Passage of diffusion-migration current across electrode/membrane/solution system. Part 1: short-time evolution. Binary electrolyte (equal mobilities)
- Authors: Vorotyntsev M.A.1, Zader P.А.1
-
Affiliations:
- Frumkin Institute of Physical Chemistry and Electrochemistry, Russian Academy of Sciences
- Issue: Vol 60, No 7 (2024)
- Pages: 497-511
- Section: Articles
- URL: https://journal-vniispk.ru/0424-8570/article/view/276842
- DOI: https://doi.org/10.31857/S0424857024070043
- EDN: https://elibrary.ru/PPWWIY
- ID: 276842
Cite item
Full Text
Abstract
Express-method proposed recently for experimental determination of diffusion coefficients of electroactive ions inside a membrane and their distribution coefficients at the membrane/solution boundary (Russ. J. Electrochem., 2022, 58, 1103) is based on comparison of measured non-stationary current for the electrode/membrane/electrolyte solution system after a potential step with theoretical expressions for the current-time dependence. Application of this method for the study of bromide-anion transport across the membrane was performed in the previous work under the condition of the permselectivity of the membrane where the amplitude of the electric field inside its space was suppressed owing to a high concentration of non-electroactive counterions. Then, the coion (bromide anion) transport corresponded to the diffusional mechanism, for which the solution was available in an analytical form. This study considers for the first time a non-stationary electrodiffusional transmembrane transport of two singly charged ions (e.g. background cation М+ as the counterion and electroactive anion X– as the coion) having identical values of their diffusion coefficients where the current passage induces a transient electric field in this spatial region, resulting in a deviation from predictions for the diffusional mechanism. It has been established that within the short time interval after a potential step from the equilibrium state of the membrane to the limiting current regime where the thickness of the non-stationary diffusion layer is significantly smaller than the thickness of the membrane, non-stationary distributions of the ion concentrations and of the electric field strength as a function of two variables (spatial and temporal ones, x and t) can be expressed via a function of one variable, Z(z), where z = x/(4Dt)1/2, the form of which, depending on the ratio of the surface concentration of component X to the fixed charge density inside the membrane (Xm/Cf ) has been found by numerical integration. The limiting current varies with time according to the Cottrell formula (I ~ t–1/2); dependence of the dimensionless current amplitude, i, on the ratio, Xm/Cf , has been found via numerical calculation; approximate analytical formula has also been proposed. In particular, it has been shown that the passing current is close to the diffusion–limited one for a low concentration of coions at the membrane/electrolyte solution boundary with respect to the concentration of immobile charged groups inside the membrane (Xm/Cf1), whereas the migrational contribution to the ionic fluxes doubles the limiting current if the opposite condition (Xm/Cf1) is fulfilled.
Full Text
ВВЕДЕНИЕ
В перезаряжаемых химических источниках тока типа проточных редокс-батарей, использующих электроактивный компонент в растворенном состоянии, важной проблемой является минимизация кроссовера, т.е. нежелательного переноса компонентов католита и анолита (кроме ионов, необходимых для прохождения тока через мембрану) в противоположную камеру устройства [1, 2]. Знание параметров кроссовера необходимо для моделирования как МЭБ [3–5], так и их стэков [6, 7]. Минимизация кроссовера достигается как за счет новых мембранных материалов [8–10], так и благодаря модификации мембран [11–13].
Для измерения параметров кроссовера – прежде всего, диффузионной проницаемости мембраны для ионного или нейтрального компонента – был разработан ряд методов [14–20], требующих специального громоздкого оборудования. Другим вариантом экспериментального изучения диффузионного транспорта того или иного компонента раствора сквозь тонкую пленку является осаждение ее на поверхность стационарного или вращающего дискового электрода из раствора [21–25].
Недавно нашей группой был разработан экспресс-метод измерения параметров транспорта электроактивного коиона через мембрану, при котором мембрана прижимается механически к гладкой поверхности электрода, а затем ее вторая поверхность приводится в контакт с раствором электролита, содержащим изучаемый электроактивный компонент [26, 27]. Для изучения характеристик электроактивного компонента внутри мембраны проводится хроноамперометрический эксперимент: в начальном состоянии потенциал электрода отвечает нулевому току; в определенный момент потенциал скачком изменялся до постоянного во времени достаточно положительного значения, чтобы через мембрану проходил нестационарный предельный ток, лимитируемый транспортом электроактивного компонента через мембрану.
В работах [26, 27] были проведены экспериментальные исследования транспорта бромид-аниона и молекул брома через перфторированную сульфокатионообменную мембрану в контакте с серией водных растворов HBr + H2SO4 с различными концентрациями HBr. Ввиду высокой концентрации протонов внутри мембраны по сравнению с концентрацией Br– трансмембранный перенос этого электроактивного компонента происходил под действием градиента его концентрации. Благодаря линейности нестационарного уравнения Фика, описывающего временную эволюцию этой концентрации, для этой характеристики имеются аналитические формулы как для коротких времен, где ток изменяется пропорционально t–1/2 (закон Коттрелла), так и для промежутка больших времен, где ток выходит на стационарный режим. Кроме того, в работе [27] были получены в аналитическом виде как точные решения, так и новые приближенные выражения для токовых и зарядовых характеристик. Их использование позволило установить величины как коэффициентов диффузии ионов Br– и молекул Br2 внутри мембраны, так и коэффициента распределения ионов Br– на границе мембрана/раствор.
Подобная ситуация, когда внутри мембраны доминирующим подвижным ионным компонентом является фоновый противоион (например, протон), концентрация которого намного превышает концентрацию электроактивного компонента, реализуется далеко не всегда. При нарушении этого условия, когда концентрации электроактивного коиона и фонового противоиона сопоставимы между собой, нельзя пренебрегать миграционным вкладом в потоки ионов, в частности для электроактивного компонента, так что необходимо описывать транспорт на основе электродиффузионных уравнений, когда движение ионов происходит под действием как градиента концентрации (диффузия), так и электрического поля, индуцированного ионным транспортом. В частности, такая проблема возникает – в общем случае – при контакте мембраны с раствором бинарного электролита (например, однозарядного: MX).
Необходимость включения в рассмотрение миграционные вклады в потоки всех ионов резко усложняет аналитическое решение транспортных уравнений из-за нелинейности соответствующего вклада в потоки, пропорционального произведению напряженности электрического поля на локальную концентрацию ионного компонента. Поэтому число систем, для которых при электродиффузионном транспорте удается получить решение в аналитической форме, весьма мало.
Литературные примеры таких решений относятся к ионному транспорту внутри раствора бинарного электролита (кроме того, в растворе могут находиться нейтральные компоненты в виде молекул, которые не влияют на распределение электрического поля). В частности, для сильных бинарных электролитов были получены аналоги решения Коттрелла для интервала коротких времен, когда толщина нестационарного диффузионного слоя все еще гораздо меньше толщины стационарного диффузионного слоя (регулируемого вынужденной или естественной конвекцией в растворе) [28, 29]. В то же время для ионного транспорта внутри ионообменных мембран в литературе имеются только численные решения, например в работе [30].
Целью данной работы было исследовать в аналитическом виде функциональное поведение нестационарных профилей тока, концентраций ионов и напряженности электрического поля внутри мембраны при хроноамперометрическом режиме для интервала коротких времен, если мембрана контактирует с раствором симметричного бинарного электролита МХ, ионы которого обладают одинаковыми по величине коэффициентами диффузии внутри мембраны. Решение такой задачи представляет непосредственный интерес для экспериментального исследования параметров кроссовера коиона в такой системе (рис. 1) с помощью метода, предложенного в работе [26] (стационарный ток через мембрану для такой системы тоже может быть выражен в аналитическом виде). Кроме того, такое аналитическое решение для нестационарного режима представляет большую ценность при численных расчетах как модельная задача для проверки корректности алгоритма вычислений [31].
Рис. 1. Схема системы электрод/мембрана/раствор бинарного электролита. Показаны профили концентраций фоновых противоионов М (М(1), М(2) и М(3)) и электроактивных коионов Х (Х(1), Х(2) и Х(3)) для трех моментов времени после скачка потенциала: 0 < t(1) < t(2) < t(3).
ТЕОРЕТИЧЕСКОЕ МОДЕЛИРОВАНИЕ
Конфигурация системы
В соответствии с экспериментальным устройством для измерения параметров кроссовера, где поперечный размер поверхности электрода намного превосходит толщину мембраны [26, 27], предполагается, что все характеристики ионной системы в ходе амперометрического процесса зависят от одной пространственной координаты х, направленной перпендикулярно обеим границам мембраны – с электродом при х = 0 и с раствором электролита при х = L, т.е. система однородна в любой плоскости, параллельной границам разделах сред.
Кроме того, все характеристики зависят от времени t, где за начало отсчета t = 0 принимается скачок потенциала. До скачка поддерживается “режим разомкнутой цепи”, при котором через цепь не проходит электрический ток, так что на электроде не происходит электрохимических превращений, в частности электроактивного компонента Х. В результате внутри мембраны ионная система находится в состоянии равновесия, при котором отсутствуют градиенты концентраций ионных компонентов М и Х, т.е. их концентрации Мm и Хm постоянны во всех точках внутри мембраны, тогда как напряженность электрического поля равна нулю: Е = 0 при 0 < x < L.
Ионный обмен на границе мембрана/раствор
Будет предполагаться, что концентрации ионов внутри раствора (при x > L) постоянны: Мs = Хs = МХs0 (где МХs0 – концентрация сильного электролита МХ в объеме растворе) – вплоть до ДЭС на границе мембрана/раствор. Известно, что такое приближение не выполняется во многих системах, где проводится ионный транспорт через мембрану, например при протекании ламинарного раствора электролита в канале параллельно поверхности мембраны, когда внутри раствора формируется диффузионный пограничный слой. Справедливость предположения об отсутствии перепада концентрации электролита внутри раствора в экспериментальной установке работ [26, 27], обусловленная интенсивным перемешиванием раствора внутри электрохимической ячейки, была доказана как независимостью измеряемого предельного стационарного тока от интенсивности перемешивания, так и отсутствием флуктуаций этого тока во времени, которые наблюдаются при реакции на поверхности электрода в отсутствие мембраны.
Будет также предполагаться, что из-за малой толщины ДЭС на этой границе будет происходить интенсивный обмен ионами обоих типов между поверхностными слоями обеих сред, так что поверхностные концентрации внутри мембраны Мm и Хm связаны с концентрациями внутри раствора Мs и Хs стандартными соотношениями равновесия, т.е. условиями равенства электрохимических потенциалов каждого компонента i (i = M или X) в двух средах: µi(s) в растворе и µi(m) в мембране. Если рассмотреть равновесие по процессу переноса электронейтральной пары катион М+ и анион Х– через эту границу, то в рамках модели идеально гомогенной мембраны, соответствующей теории Теорелла-Майера-Сиверса (без учета эффектов конденсации ионов по теории Доннана-Маннинга), получится соотношение, содержащее константу Доннана KМХ [32, 33] для распределения этой пары на границе мембрана/раствор KМХ:
Мm Хm = KМХ (МХs0)2 , (1)
RT ln KМХ = µ0 MХ(s) + RT ln γMХ(s) – µ0 M(m) –
– µ0 X(m) – RT ln (γM(m) γX(m)) , (2)
где µ0 MХ(s) = µ0 M(s) + µ0 X(s) и γMХ(s) = γM(s) γX(s) – термодинамические параметры электролита в растворе в целом, µi(α)0 и γi(α) – стандартные химические потенциалы (µ0) или коэффициенты активности (γ) катиона (i = М) или аниона (i = Х) в мембране (α = m) или в растворе (α = s).
Концентрации ионов в фазе мембраны Мm и Xm связаны условием электронейтральности:
Мm = Xm + Сf , (3)
где Cf – (удельная) обменная емкость мембраны, т.е. объемная концентрация заряженных групп внутри мембраны. Для конкретности рассматривается случай катионообменной мембраны, когда эти группы при ионизации заряжаются отрицательно. Предполагается, что все эти ионогенные группы мембраны находятся в заряженном состоянии, не могут перемещаться в пространстве и распределены равномерно по объему мембраны.
Комбинация уравнений (1) и (3) позволяет получить выражения для равновесных концентраций ионов М+ и Х– внутри мембраны (Мm и Xm):
Xm = – ½ Cf + [(½Cf)2 + KMX (МХs0)2]1/2,
Mm = ½ Cf + [(½Cf)2 + KMX (МХs0)2]1/2. (4)
Высокая селективная проницаемость (пермселективность) мембраны для противоионов, когда концентрация коионов Х внутри мембраны при равновесии с раствором много меньше концентрации противоионов М (Xm ≪ Мm ≅ Cf), имеет место при условии:
2 (KMX)1/2 МХs0 ≪ Cf . (5)
При выполнении противоположного неравенства:
Cf ≪ 2 (KMX)1/2 МХs0 (6)
обе концентрации внутри мембраны близки между собой и существенно превышают концентрацию заряженных групп: Xm ≅ Мm ≫ Cf .
Следует учитывать, что для мембран с малыми поперечными размерами пор (порядка 1 нм), в которых находится водный раствор с ионами М+ и Х– и которые окружены полимерной матрицей с низкой величиной диэлектрической постоянной, энергии сольватации ионов могут существенно понижаться по сравнению с величинами в объеме водного раствора, что делает вероятным очень малые (по сравнению с единицей) значения константы распределения Доннана KМХ: KМХ ≪ 1. Это означает возможность существенного расширения области высокой селективной проницаемости (пермселективности) мембраны для противоионов, в том числе на случай, когда концентрация электролита в водном растворе МХs0 сопоставима с концентрацией заряженных групп внутри мембраны Cf.
Далее будет предполагаться, что равновесные соотношения (4) для концентраций ионов внутри поверхностного слоя мембраны Xm и Мm остаются приближенно применимыми и при прохождении тока ввиду малой толщины межфазной области по сравнению с толщиной мембраны L, что означает сохранение равновесия по межфазному обмену ионами.
Уравнения ионного транспорта внутри мембраны и граничные/начальные условия
После сборки экспериментальной установки [26, 27] накладывается режим разомкнутой цепи, так что на границе электрод/мембрана (х = 0) не происходит электрохимических превращений, и ток равен нулю. В момент времени t = 0 накладывается скачок потенциала большой амплитуды, что приводит к прохождению предельного тока, при котором концентрация электроактивного компонента Х падает практически до нуля на границе мембрана/электрод (при х = 0):
X(0, t) = 0 при всех t > 0 . (7)
В то же время внутри противоположного поверхностного слоя мембраны у границы с водным раствором сохраняется равновесное значение Хm, задаваемое формулой (4):
X(L, t) = Xm при всех t > 0. (8)
Таким образом, возникает перепад концентраций ионного компонента Х поперек мембраны, что приводит к его диффузионному транспорту в сторону поверхности электрода. Однако во всех точках внутри мембраны должно выполняться условие локальной электронейтральности:
М(x,t) = X(x,t) + Сf при 0 < x < L , t > 0 . (9)
Поэтому внутри мембраны индуцируется электрическое поле Е(x,t), которое приводит как к перераспределению компонента М (который не реагирует на электроде) для выполнения условия (9), так и к дополнительному миграционному вкладу в поток ионов Х.
Нестационарные распределения концентраций обоих ионов и электрического поля описываются системой уравнений, включающих условие (9), уравнения непрерывности (законы сохранения компонента i) (10) и уравнения электродиффузионного транспорта в модели Нернста-Планка-Эйнштейна (11) [33, 34]:
∂Ci/∂t = –∂Ji/∂x , 10)
Ji = –Di ∂Ci/∂x + (zi F/RT)DiCiE , (11)
где Ci(x,t) – концентрация компонента i в точке х в момент времени t, Ji(x,t) – соответствующие потоки, которые включают диффузионный и миграционный вклады, зависящие от параметров данного компонента i: Di – коэффициент диффузии внутри мембраны, zi – зарядность (со знаком плюс или минус), F – постоянная Фарадея, R – газовая постоянная, Т – абсолютная температура, E(x,t) – локальное значение напряженности электрического поля.
В данной работе рассматривается случай сильного бинарного электролита МХ с зарядностями zM = 1, zX = –1 и одинаковыми коэффициентами диффузии компонентов DM = DX = D. Равенство коэффициентов диффузии представляет разумное приближение для многих пар неорганических ионов (кроме ионов Н3О+ и ОН– с их аномальной подвижностью), например катионов щелочных металлов и анионов малого размера (ионы галоидов, NO3 –, HSO4 – и др.), поскольку для них коэффициенты диффузии различаются сравнительно мало, а в окончательные формулы (как показано ниже) входит квадратный корень из этого параметра. Такое приближение резко упрощает теоретический анализ явлений ионного транспорта. Поэтому такой подход широко используется в качестве первого этапа теории – так, например, аналогичная проблема описания нестационарного предельного тока в интервале коротких времен в растворе бинарного электролита была решена сначала для одинаковых коэффициентов диффузии [28], а обобщение на случай различающихся коэффициентов диффузии было предложено позднее [29]. При использовании результатов данной работы для интерпретации данных для электролитов с различающимися коэффициентами диффузии ионных компонентов найденное значение коэффициента D представляет, очевидно, “эффективное среднее значение между реальными величинами DM и DХ”.
Тогда уравнения (10), (11) принимают вид:
∂X/∂t = –∂JX/∂x, JX = –D ∂X/∂x – D X FE/RT,(12)
∂M/∂t = –∂JM/∂x, JM = –D ∂M/∂x + D M FE/RT.(13)
Плотность тока I задается выражением:
I = F (JM – JX). (14)
Комбинация уравнений непрерывности (12) и (13) с производной по времени от уравнения локальной электронейтральности (9) показывает, что ∂I/∂x = 0, т.е. плотность тока одинакова во всех точках внутри мембраны в любой момент времени: I(t), тогда как плотности потоков обоих компонентов и напряженность электрического поля изменяются в пространстве.
Перечисленные ниже начальные и граничные условия были обоснованы выше: равенства (15) являются следствием условия сохранения равновесия по обмену ионов на границе мембрана/раствор при x = L; соотношения (16) обусловлены тем, что прохождение тока через границу электрод/мембрана происходит за счет разряда компонента Х (миграционный вклад в его поток на этой границе зануляется из-за условия (17)), тогда как поток противоионного компонента М при x = 0 равен нулю; равенство (17) представляет условие максимальности проходящего (нестационарного) тока, связанное с обращением в нуль концентрации компонента Х на этой границе при x = 0, тогда как равенства (18) отражают равновесное распределение концентраций М и Х внутри мембраны до скачка потенциала, т.е. отсутствие градиентов концентраций при t = 0:
M = Mm, X = Xm при x = L и любом t > 0, (15)
JM = 0, I(t)/F = – JX = D ∂X/∂x при x = 0 и любом t > 0 , (16)
X = 0 при x = 0 и любом t > 0 , (17)
M = Mm, X = Xm при t = 0 и любом 0 < x < L. (18)
Подстановка выражений для потоков (12) и (13) в формулу (14) для тока и учет равенства: ∂X/∂x = ∂М/∂x, следующего из уравнения (9), дают выражение для напряженности электрического поля как функций х и t:
FE(x,t)/RT = I(t) (F D)–1[2X(x,t) + Cf]–1. (19)
Его подстановка в соотношения (12) приводит к уравнению для распределения концентрации электроактивного компонента внутри мембраны X(x,t), в которое входит неизвестная заранее функция I(t), связанная соотношением (16) с производной ∂X/∂x при x = 0:
∂X/∂t = D ∂2X/∂x2 – –I(t)F–1 Cf [2X(x,t) + Cf]–2 ∂X/∂x. (20)
Решение для интервала коротких времен
В течение этого интервала времени нестационарный диффузионный слой, т.е. область внутри мембраны, где концентрация электроактивного компонента Х уже существенно уменьшилась относительно ее начального (равновесного) значения Xm, очень тонок по сравнению с толщиной мембраны L. В этом случае граничное значение в условиях (15) и (18) можно заменить тем же условием при очень больших значениях координаты х:
X = Xm при x → ∞ для любого t > 0, (21)
X = Xm при t = 0 и любом 0 < x < ∞ , (22)
а условия (16) и (17) для концентрации Х или потока JX сохраняются.
Отметим, что при нулевой концентрации фиксированных заряженных групп (Cf = 0) последнее слагаемое в уравнении (20) зануляется, и получается обычное нестационарное уравнение диффузии Фика. В то же время ввиду перехода условия электронейтральности в форму: М(x,t) = X(x,t) для всех значений обоих аргументов напряженность электрического поля по формуле (19) не зануляется, т.е. по-прежнему имеет место электродиффузионный транспорт. Такая задача, отвечающая амперометрическому отклику для раствора бинарного электролита МХ (с возможным присутствием электронейтральных компонентов, в том числе электроактивных), была решена в работе [28] для случая одинаковых величин коэффициентов диффузии компонентов М и Х, тогда как в работе [29] был рассмотрен более общий случай различных величин DМ и DХ.
При ионном транспорте внутри мембраны величина Cf отлична от нуля, так что последний член в уравнении (20) отличен от нуля, причем он содержит – помимо производной ∂X/∂x – сомножитель, зависящий от неизвестной функции X(x,t), а также от неизвестной функции I(t). Поэтому уравнение (20) является нелинейным, так что – в отличие от проблемы для раствора электролита – нельзя использовать стандартные методы решения уравнений в частных производных, в частности метод преобразования Лапласа.
Подход к решению проблемы электродиффузионного транспорта в системе с двумя подвижными ионами при наличии однородной плотности неподвижного заряда и постоянных значениях концентраций на границе (условия (17), (21) и (22)) был предложен в работах [35, 36], где было строго доказано, что существует – притом единственное – решение в виде функции одной переменной вида x/t1/2. Нахождение этой функции было произведено [37] для случая, когда оба подвижных иона представляют компоненты редокс-пары, т.е. превращаются друг в друга обратимо на поверхности электрода. Присутствие каких-либо индифферентных ионов, которые не участвуют в электродном процессе, не допускается. Указанная функция одной переменной была затем найдена численным методом, основанным на итерационной процедуре (Sinc method).
Следует отметить, что для мембраны, находящейся в контакте с раствором электролита, система, рассмотренная в работах [35–37], по-существу мало реальна, поскольку предполагает, что внутри мембраны имеются два подвижных иона с зарядами одного знака (помимо неподвижного заряда противоположного знака), тогда как внутри раствора обязательно должен быть противоион с зарядом другого знака, который при этом не должен проникать внутрь мембраны. В реальных системах с двумя подвижными ионами, как правило, внутри раствора имеется бинарный электролит, оба компонента которого (катион и анион!) проникают внутрь мембраны. Именно такая система анализируется в данной работе.
Для решения уравнения в частных производных (20) используем тот же метод (similarity substitution [37]) перехода к неизвестной безразмерной функции одной переменной, представляющей коттрелловскую комбинацию переменных х и t, а именно:
X(x,t) = Cf Z(z), где z = x/(4Dt)1/2. (23)
Тогда при х = 0 имеем ∂X/∂x = Cf (4Dt)1/2 dZ/dz при z = 0, так что формула (16) дает в явном виде зависимость нестационарного предельного тока от времени, которая имеет вид закона Коттрелла, где безразмерный параметр i, не зависящий от времени, характеризует интенсивность тока I(t):
I(t) = FCf (D/4t)1/2 i, где i = dZ/dz при z = 0. (24)
Формула (23) превращает уравнение (20) в обыкновенное дифференциальное уравнение относительно функции Z(z), содержащее безразмерный параметр i:
d2Z/dz2 + [i (2Z + 1)–2 + 2z] dZ/dz = 0 . (25)
Условия (17), (21) и (22) принимают вид:
Z = 0, dZ/dz = i при z = 0 , (26)
Z = Xm/Cf при z → ∞ . (27)
Решение уравнения второго порядка (25) удовлетворяет всем трем условиям (26) и (27) для заданной величины безразмерной концентрации Xm/Cf только при определенной величине безразмерного тока i, и наоборот, для заданной величины параметра i существует предел Z(z) при больших значениях аргумента, равный Z(∞) = Xm/Cf . В частности, нулевому значению концентрации на границе мембрана/раствор (Xm = 0) отвечает нулевой ток: i = 0.
С практической точки зрения удобно задаваться серией положительных значений параметра i, и для каждого из них решать задачу Коши (Cauchy), т.е. проводить интегрирование уравнения (25) с двумя условиями (26) на одной границе – по заданным значениям функции Z и ее производной при z = 0, находя в результате значение Z(∞) = Xm/Cf . Эта операция была произведена в Mathсad с помощью стандартной функции Odesolve для решения обыкновенных дифференциальных уравнений.
При заданном значении параметра i найденная зависимость Z(z) позволяет построить набор распределений концентрации X(x,t) при различных значениях времени t = t1, t = t2...
Распределение напряженности электрического поля дается формулой (19), которую можно переписать в виде:
FE(x,t)/RT = (4Dt)–1/2 i [2Z(z) + 1]–1 . (28)
В частности, напряженность поля внутри мембраны у ее границы с электродом:
FE(0,t)/RT = I(t)(FDCf)–1 = (4Dt)–1/2 i
пропорциональна предельному току I(t), т.е. спадает во времени по закону Коттрелла (как t –1/2), а ее амплитуда пропорциональна безразмерному параметру – амплитуде тока i.
РЕЗУЛЬТАТЫ И ОБСУЖДЕНИЕ
Рисунок 2а иллюстрирует зависимости концентрации Х от пространственной координаты х в любой момент времени t в безразмерных переменных, т.е. в виде Z = X/Cf от z = x/(4Dt)1/2 для набора значений безразмерного тока i. При увеличении параметра i (т.е. предельного тока) от очень малых значений (например, 0.01) до сравнительно больших (например, 100) наблюдается монотонное увеличение концентрации электроактивного компонента Z при всех значениях координаты z, в частности ее верхнего предела Z(∞) = Xm/Cf . Это означает, что при фиксированной плотности фиксированных зарядов Cf увеличение граничной концентрации Xm приводит к росту как предельного тока I (в тот же момент времени), так и концентрации Х во всех точках внутри мембраны.
Рис. 2. (а) Зависимость безразмерной концентрации электроактивного компонента Х, равной Z = X/Cf, от безразмерной комбинации пространственной (х) и временной (t) переменных: z = x/(4Dt)1/2, формулы (23), для набора значений безразмерной амплитуды нестационарного тока i, определенного формулой (24). (б) Зависимость нормированной концентрации компонента Х: Z/Z(∞) от координаты z для набора значений параметра i. (в) Зависимость отношения безразмерной концентрации компонента Х к безразмерной амплитуде нестационарного тока i(Z/i) от координаты z для набора значений параметра i. Значения параметра i указаны в таблице на каждом рисунке.
Другой результат на основе рис. 2а менее очевиден: во всем (очень широком) рассмотренном интервале значений параметра i форма кривой Z(z) остается практически постоянной: после линейного роста при малых значениях координаты z (много меньше 1) наклон начинает быстро спадать – с очень резким выходом на плато уже при значении координаты z, близком к 2.
Для проверки степени близости форм при различных значениях параметра i, а следовательно, и параметра Xm/Cf на рис. 2б построены графики зависимостей нормированных распределений концентрации Z/Z(∞) от z для того же набора значений i, как на рис. 2а. Наблюдается явная близость всего набора кривых: наибольшее различие между кривыми при одном и том же значении координаты z (при значении z около 0.5–0.6) не превышает 0.06, тогда как амплитуда изменения величины Z/Z(∞) в полном интервале значений координаты z равна 1.
Иная картина наблюдается при нормировке распределений концентрации с использованием параметра i, т.е. графиков зависимостей Z/i от z (рис. 2в). В этом случае из граничного условия (26) следует, что при малых значениях координаты z функция Z/i изменяется как z, т.е. одинаково при всех значениях параметра i. Однако при малых значениях i это линейное изменение Z от z растягивается до значений z порядка 0.5, тогда как при больших значениях параметра i график очень быстро начинает отходить от линейной зависимости. В результате при малых значениях i эти графики выходят при больших значениях координаты z на величины, близкие к ½ π1/2 ≅ 0.89, тогда при больших значениях i график приближается к значениям около 0.45.
На рис. 3а показана зависимость безразмерного тока i от безразмерной поверхностной концентрации у границы мембрана/раствор Xm/Cf в билогарифмических координатах.
Как видно на рис. 3а, точки при очень малых значениях отношения Xm ∞/Cf лежат вблизи прямой: i ≅ 1.13 Xm/Cf. Такой результат является ожидаемым, так как при условии Xm ≪ Cf ≅ Мm концентрация противоиона М близка к концентрации фиксированных зарядов при всех значениях координаты х внутри мембраны, т.е. существенно превосходит локальную концентрацию электроактивного компонента Х, что приводит к резкому ослаблению напряженности электрического поля (пропорционально отношению Xm к Cf), т.е. к чисто диффузионному транспорту компонента Х, для которого должно выполняться равенство: i = 2π–1/2Z(∞) ≅ 1.13Xm/Cf.
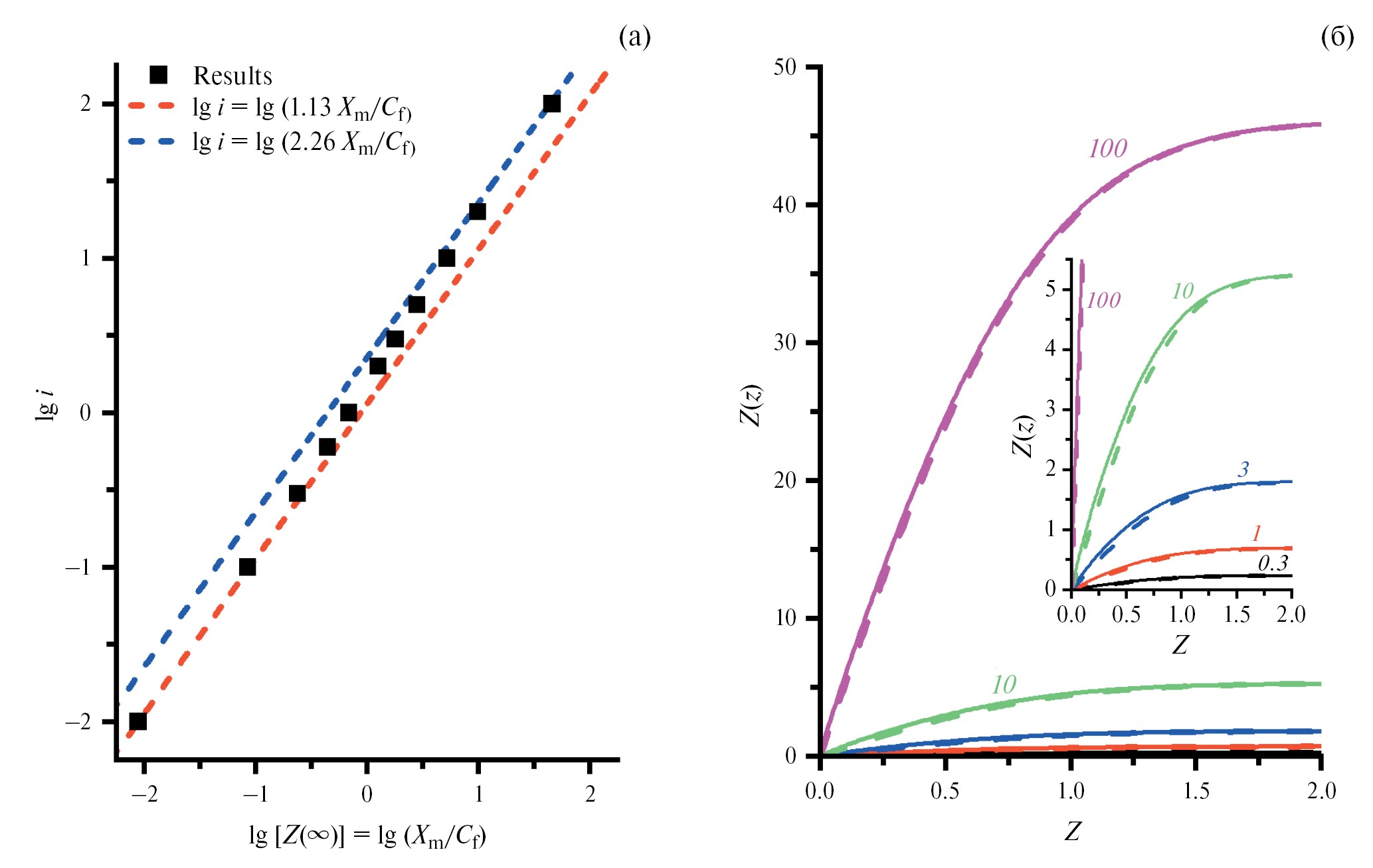
Рис. 3. (а) Зависимость безразмерной амплитуды нестационарного тока i от безразмерной поверхностной концентрации компонента Х у границы мембрана/раствор Xm/Cf в билогарифмических (десятичных) координатах; пунктирные прямые линии отвечают формулам i = 2π–1/2Xm/Cf ≅ 1.13Xm/Cf (красная) и i = 4π–1/2Xm/Cf ≅ 2.26Xm/Cf (синяя). (б) Сравнение точного решения Z(z) (см. подпись к рис. 2а; сплошные линии) с его приближенной формулой (30) (пунктирные линии) для набора значений параметра i: 0.3 (черные), 1 (красные), 3 (синие), 10 (зеленые) и 100 (маджента), которые указаны около графиков.
Увеличение поверхностной концентрации Xm приводит к отклонению точек на рис. 3а вверх от указанной выше линейной зависимости i = 2π–1/2Z(∞) ≅ 1.13Xm/Cf. При больших значениях отношения Xm/Cf происходит приближение к другой линейной зависимости: i = 4π–1/2Z(∞) ≅ 2.26Xm/Cf . В этом случае поверхностные концентрации Xm и Мm близки между собой и существенно больше, чем Cf (Xm ≅ Мm ≫ Cf). Поэтому в основной части мембраны (за исключением слоя около границы мембрана/электрод) система ведет себя как раствор бинарного электролита, в котором миграционный вклад в поток электроактивного компонента равен диффузионному вкладу, что зануляет поток неэлектроактивного противоиона М на границе мембрана/электрод, но удваивает предельный ток за счет увеличения потока компонента Х.
На рис. 3б дается сравнение графиков функции Z(z) (см. рис. 2а) и ее приближенного выражения Zappr(z), даваемого формулой (29):
Zappr(z) ≅ (Xm/Cf ) Erf(z), (29)
где Erf(z) является нормированным решением (см. рис. 2б) при чисто диффузионном транспорте:
(30)
при значениях параметра i от 0.3 до 100.
Рисунок 3б показывает, что приближенная формула (29) для Zappr(z) неплохо симулирует поведение найденной численно функции Z(z) во всей пространственной области для указанных значений параметра i в области средних и больших значений аргумента z. Отклонение приближенной функции Zappr(z) от точной Z(z) по методу наименьших квадратов, нормированное на длину отрезка интегрирования (от х = 0 до х = 2) и на амплитуду изменения обеих функций на всем интервале их изменения, равную Z(∞), т.е.
(31)
проходит через максимум порядка 0.04 при значениях параметра i около 3. Выбор отрезка [0; 2] в формуле (31) обусловлен тем, что подынтегральная функция в формулу (31) наиболее велика именно внутри этого интервала, тогда как при х > 2 сравниваемые функции очень близки к 1, так что увеличение верхнего предела интегрирования по сравнению с 2 приводит к монотонному уменьшению нормированного отклонения Δ(Z, Zappr).
Малость величины Δ(Z, Zappr) по сравнению с 1 означает, что ненормированная (без множителя Z(∞) в знаменателе формулы (31)) амплитуда отклонения приближенного выражения Zappr(z) от точного Z(z) много меньше Z(∞) = Xm/Cf , т.е. амплитуды изменения каждой из этих функций на интервале z от 0 до бесконечности.
Таким образом, приближенная формула (29) для распределения безразмерной концентрации компонента Х справедлива в широкой области значений координаты z и параметров системы. Только в тонком слое около границы мембрана/электрод (z ≪ 1) отношение Z(z)/Zappr(z) существенно отклоняется вверх, особенно сильно при больших значениях величины Z(∞) = Xm/Cf .
Рисунки 4а и 4б иллюстрируют эволюцию зависимости безразмерной концентрации компонента Х (рис. 4а) или напряженности электрического поля Е (рис. 4б) от пространственной переменной х в различные моменты времени для двух значений параметра i. Как и в случае чисто диффузионного переноса, нестационарный диффузионный слой на рис. 4а расширяется, как t1/2 при неизменной форме распределения концентрации как функции х. Напротив, на рис. 4б для распределения электрического поля с ростом времени происходит не только расширение диффузионного слоя, т.е. области около границы мембрана/электрод, внутри которой интенсивность поля существенно возрастает по сравнению с ее величиной в объеме мембраны, но и изменение величины поля в объеме мембраны в зависимости от времени (ее монотонное убывание как t–1/2).
Рис. 4. (а) Зависимость нормированной концентрации компонента Х (Z = X/Cf ) от пространственной координаты х для трех значений времени после скачка потенциала t: 1 с (черные линии), 4 с (красные линии) и 9 с (синие линии) при величине параметра i, равной 0.3 или 3 (указана около каждой линии). (б) Зависимость напряженности электрического поля Е в координатах FE/RT от пространственной координаты х, формула (28), для тех же значений времени после скачка потенциала t и величин параметра i, см. рис. 4а. (в) Зависимость предельного тока I(t) в координатах: I(t)/(F D Cf) = i/(4D t)1/2, формула (24), от времени t для трех значений параметра i: 0.3, 1 или 3 (указано около каждой линии).
Что касается нестационарного предельного тока (рис. 4в), то он убывает по закону Коттрелла (24), т.е. пропорционально t–1/2, тогда как его амплитуда (при фиксированном времени t) определяется параметром i, т.е. отношением Xm/Cf.
Для практического использования результатов данной работы с целью определения параметров транспорта электроактивных ионов внутри мембраны на основе экспериментальных данных по методу работ [26, 27] желательно располагать соотношением между проходящим током I(t) в интервале малых времен, т.е. его амплитудой i в формуле (24), и поверхностной концентрацией этого компонента Xm в виде аналитической формулы. Так как отношение этих величин i/Xm изменяется в очень широких пределах, приближенную формулу проще подбирать, например, для величины i/[2π–1/2Z(∞)] как функции Z(∞) = Xm/Cf . Согласно данным рис. 3а, эта функция монотонно возрастает от 1 до 2, причем растет линейно при малых значениях Z(∞) (точки на рис. 5а).
Рис. 5. Сравнение зависимостей: (а) отношения безразмерной амплитуды тока i к безразмерной поверхностной концентрации Z(∞) = Xm/Cf , т.е. i/[2π–1/2Z(∞)]; (б) безразмерной амплитуды тока i от Z(∞) = Xm/Cf , рассчитанной численно (черные точки; по данным на рис. 3а) или по приближенной формуле (32) (рис. 5а) или (33) (рис. 5б), где параметры кривых a и b указаны в таблице на рисунке. Пунктирные прямые линии на рис. 5б отвечают формулам i = 2π–1/2Xm/Cf ≅ 1.13Xm/Cf (синяя) и i = 4π–1/2Xm/Cf ≅ 2.26 Xm/Cf (зеленая).
Очень хорошие результаты для симуляции этой численной зависимости (максимальное отклонение между значениями функций: ±0.006; нормированное на число точек отклонение согласно методу наименьших квадратов (RSS/N) равно 1.2 × 10–5) дает простая формула:
i/[2π–1/2Z(∞)] ≅ 1 + Z(∞)/{a + [Z(∞)]b}(1/b) при а = 1.3, b = 0.8, (32)
которая соответствует красной пунктирной линии на рис. 5а.
Минимизация этого отклонения для приближенной функции вида (32) с произвольными значениями параметров a и b c использованием сочетания методов покоординатного спуска и золотого сечения в Mathcad дало а = 1.259, b = 0.785 при величине RSS/N, равной 6.7 × 10–6 (синяя линия на рис. 5а), т.е. точность улучшилась незначительно.
На рис. 5б дается сопоставление зависимостей амплитуды тока i от безразмерной поверхностной концентрации Z(∞) = Xm/Cf , полученной численными расчетами (данные рис. 3а; точки на рис. 5б) или по формуле (33), следующей из формулы (32) (красная линия):
i ≅ 2π–1/2{Z(∞) + [Z(∞)]2 / {a + [Z(∞)]b}(1/b) } при а = 1.3, b = 0.8 (33)
c очень малой величиной отклонения между ними: RSS/N = 1.1 × 10–9.
ЗАКЛЮЧЕНИЕ
В работе проанализирована временная эволюция распределения концентраций ионов внутри мембраны и проходящего предельного тока в системе электрод/мембрана/раствор симметричного бинарного однозарядного электролита МХ с одинаковыми коэффициентами диффузии внутри мембраны после скачка потенциала из равновесного состояния (с нулевым током) в режим предельного тока, лимитируемого транспортом компонента Х через мембрану к поверхности электрода.
Для интервала достаточно коротких времен, когда толщина нестационарного диффузионного слоя намного меньше, чем толщина мембраны, показано, что распределение концентраций ионных компонентов внутри мембраны выражается через безразмерную функцию Z(z) одной переменной z: X(x,t) = CfZ(z), M(x,t) = Cf[1 + Z(z)], где z представляет собой коттрелловскую комбинацию пространственной (х) и временной (t) координат: z = x/(4Dt)1/2, где D – коэффициент диффузии компонентов М и Х внутри мембраны.
Функция Z(z) изменяется от 0 на границе мембрана/электрод (z = 0) до своего значения у границы мембрана/раствор Xm/Cf (рис. 2а), причем форма этой зависимости в основном интервале значений переменной z близка к решению для чисто диффузионного переноса. Это позволило предложить приближенную аналитическую формулу (30) для расчета Z(z), т.е. профилей концентраций компонентов Х и М при любых значениях пространственной и временной координат, а также поверхностной концентрации Xm и концентрации неподвижных заряженных групп внутри мембраны Cf (рис. 3б).
При любом значении отношения Xm/Cf поверхностной концентрации компонента Х и концентрации неподвижных групп мембраны предельный ток I(t) изменяется во времени как t –1/2 (рис. 4б), тогда как его безразмерная амплитуда i определяется безразмерным отношением Xm/Cf (рис. 3а), причем при его малой величине эти параметры даются формулой: i ≅ 2π–1/2Xm/Cf (чисто диффузионный режим), тогда как при его большой величине амплитуда тока становится вдвое больше: i ≅ 4π–1/2Xm/Cf (режим электродиффузионного транспорта в растворе симметричного бинарного электролита).
Предложена приближенная аналитическая формула (33) для зависимости безразмерной амплитуды тока i от безразмерной поверхностной концентрации электроактивного компонента Х в мембране Z(∞) = Xm/Cf , которая с высокой точностью воспроизводит (рис. 5б) эту зависимость, найденную численными расчетами (рис. 3а и 5б).
ФИНАНСИРОВАНИЕ РАБОТЫ
Работа выполнена при финансовой поддержке Российского научного фонда (РНФ): грант № 23-13-00428.
КОНФЛИКТ ИНТЕРЕСОВ
Авторы заявляют, что у них нет конфликта интересов.
About the authors
M. A. Vorotyntsev
Frumkin Institute of Physical Chemistry and Electrochemistry, Russian Academy of Sciences
Author for correspondence.
Email: mivo2010@yandex.com
Russian Federation, Moscow
P. А. Zader
Frumkin Institute of Physical Chemistry and Electrochemistry, Russian Academy of Sciences
Email: mivo2010@yandex.com
Russian Federation, Moscow
References
- Perry, M.L., Saraidaridis, J.D., and Darling, R.M., Crossover mitigation strategies for redox–flow batteries, Current Opinion in Electrochem., 2020, vol. 21, p. 311.
- Saadi, K., Nanikashvili, P., Tatus–Portnoy, Z., Hardisty, S., Shokhen, V., Zysler, M., and Zitoun, D., Crossover–tolerant coated platinum catalysts in hydrogen/bromine redox flow battery, J. Power Sources, 2019, vol. 422, p. 84.
- Darling, R.M., Weber, A.Z., Tucker, M. C., and Perry, M.L., The influence of electric field on crossover in redox–flow batteries, J. Electrochem. Soc., 2015, vol. 163, no. 1, p. A5014.
- Oh, K., Weber, A.Z., and Ju, H., Study of bromine species crossover in H2/Br2 redox flow batteries, Intern. J. Hydrogen Energy, 2017, vol. 42, no. 6, p. 3753.
- Shi, Y., Wei, Z., Liu, H., and Zhao, J., Dynamic modeling of long–term operations of vanadium/air redox flow battery with different membranes, J. Energy Storage, 2022, vol. 50, p. 104171.
- Barton, J.L. and Brushett, F.R., A one-dimensional stack model for redox flow battery analysis and operation, Batteries, 2019, vol. 5, no. 1, p. 25.
- Cho, K.T., Albertus, P., Battaglia, V., Kojic, A., Srinivasan, V., and Weber, A.Z., Optimization and analysis of high‐power hydrogen/bromine‐flow batteries for grid‐scale energy storage, Energy Technology, 2013, vol, 1, no. 10, p. 596.
- Maurya, S., Shin, S.H., Lee, J.Y., Kim, Y., and Moon, S.H., Amphoteric nanoporous polybenzimidazole membrane with extremely low crossover for a vanadium redox flow battery, RSC advances, 2016, vol. 6, no. 7, p. 5198.
- Peng, S., Zhang, L., Zhang, C., Ding, Y., Guo, X., He, G., and Yu, G., Gradient‐Distributed Metal–Organic Framework–Based Porous Membranes for Nonaqueous Redox Flow Batteries, Advanced Energy Mater., 2018, vol. 8, no. 33, p. 1802533.
- Gvozdik, N.A., Sanginov, E.A., Abunaeva, L.Z., Konev, D.V., Usenko, A.A., Novikova, K.S., Stevenson, K.J., and Dobrovolsky, Y. A., A Composite Membrane Based on Sulfonated Polystyrene Implanted in a Stretched PTFE Film for Vanadium Flow Batteries, ChemPlusChem, 2020, vol. 85, no. 12, p. 2580.
- Leung, P.K., Xu, Q., Zhao, T.S., Zeng, L., and Zhang, C., Preparation of silica nanocomposite anion–exchange membranes with low vanadium–ion crossover for vanadium redox flow batteries, Electrochim. Acta, 2013, vol. 105, p. 584.
- Bukola, S., Li, Z., Zack, J., Antunes, C., Korzeniewski, C., Teeter, G., & Pivovar, B., Single–layer graphene as a highly selective barrier for vanadium crossover with high proton selectivity, J. Energy Chem., 2021, vol. 59, p. 419.
- Huang, S.L., Yu, H.F., and Lin, Y.S., Modification of Nafion® membrane via a sol–gel route for vanadium redox flow energy storage battery applications, J. Chem., 2017, vol. 2017, p. 1.
- Will, F.G., Bromine Diffusion Through Nafion® Perfluorinated Ion Exchange Membranes, J. Electrochem. Soc., 1979, vol. 126, no. 1, p. 36.
- Park, J.W., Wycisk, R., and Pintauro, P.N., Nafion/PVDF nanofiber composite membranes for regenerative hydrogen/bromine fuel cells, J. Membrane Sci., 2015, vol. 490, p. 103.
- Heintz, A. and Illenberger, C., Diffusion coefficients of Br2 in cation exchange membranes, J. Membrane Sci., 1996, vol. 113, no. 2, p. 175.
- Yeo, R. and McBreen, J., Transport properties of Nafion membranes in electrochemically regenerative hydrogen/halogen cells, J. Electrochem. Soc., 1979, vol. 126, p. 1682.
- Baldwin, R.S., Electrochemical performance and transport properties of a Nafion membrane in a hydrogen-bromine cell environment, NASA TM (NAS 1.15:89862), 1987, vol. 89862, p. 1.
- Kimble, M. and White, R., Estimation of the diffusion coefficient and solubility for a gas diffusing through a membrane, J. Electrochem. Soc., 1990, vol. 137, p. 2510.
- Haug, A.T. and White, R.E., Oxygen diffusion coefficient and solubility in a new proton exchange membrane, J. Electrochem. Soc., 2000, vol. 147, p. 980.
- White, H.S., Leddy, J., and Bard, A.J., Polymer films on electrodes. 8. Investigation of charge–transport mechanisms in Nafion polymer modified electrodes, J. Am. Chem. Soc., 1982, vol. 104, p. 4811.
- Mello, R.M.Q. and Ticianelli, E.A., Kinetic study of the hydrogen oxidation reaction on platinum and Nafion ® covered platinum electrodes, Electrochim. Acta, 1997, vol. 42, no. 6, p. 1031.
- Ayad, A., Naimi, Y., Bouet, J., and Fauvarque, J.F., Oxygen reduction on platinum electrode coated with Nafion®, J. Power Source, 2004, vol. 130, p. 50.
- Brunetti, B., Desimoni, E., and Casati, P., Determination of Caffeine at a Nafion‐Covered Glassy Carbon Electrode, Electroanalysis, 2007, vol. 19, no. 2–3, p. 385.
- Sadok, I., Tyszczuk–Rotko, K., and Nosal–Wierci´nska, A., Bismuth particles Nafion covered boron–doped diamond electrode for simultaneous and individual voltammetric assays of paracetamol and caffeine, Sensors & Actuators, B: Chem., 2016, vol. 235, p. 263.
- Конев, Д.В., Истакова, О.И., Карташова, Н.В., Абунаева, Л.З., Пырков, П.В., Локтионов, П.А., Воротынцев, М.А. Электрохимическое измерение коэффициента диффузии коиона через ионообменную мембрану. Электрохимия. 2022. Т. 58. С. 870. [Konev, D.V., Istakova, O.I., Kartashova, N.V., Abunaeva, L.Z., Pyrkov, P.V., Loktionov, P.A., and Vorotyntsev, M.A., Electrochemical Measurement of Co–Ion Diffusion Coefficient in Ion–Exchange Membranes, Russ. J. Electrochem., 2022, vol. 58, p. 1103.]
- Konev, D.V., Istakova, O.I., and Vorotyntsev, M.A., Electrochemical measurement of interfacial distribution and diffusion coefficients of electroactive species for ion–exchange membranes, Membranes, 2022, vol. 12, no. 11, p. 1041.
- Myland, J.C. and Oldham, K.B., Limiting currents in potentiostatic voltammetry without supporting electrolyte, Electrochem. Commun., 1999, vol. 1, no. 10, p. 467.
- Bieniasz, L.K., Analytical formulae for chronoamperometry of a charge neutralisation process under conditions of linear migration and diffusion, Electrochem. Commun., 2002, vol. 4, p. 917.
- Lange, R. and Doblhofer, K., The transient response of electrodes coated with membrane–type polymer films under conditions of diffusion and migration of the redox ions, J. Electroanal. Chem. and Interfacial Electrochem., 1987, vol. 237, p. 13.
- Britz, D., Digital Simulation in Electrochemistry, Berlin: Springer, 1988. 338 p.
- Helfferich, F.G., Ion Exchange, New York: Dover Publications, Inc., 1995. 624 p.
- Заболоцкий, В.И., Никоненко, В.В. Перенос ионов в мембранах, М.: Наука, 1996. 392 с. [Zabolotsky, V.I. and Nikonenko, V.V., Ion Transfer in Membranes (in Russian), Moscow: Nauka, 1996. 392 p.]
- Newman, J.S., Electrochemical Systems, London – Englewood Cliffs: Prentice–Hall, Inc., 1973. 432 p.
- Pfabe, K.A., A problem in nonlinear ion transport, Lincoln: University of Nebraska, PhD Thesis, 1995. 125 p.
- Cohn, S., Pfabe, K., Redepenning, J., A similarity solution to a problem in nonlinear ion transport with a nonlocal condition, Math. Mod. Meth. Appl. Sci., 1999, vol. 9, p. 445.
- Pfabe, K. and Shores, T.S., Numerical methods for an ion transport problem, Appl. Numer. Math., 2000, vol. 32, p. 175.
Supplementary files







