты –SO2R–, поэтому достаточно было использовать кислоту Льюиса средней силы, являющуюся катализатором бимолекулярного замещения – тетрахлорид олова (SnCl4). Безводный SnCl4 синтезировали самостоятельно путем прямого хлорирования металлического олова током осушенного хлора с последующей отгонкой при 113°С.
Хлорметилирование полисульфона проводили по методике [28] с помощью установки, изображенной на рис. 1а.
Рис. 1. Хлорметилирование полисульфона: (а) – лабораторная установка для хлорметилирования; (б) – исходный полисульфон ПСФ-150 и его хлорметилированное производное
Сначала готовили раствор 10 г полисульфона ПСФ-150 в 500 мл хлороформа, затем его отфильтровывали, поскольку гранулы полимера содержат нерастворимые посторонние включения, помещали в трехгорлую колбу (1), доливали 40 мл триметилхлорсилана и насыпали 8 г параформальдегида. Раствор с нерастворившимися частицами параформальдегида нагревали с помощью термостата (2) до 50°С при постоянном перемешивании механической мешалкой (3), снабженной жидкостным затвором (4), заполненным глицерином.
В отдельном объеме готовили раствор 0.3 мл безводного SnCl4 в хлороформе и при постоянном перемешивании добавляли его в реакционный объем в течение 1 ч с помощью капельной воронки (5), снабженной хлоркальциевой трубкой.
После введения катализатора реакционную смесь оставляли при температуре 50°С и постоянном перемешивании на 70 ч. Параформальдегид полностью растворяется после первых 4–5 ч реакции. Температура кипения хлороформа составляет 61–62°С, что достаточно близко к температуре реакции, поэтому для предотвращения потерь растворителя колбу снабжали обратным холодильником (6), подключенным к водяному термостату (7) с комнатной температурой. Выход холодильника (6) снабжен хлоркальциевой трубкой, чтобы исключить попадание паров влаги в реакционный объем.
По истечении времени реакции раствор отфильтровывали от триметилсиланола ((CH3)3SiOH) и (или) триметилсилилового эфира (CH3)3SiOSi(CH3)3, переносили в капельную воронку и медленно при постоянном перемешивании сливали в колбу с этиловым спиртом (96%). Высаженный в осадок хлорметилированный полисульфон отфильтровывали и сушили в вакуумном сушильном шкафу при температуре 40°С в течение дня. Исходный гранулированный ПСФ-150 и его хлорметилированное производное приведены на рис. 1б.
Кватернизацию проводили с помощью прибора, изображенного на рис. 1а. Хлорметилированный полисульфон (8 г) растворяли в 500 мл диметилсульфоксида и помещали в колбу (1), температуру 70°С поддерживали с помощью термостата (2). При постоянном перемешивании из капельной воронки добавляли 4 М раствор триметиламина в этаноле (96%) в течение 1.5 ч. Амин добавляли в 3-кратном избытке. После добавления амина реакцию проводили 10 ч при постоянном перемешивании.
В отличие от немодифицированного и хлорметилированного полисульфона, кватернизованный полисульфон практически не выделяется из раствора диметилсульфоксида при смешивании с этиловым спиртом или водой. К раствору кватернизованного полисульфона приливали диэтиловый эфир, а затем смешивали с водой. При быстром смешивании выпадает хорошо сформированный осадок на дне колбы, при медленном – полимер выделяется в виде геля на границе раздела фаз диэтиловый эфир/вода.
Полимер отделяли фильтрованием и сушили в вакуумируемом сушильном шкафу 2 суток, в шкаф помещали предварительно прокаленный хлорид кальция. Операцию растворения/отделения и осушки повторяли 3 раза для очистки полимера от примесей. Кватернизованный полисульфон представляет собой мелкодисперсный порошок слегка желтого цвета, хорошо растворимый в полярных апротонных растворителях и не растворимый в воде.
Пленки кватернизованного полисульфона формировали методом полива. Стеклянную подложку размером 12 × 12 см тщательно промывали диметилацетамидом, затем обезжиривали спиртом, сенсибилизировали в растворе двухвалентного хлорида олова и промывали водой. Раствор полимера в диметилацетамиде (10–20 мас. %) наносили на подложку и выравнивали слой. Затем помещали в сушильный шкаф с температурой 50°С, устанавливали под углом 60 град. и вакуумировали.
Пленка кватернизованного полисульфона характеризуется хорошей адгезией к стеклянной подложке и в сухом состоянии достаточно хрупкая. Стеклянную подложку с высушенной пленкой погружали в ванну с водой. По истечении 2–3 ч пленка кватернизованного полисульфона хорошо отделяется от подложки без повреждений и становится эластичной (рис. 2).
Рис. 2. Пленка кватернизованного полисульфона
Для придания мембране анионообменных свойств (алкализации) ее погружали в стакан с водяной рубашкой и выдерживали в 1 М растворе КОН при температуре 50°С в течение 2 суток.
Методы исследования
Ионообменную емкость мембраны определяли по методу кислотно-основного титрования. После алкализации мембраны в растворе КОН с ее поверхности удаляли избыток щелочи фильтровальной бумагой. Затем мембрану оставляли на сутки в 1 литре 1 М раствора соляной кислоты. Полученный раствор титровали 1 М раствором NaOH с кислотно-основным индикатором фенолфталеином. Мембрану выдерживали в сушильном шкафу при 50°С под вакуумом в присутствии прокаленного хлорида кальция до постоянной массы и взвешивали.
Газоплотность определяли по методу “точки пузырька” (Bubble point pressure) в двухкамерной ячейке из прозрачного пластика (полиметилметакрилата). В одну камеру заливали электролит (6 М КОН), во вторую подавали сжатый водород. Появление первого пузырька со стороны мембраны, обращенной к электролиту, наблюдали визуально, давление фиксировали с помощью манометра.
Пористость мембраны исследовали методом контактно-эталонной порометрии (“Porosimeter 3.2” (MPM&P Research Inc., Канада).
Вольт-амперные характеристики получали в электролизной ячейке (конструкция подробно рассмотрена в [29]) на никелевых электродах заданной конфигурации, которые синтезировали по двухмерному эскизу. Для этого в графическом редакторе Open Office Draw разрабатывали эскиз электрода необходимого размера и конфигурации. Эскиз распечатывали на прозрачной пленке на струйном принтере. На подложку из полированной нержавеющей стали наносили слой фотополимера, накладывали пленку с распечатанным эскизом и производили засветку УФ-лампой. Не засвеченные участки фотополимера отмывали теплой водой. На подложке оставался засвеченный фотополимер. Подложку погружали в гальваническую ванну для толстослойного сульфаматного никелирования и подключали к отрицательному полюсу источника постоянного тока. Никель осаждался на свободных от фотополимера участках подложки, тем самым формируя электрод заданной геометрии и толщины. Методы нанесения катализаторов катодных (Ni–Co) и анодных (Ni–Fe) процессов разработаны авторами данной статьи и приведены в работе [30]. В качестве выпрямителя тока использовался ИП1200А “Ирбис Т”, Россия.
Удельную электропроводность мембраны измеряли по методике, приведенной в работе [31].
РЕЗУЛЬТАТЫ И ОБСУЖДЕНИЕ
В качестве отправной точки исследований и получения первых результатов был выбран наиболее простой и хорошо изученный способ химического модицифирования – хлорметилирование с последующей кватернизацией четвертичным ионом аммония.
Реакция хлорметилирования полисульфона протекает по двухстадийному механизму электрофильного присоединения-отщепления в ароматическом кольце (SEAr). Механизм реакции является одним из вариантов реакции Фриделя – Крафтса. Впервые хлорметилирование бензола реакцией с формальдегидом и хлоридом водорода в присутствии ZnCl2 (кислоты Льюиса) осуществил Г. Л. Бланк в 1923 г. Главный недостаток реакции Бланка – использование канцерогенного формальдегида и образование также канцерогенного побочного продукта реакции – дихлорметилового эфира.
На рис. 3 приведен механизм хлорметилирования одного из бензольных колец полисульфона в орто-положение относительно эфирной группы –О-.
Рис. 3. Механизм реакции хлорметилирования полисульфона
В ходе экспериментов было обнаружено, что при добавлении избытка SnCl4 либо при слишком быстром его добавлении выпадает нерастворимый осадок. Причиной может быть сшивка полимера (рис. 4).
Рис. 4. Возможная причина образования нерастворимого побочного продукта – сшивка полимера
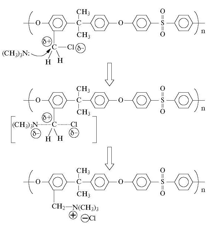
Кватернизация хлорметилированного полисульфона была осуществлена по реакции Меншуткина (1890 г.), суть которой заключается в алкилировании третичных аминов с образованием четвертичных аммониевых солей. Реакция с алкилгалогенидами может протекать по механизму бимолекулярного нуклеофильного замещения (SN2), рис. 5.
Рис. 5. Механизм кватернизации хлорметилированного полисульфона
Результаты исследований пористости, удельной электропроводности и газоплотности мембраны приведены в табл. 1. Для сравнения приведены данные для пористой диафрагмы, аналога ZIRFON PERL, синтезированной авторами данной статьи, по методике, опубликованной в [31, 32].
Ионообменная емкость полученной мембраны была рассчитана по формуле:
,
где с и V – концентрация (М) и объем (л) HCl и NaOH соответственно, m – масса сухой мембраны (г). Емкость составила 1.9–2.0 ммоль (OH–)/1 г сухой мембраны.
На рис. 6 приведены вольт-амперные характеристики электролизной ячейки с разными разделительными материалами: анионообменной мембраной и пористой диафрагмой.
Рис. 6. Вольт-амперные характеристики электролизной ячейки с различными разделительными материалами: 1 – анионообменная мембрана на основе кватернизованного полисульфона; 2 – пористая диафрагма
Из сопоставления данных табл. 1 и вольт-амперных характеристик можно сделать следующие выводы. Пористая диафрагма на основе ПСФ-150 и безводного диоксида титана в качестве гидрофильного наполнителя, синтезируемая методом фазовой инверсии [31, 32], характеризуется гораздо более высокой суммарной пористостью и максимальным радиусом пор, что обусловливает значительно меньшую газоплотность. Синтезированный образец анионообменной мембраны на основе кватернизованного полисульфона позволит значительно повысить чистоту генерируемых газов, но характеризуется гораздо меньшей удельной электропроводностью.
Необходимо отметить, что ресурс пористых диафрагм и ZIRFON PERL составляет десятки тысяч часов, т. е. немодифицированный полисульфон ПСФ-150 и Udel проявляют высокую химическую устойчивость в условиях щелочного электролиза. Подтвержденный ресурс анионообменной мембраны на основе кватернизованного полисульфона на данный момент составляет 50 ч. За это время ухудшения характеристик мембраны обнаружено не было, но ресурсные исследования далее не проводились.
С точки зрения устойчивости кватернизация полисульфона может оказать негативное влияние на устойчивость полисульфона. Деградация может происходить как по основной цепи полимера по эфирной группе и четвертичному атому углерода (рис. 7), так и по привитой группе четвертичного амина (рис. 8). Первый путь деградации будет приводить к разрушению диафрагмы, второй – к потере анионообменных свойств.
Рис. 7. Возможный механизм деградации основной цепи кватернизованного полисульфона
Рис. 8. Возможный механизм деградации ионогенных групп четвертичного амина: а – бимолекулярное нуклеофильное замещение (SN2); б – элиминирование по Гофману
На наш взгляд, дальнейшее развитие технологии анионообменных мембран целесообразно проводить по следующим направлениям: модифицирование полисульфонов путем удлинения алкильного радикала, связывающего бензольное кольцо полисульфона и ионогенную группу четвертичного аммония; двойная кватернизация; введение в состав полимера гидрофильных неионогенных групп, например незаряженных диаминов или полиэтиленгликолей. Введение дополнительных групп, повышающих гидрофильность, может позволить выстроить внутреннюю морфологию мембраны за счет формирования чередующихся гидрофильных/гидрофобных участков. Ионогенные группы оказываются на внутренней поверхности кластера (заполненного электролитом), при этом должно сокращаться расстояние переноса ионов, и основная цепь полимера оказывается более защищенной от нуклеофильных атак, поскольку сокращается площадь ее контакта с электролитом.
ЗАКЛЮЧЕНИЕ
В результате исследований синтезирован образец анионообменной мембраны на основе кватернизованного полисульфона. Мембрана показала работоспособность в условиях щелочного электролиза, что позволит в перспективе значительно повысить чистоту генерируемых газов. Первый образец характеризуется меньшей удельной электропроводностью по сравнению с пористой полимерной диафрагмой с гидрофильным наполнителем. Ресурсные испытания и поиск путей повышения удельной электропроводности и устойчивости в условиях щелочного электролиза планируется провести в ходе дальнейших исследований.
ФИНАНСИРОВАНИЕ РАБОТЫ
Работа выполнена при финансовой поддержке Министерства науки и высшего образования Российской Федерации в рамках Государственного задания № FSWF-2023-0014 (Соглашение № 075-03-2023-383 от 18 января 2023 г.) в сфере научной деятельности на 2023–2025 гг.
КОНФЛИКТ ИНТЕРЕСОВ
Авторы заявляют, что у них нет конфликта интересов.
About the authors
V. N. Kuleshov
Moscow Power Engineering Institute
Author for correspondence.
Email: ghanaman@rambler.ru
Russian Federation, Moscow
N. V. Kuleshov
Moscow Power Engineering Institute
Email: ghanaman@rambler.ru
Russian Federation, Moscow
S. V. Kurochkin
Moscow Power Engineering Institute
Email: ghanaman@rambler.ru
Russian Federation, Moscow
A. A. Gavrilyuk
Moscow Power Engineering Institute
Email: ghanaman@rambler.ru
Russian Federation, Moscow
M. A. Klimova
Moscow Power Engineering Institute
Email: ghanaman@rambler.ru
Russian Federation, Moscow
O. Yu. Grigorieva
Moscow Power Engineering Institute
Email: oksgrig@yandex.ru
Russian Federation, Moscow
References
- Кулешов, Н.В., Терентьев, А.А., Кулешов, В.Н. Способ изготовления мембраны для электролитического разложения воды. Пат. 2322460C1 (Россия). 2006. [Kuleshov, N.V., Terent’ev, A.A., and Kuleshov, V.N., Method for making membrane for electrolytic decomposition of water, Pat. 2322460C1 (Russia), 2006.]
- Bert, P., Ciardelli, F., Liuzzo, V., Pucci, A., Ragnoli, M., and Tampucci, A., Anionic-exchange Membranes and Polymeric Ionimers and Process for their Preparation, Pat. WO-2009007922-A3 (WIPO (PCT)), 2008.
- Kaczur, J.J., Yang, H., Liu, Z., Sajjad, S.D., and Masel, R.I., Carbon Dioxide and Water Electrolysis Using New Alkaline Stable Anion Membranes, Frontiers in Chemistry, 2018, vol. 6, p. 263.
- Liu, Z., Sajjad, S.D., Gao, Y., Yang, H., Kaczur, J.J., and Masel, R.I., The effect of membrane on an alkaline water electrolyzer, Intern. J. Hydrogen Energy, 2017, vol. 42, p. 29661.
- Marino, M.G. and Kreuer, K.D., Alkaline Stability of Quaternary Ammonium Cations for Alkaline Fuel Cell Membranes and Ionic Liquids., ChemSusChem, 2014, vol. 8, p. 513.
- Fan, J., Willdorf-Cohen, S., Schibli, E.M., Paula, Z., Li, W., Skalski, T.J.G., and Holdcroft, S., Poly(bis-arylimidazoliums) possessing high hydroxide ion exchange capacity and high alkaline stability, Nature Commun., 2019, vol. 10, p. 1.
- Hugar, K.M., You, W., & Coates, G.W., Protocol for the Quantitative Assessment of Organic Cation Stability for Polymer Electrolytes, ACS Energy Letters, 2019, vol. 4, p. 1681.
- Henkensmeier, D., Kim, H.-J., Lee, H.-J., Lee, D.H., Oh, I.-H., Hong, S.-A., and Lim, T.-H., Polybenzimidazolium-Based Solid Electrolytes, Macromol. Mater. and Engineering, 2011, vol. 296, p. 899.
- Hugar, K.M., You, W., & Coates, G.W., Protocol for the Quantitative Assessment of Organic Cation Stability for Polymer Electrolytes, ACS Energy Letters, 2019, vol. 4, p. 1681.
- Lin, B., Qiu, L., Lu, J., & Yan, F., Cross-Linked Alkaline Ionic Liquid-Based Polymer Electrolytes for Alkaline Fuel Cell Applications, Chem. Mater., 2010, vol. 22, p. 6718.
- Guo, M., Fang, J., Xu, H., Li, W., Lu, X., Lan, C., and Li, K., Synthesis and characterization of novel anion exchange membranes based on imidazolium-type ionic liquid for alkaline fuel cells, J. Membrane Sci., 2010, vol. 362, p. 97.
- Araya, S.S., Zhou, F., Liso, V., Sahlin, S.L., Vang, J.R., Thomas, S., and Kær, S.K., A comprehensive review of PBI-based high temperature PEM fuel cells, Intern. J. Hydrogen Energy, 2016, vol. 41, p. 21310.
- Peighambardoust, S.J., Rowshanzamir, S., and Amjadi, M., Review of the proton exchange membranes for fuel cell applications, Intern. J. Hydrogen Energy, 2010, vol. 35, p. 349.
- Price, S.C., Williams, K.S., and Beyer, F.L., Relationships between Structure and Alkaline Stability of Imidazolium Cations for Fuel Cell Membrane Applications, ACS Macro Letters, 2014, vol. 3, p. 160.
- Bauer, B., Strathmann, H., and Effenberger, F., Anion-exchange membranes with improved alkaline stability, Desalination, 1990, vol. 79, p. 125.
- Gu, S., Cai, R., Luo, T., Chen, Z., Sun, M., Liu, Y., Yan, Y., A Soluble and Highly Conductive Ionomer for High-Performance Hydroxide Exchange Membrane Fuel Cells, Angewandte Chem. Intern. Edition, 2009, vol. 48, p. 6499.
- Zhang, B., Gu, S., Wang, J., Liu, Y., Herring, A.M., and Yan, Y., Tertiary sulfonium as a cationic functional group for hydroxide exchange membranes, RSC Advances, 2012, vol. 2, p. 12683.
- Noonan, K.J.T., Hugar, K.M., Kostalik, H.A., Lobkovsky, E.B., Abruña, H.D., and Coates, G.W., Phosphonium-Functionalized Polyethylene: a New Class of Base-Stable Alkaline Anion Exchange Membranes, J. Amer. Chem. Soc., 2012, vol. 134, p. 18161.
- Zhang, B., Kaspar, R.B., Gu, S., Wang, J., Zhuang, Z., and Yan, Y., A New Alkali-Stable Phosphonium Cation Based on Fundamental Understanding of Degradation Mechanisms, ChemSusChem, 2016, vol. 9, p. 2374.
- Zha, Y., Disabb-Miller, M.L., Johnson, Z.D., Hickner, M.A., and Tew, G.N., Metal-Cation-Based Anion Exchange Membranes, J. Amer. Chem. Soc., 2012, vol. 134, p. 4493.
- Zhu, T., Sha, Y., Adabi Firouzjaie, H., Peng, X., Cha, Y., Dissanayake, D.M.M.M., Smith, M.D., Vannucci, A.K., Mustain, W.E., and Tang, C., Rational Synthesis of Metallo-Cations Toward Redox- and Alkaline-Stable Metallo-Polyelectrolytes, J. Amer. Chem. Soc., 2019, vol. 142, p. 1083.
- Chen, N., Zhu, H., Chu, Y., Li, R., Liu, Y., and Wang, F., Cobaltocenium-containing polybenzimidazole polymers for alkaline anion exchange membrane applications, Polymer Chem., 2017, vol. 8, p. 1381.
- Pan, J., Chen, C., Li, Y., Wang, L., Tan, L., Li, G., Tang, X., Xiao, L., Lu, J., and Zhuang, L., Constructing ionic highway in alkaline polymer electrolytes, Energy Environ. Sci., 2014, vol. 7, p. 354.
- He, S.S. and Frank, C.W., Facilitating hydroxide transport in anion exchange membranes via hydrophilic grafts, J. Mater. Chem. A, 2014, vol. 2, p. 16489.
- Tanaka, M., Fukasawa, K., Nishino, E., Yamaguchi, S., Yamada, K., Tanaka, H., and Watanabe, M., Anion Conductive Block Poly(arylene ether)s: Synthesis, Properties, and Application in Alkaline Fuel Cells, J. Amer. Chem. Soc., 2011, vol. 133, p. 10646.
- Lai, A.N., Guo, D., Lin, C.X., Zhang, Q.G., Zhu, A.M., Ye, M.L., and Liu, Q.L., Enhanced performance of anion exchange membranes via crosslinking of ion cluster regions for fuel cells, J. Power Sources, 2016, vol. 327, p. 56.
- Pan, J., Li, Y., Han, J., Li, G., Tan, L., Chen, C., and Zhuang, L., A strategy for disentangling the conductivity–stability dilemma in alkaline polymer electrolytes, Energy & Environmental Sci., 2013, vol. 6, p. 2912.
- Avram, E., Butuc, E., Luca, C., and Druta, I., Polymers with Pendant Functional Group. III. Polysulfones Containing Viologen Group, J. Macromol. Sci., Pt A, 1997, vol. 34, p. 1701.
- Кулешов, В.Н., Кулешов, Н.В., Курочкин, С.В., Григорьева, О.Ю. Синтез и исследование электродно-диафрагменных блоков для щелочного электролиза воды. Электрохимия. 2022. Т. 58. С. 253. [Kuleshov, V.N., Kuleshov, N.V., Kurochkin, S.V., and Grigor’eva, O.Yu., Synthesis and Investigation of Electrode–Diaphragm Assemblies for Alkaline Water Electrolysis, Russ. J. Electrochem., 2022, vol. 58, p. 464.]
- Кулешов, В.Н., Курочкин, С.В., Кулешов, Н.В., Гаврилюк, А.А., Пушкарева, И.В., Климова, М.А., Григорьева, О.Ю. Щелочной электролиз воды с анионообменными мембранами и катализаторами на основе никеля. Электрохимия. 2023. Т. 59. С. 735. [Kuleshov, V.N., Kurochkin, S.V., Kuleshov, N.V., Gavriluk, A.A., Pushkareva, I.V., Klimova, M.A., and Grigorieva O.Yu., Alkaline Water Electrolysis With Anion-Exchange Membranes And Different Types Of Electrodes, Russ. J. Electrochem., 2023, vol. 59, p. 915.]
- Кулешов, Н.В., Кулешов, В.Н., Довбыш, С.А., Курочкин, С.В., Удрис, Е.Я., Славнов, Ю.А. Полимерные диафрагмы на основе полисульфона для электрохимических устройств со щелочным электролитом. Журн. прикл. химии. 2018. Т. 91. С. 802. [Kuleshov, N.V., Kuleshov, V.N., Dovbysh, S.A., Kurochkin, S.V., Udris, E.Y., and Slavnov, Y.A., Polysulfone-Based Polymeric Diaphragms for Electrochemical Devices with Alkaline Electrolyte, Russ. J. Appl. Chem., 2018, vol. 91, p. 930.]
- Kuleshov, V.N., Kuleshov, N.V., Dovbysh, S.A., Kurochkin, S.V., and Slavnov, Yu.A., High-pressure alkaline water electrolyzer for renewable energy storage system, Proc. of 3rd Renewable Energies, Power Systems & Green Inclusive Economy (REPS-GIE), 2018. doi: 10.1109/REPSGIE.2018.8488805
Supplementary files










