Единичная ячейка водородно-ванадиевого проточного источника тока с высокой удельной мощностью разряда
- Авторы: Истакова О.И.1, Конев Д.В.1,2, Толстель Д.О.3, Рубан Е.А.1,2, Красикова М.С.1, Воротынцев М.А.2
-
Учреждения:
- Федеральный исследовательский центр проблем химической физики и медицинской химии РАН
- Институт физической химии и электрохимии им. А. Н. Фрумкина РАН
- Московский государственный университет имени М. В. Ломоносова
- Выпуск: Том 60, № 9 (2024)
- Страницы: 611-626
- Раздел: Статьи
- URL: https://journal-vniispk.ru/0424-8570/article/view/280388
- DOI: https://doi.org/10.31857/S0424857024090033
- EDN: https://elibrary.ru/OIAMAA
- ID: 280388
Цитировать
Полный текст
Аннотация
В работе исследован проточный химический источник тока, мембранно-электродный блок которого представляет собой гибрид газодиффузионного анода водородно-воздушного топливного элемента (ТЭ) и катода ванадиевой проточной редокс-батареи (ВПРБ), работающего за счет циркуляции сернокислого раствора солей ванадия в степени окисления +4 и +5 через пористый углеродный материал:
(Pt–C)H2|Nafion|VO2+(С). Концепция одородно-ванадиевой проточной батареи (ВВПБ) была предложена ранее (2013 г.) в качестве альтернативы ВПРБ для решения задач накопления/воспроизводства электроэнергии в накопителях большой емкости, однако ее практическая реализация до настоящего времени ограничена единичными ячейками с активной площадью не более нескольких десятков см2. Целью настоящей работы являлись выявление и минимизация факторов, ограничивающих удельную мощность разряда такого гибрида – по этому показателю ВВПБ уступают как водородно-воздушным ТЭ, так и ВПРБ, несмотря на сочетание их более обратимых полуэлементов. Объектом исследования выступала ячейка с мембранно-электродным блоком 2см × 2см, оснащенная капилляром Луггина со стороны ванадиевого электролита. С использованием шестиэлектродной схемы подключения ячейки выполнены измерения вольт-амперных характеристик, включая поляризации отдельных полуэлементов при варьировании скорости циркуляции ванадиевого электролита и материала катода (углеродные войлоки толщиной 4.6 и 2.5 мм, а также углеродная бумага). Установлено, что вклад водородного газодиффузионного электрода в полное сопротивление ячейки ВВПБ постоянному току вдвое превышает таковой для проточного ванадиевого катода. В работе получена рекордно высокая удельная мощность разряда: 0.75 Вт см–2, при этом в качестве материала катода использован коммерчески доступный материал – углеродный войлок Sigracell GFD 2.5 EA-TA без дополнительной модификации поверхности.
Полный текст
ВВЕДЕНИЕ
Первой работой, предложившей мембранно-электродный блок водородно-ванадиевой проточной батареи (ВВПБ) для решения задач накопления энергии большого масштаба, следует считать публикацию 2013 г. [1]. В качестве обоснования интереса к этой системе авторы указывают снижение вдвое количества наиболее дорогого компонента – ванадия – по сравнению с гораздо более развитой к тому времени технологией полностью ванадиевых проточных редокс-батарей (ВПРБ). Первый вариант ячейки ВВПБ (в терминологии авторов – регенерируемый водородно-ванадиевый топливный элемент) был испытан с использованием коммерческих мембранно-электродных блоков (МЭБ) метанольно-воздушных топливных элементов, содержащих каталитические слои на обоих электродах. На отрицательном электроде протекала реакция выделения (заряд) или окисления (разряд) газообразного водорода, на положительном – работала редокс-пара ванадил/ванадат (VO2+/VO2+), находящаяся в подаваемом в электродное пространство сернокислом электролите:
2H+ + 2e = H2, (1)
VО2+ + e + 2H+ = VO2+ + H2O. (2)
Ячейка в предложенной авторами конфигурации давала малые разрядные токи (<15 мА/см2) вследствие гидрофобности каталитического слоя на положительном электроде. Замена положительного электрода на негидрофобизированную углеродную бумагу позволила повысить разрядную мощность до 120 мВт/см2. Такая оптимизированная конструкция в режиме заряда/разряда показала эффективность по энергии (КПД заряд/разрядного цикла) до 60% при плотности тока 40 мА/см2. В заключении авторы прогнозировали возможность улучшения этих характеристик за счет оптимизации различных элементов МЭБ – в основном увеличения смачиваемости ванадиевого электрода.
Действительно, за прошедшее с тех пор десятилетие появились работы по ВВПБ, в которых данная комбинация электродных реакций более детально изучалась в ячейках с единичными МЭБ на предмет оптимизации различных ее элементов. Краткая характеристика работ [2–18] в отношении ряда ключевых параметров водородно-ванадиевых ячеек приведена в табл. 1 дополнительных материалов (SI). Анализ основных публикаций по теме показывает, что вплоть до настоящего времени экспериментальные исследования ограничены лабораторными установками малого масштаба – с габаритной площадью МЭБ, не превышающей 25 см2. Наиболее сильно на величину разрядной мощности таких ячеек повлияла оптимизация положительного электрода, находящегося в контакте с раствором электролита. Благодаря использованию в его составе углеродных материалов с развитой поверхностью (углеродных нанотрубок, графенов, металлических частиц [5, 6, 8, 11, 12]) и интенсификации подачи электролита, удалось получить удельные мощности от 452 до 645 мВт/см2. В то же время мощность и эффективность заряд-разрядного цикла оказались мало зависящими от загрузки платины на аноде [13] и степени увлажнения пропускаемого через него газа, что вполне согласуется с гораздо более высоким током обмена реакции окисления/выделения водорода на каталитических слоях Pt–C, которые используются в составе анода в большинстве исследований водородно-ванадиевых ячеек. Малый эффект увлажнения объясняется тем, что в отличие от водородно-воздушных топливных элементов МЭБ ВВПБ функционирует в постоянном контакте с водным раствором ванадиевого электролита, что предотвращает потерю проводимости мембраны вследствие пересыхания.
Таблица 1. Величины наклонов вольт-амперной и поляризационных характеристик ячейки ВВПБ с катодом из различных углеродных материалов, полученные по наклонам линейных участков рис. 4 в диапазоне плотностей поляризующего тока ±0.25 A/см2
Параметр | CP 6 × 0.28 мм | CF 2.5 мм | CF 4.6 мм |
RMEA, Ом см2 | 0.419 | 0.280 | 0.321 |
R(–), Ом см2 | 0.250 | 0.224 | 0.221 |
R(+), Ом см2 | 0.168 | 0.057 | 0.101 |
Отметим, что экономические аспекты применения ВВПБ по сравнению с ВПРБ вынесены в качестве объекта исследования только в одной работе 2015 г. [2]. Ее основные выводы состоят в том, что капитальные затраты на ВВПБ ниже таковых для ВПРБ, причем основная выгода достигается за счет “экономии” половины ванадия на 1 кВт ч запасаемой энергии. Эта выгода перекрывает затраты на использование платинового катализатора на аноде, а также систему компримирования и хранения водорода, что обуславливает перспективы водородно-ванадиевого накопителя по сравнению с полностью ванадиевым. Следует учитывать, что при анализе [2] не были учтены требования к чистоте сырья (как правило, пентаоксида ванадия) для производства электролита ВПРБ. Для полностью ванадиевой системы они достаточно высоки [19], в особенности по отношению к примесям сопутствующих металлов, способных снизить перенапряжение выделения водорода на отрицательном электроде – основной источник фарадеевской разбалансировки полностью ванадиевой системы. При замене редокс-пары V2+/V3+ на H2/H+ побочный процесс выделения H2 становится целевым, что может дать дополнительный экономический эффект для ВВПБ за счет применения ванадиевого сырья без дополнительной очистки.
В последнее время интерес к ячейкам, сочетающим водородный и ванадиевый полуэлементы, проявлен с новой точки зрения – применения их в качестве вспомогательных систем для поддержания баланса редокс-форм ванадия в электролите полностью ванадиевых батарей [17, 18], однако процесс поиска более эффективных компонентов МЭБ и их конфигурации также продолжается [12, 13]. В настоящее время выбор стратегии поиска, по всей видимости, основан на общих представлениях о необходимости достижения компромисса между развитием поверхности катода, повышением ее активности (константы скорости электронного переноса) в отношении протекающей на ней электрохимической реакции пары ванадил/ванадат, обеспечения доступности этой поверхности для подвода и отвода ее компонентов. Мы не обнаружили публикаций, посвященных непосредственному экспериментальному анализу распределения внутреннего сопротивления по компонентам МЭБ ВВПБ и протекающим в них процессам – с момента выхода публикации [3] в 2016 г., в которой авторы определяли эффективность функционирования водородного и ванадиевого полуэлементов методом спектроскопии электрохимического импеданса при напряжении разомкнутой цепи. Предложенный авторами [3] подход, предполагающий организацию ионного контакта внешнего электрода сравнения с мембраной в составе ячейки, показался нам плодотворным. Поэтому – целью настоящей работы является определение наиболее значимых факторов, ограничивающих мощность разряда ячейки ВВПБ и определение путей дальнейшего повышения ее разрядных и циклических характеристик.
КОНСТРУКЦИЯ ЯЧЕЙКИ И МЕТОДИКА ПРОВЕДЕНИЯ ЭКСПЕРИМЕНТОВ
Конструкция разрядной ячейки показана на рис. 1а. Ячейка включает в себя концевые пластины (1) с прокладками-изоляторами из перфторированного каучука (2), прижимающие наборные токосъемные узлы (3–5 cо стороны водородного электрода и 3, 4, 8 со стороны проточного ванадиевого) к рамкам-ограничителям электродных пространств (6) со вложенными во внутренние полости электродами (7) и разделяющей их мембраной (9). В состав токосъемного узла входят прокладка из углеродной фольги (3), металлический токоподвод (4) и графитовые токосъемные пластины (5, 8), находящиеся в непосредственном контакте с электродами (7) и пропускаемыми через них средами. Электрод 7а со стороны ванадиевого полуэлемента представляет собой войлочный мат или набор листов углеродной бумаги, 7б – водородный газодиффузионный электрод.
Рис. 1. (а) Конструкция ячейки ВВПБ с капилляром Луггина в изометрической проекции и поперечное сечение ее МЭБ, см. расшифровку обозначений в тексте; (б) схема распределительных каналов подачи электролита в рамках-ограничителях электродных пространств 6, цветовая шкала показывает расчетное распределение линейной скорости течения электролита (слева) и давления (справа); (в) составляющие внутреннего сопротивления МЭБ ячейки прохождению постоянного тока RMEA ячейки и схема ее подключения к потенциостату при электрохимических измерениях.
МЭБ ячейки состоит из углеродной бумаги с каталитическим слоем Pt-C на аноде, на катоде используется углеродный войлок (CF) или углеродная бумага (CP). Катодное и анодное пространства разделены перфторированной сульфокатионообменной мембраной. В составе мембранно-электродного блока использовался тонкопленочный капилляр Луггина (LC), представляющий собой ламинированную c обеих сторон и по периферии полосу катионообменной мембраны в H+-ионной форме, имеющую неизолированные выходы в электродное пространство и во внешнюю емкость с раствором серной кислоты для подключения электрода сравнения (RE). На рис. 1а мембрана в составе LC показана зеленым цветом, покрывающая ее пленка – серым. Общая толщина капилляра составляет ~ 300 мкм, в конструкции ячейки его располагали между мембраной и ограничителем пространства катода 6, обеспечивая тем самым ионный контакт RE с примембранной поверхностью жидкостного проточного катода (показано на схеме поперечного сечения ячейки рис. 1а).
Распределение потока ванадиевого электролита через пористый углеродный катод в ячейке обеспечивается разветвленными каналами, изготовленными в рамке-ограничителе электродного пространства 6. Она состоит из двух листов изолирующего материала (ПТФЭ или ПВХ), на поверхности каждого из которых выполнена фрезеровка. Полученные таким образом детали 6а и 6б склеены фрезерованными каналами вовнутрь. Конфигурация каналов, соединяющих входное и выходное отверстия контура циркуляции электролита с квадратным электродным пространством 2 × 2 см в центре детали, показана на рис. 1б. Выбор этой конфигурации основан на результатах моделирования течения жидкости в приложении Solid Works Flow Simulation, входящем в состав инженерного ПО SolidWorks. На рис. 1б цветовой заливкой показаны результаты такого моделирования для выбранной геометрии каналов. Градиентная цветовая заливка отражает распределение линейной скорости потока и давления при объемной скорости циркуляции электролита 10 мл/мин, демонстрируя достигнутую равномерность этих величин в пределах жидкостного проточного электрода.
Подача водорода на газодиффузионный анод осуществлялась посредством его циркуляции через увлажняющий резервуар при помощи перистальтического насоса со скоростью 300 мл/мин. При этом убыль водорода в ходе разряда и его генерация на электроде в процессе заряда компенсировались присоединением газового объема резервуара к генератору водорода (ГВЧ-36А, Химэлектроника) и гидрозатвору, соединенному с атмосферой. Таким образом, в резервуаре поддерживается постоянное избыточное давление водорода ~20 мбар независимо от того, потребляется или генерируется водород на ячейке в ходе измерений.
Сернокислый ванадиевый электролит состава 1M VOSO4 в 2.76 М H2SO4 готовили из трехводного сульфата ванадила VOSO4⋅3H2O (>97%, Реахим), растворяя навеску соли в предварительно приготовленном растворе 3 М серной кислоты (“х.ч.”, Сигма Тек) до достижения заданного объема раствора. Соотношение соединений ванадия (+4) и (+5) варьировали, осуществляя пропускание заряда нужной величины через электролит, циркулирующий через катодное отделение вспомогательной ячейки ВВПБ аналогичной конструкции. Состав электролита в отношении общего содержания ванадия и сульфат-анионов во всех экспериментах отвечал вышеуказанному, поэтому далее он упоминается как ванадиевый электролит без указания концентраций компонентов. При измерениях использовали объем электролита 15 мл, его подачу в ячейку осуществляли перистальтическим насосом в диапазоне объемных скоростей 10…120 мл/мин, подбирая расход так, чтобы на электродных материалах различной толщины линейная скорость движения среды через катод оказывалась одинаковой.
Подготовка компонентов МЭБ к измерениям включала в себя нанесение каталитического слоя из водно-ацетоновой суспензии катализатора PM-40 (Прометей) с иономером Nafion DE-1021 (DuPont) в соотношении m(Nafion)/mС = 0.7 на поверхность углеродной бумаги Freudenberg H24C3 (Freudenberg Performance Materials) при температуре 100°C на установке Prism BT Сoater (Ultrasonic Systems) с последующим горячим прессованием к мембранам Nafion 211 и 212 (DuPont) непосредственно после их извлечения из защитной пленки (без дополнительной обработки). Углеродные материалы проточного катода (Sigracell GFD 2.5 EA-TA, Sigracell GFD 4.6 EA-TA или CP Sigraсet 39AA, SGL Carbon) вырезали в форме квадратов 2 × 2 см, подвергали ультразвуковой обработке в ацетоне (для удаления разрушенных волокон с границ отреза) и водном растворе 3 М серной кислоты, после чего применяли при сборке ячейки. Процедуры термической активации поверхности для повышения ее гидрофильности не применялись, однако для CF такая обработка предусмотрена производственным циклом. Характеристики материалов катода приведены в табл. 2 SI (дополнительных материалов к статье).
Электрохимические измерения выполняли при комнатной температуре на потенциостате SmartStat PS-50 под управлением ПО SmartSoft (Electrochemical Instruments), конструкция которого допускает использование в измерениях нескольких потенциометрических цепей. Подключение к ячейке осуществляли по схеме, указанной на рис. 1в, что позволяло разделять общее падение напряжения на ячейке при пропускании тока (измеряемое потенциометром V1) на поляризационные характеристики положительного и отрицательного полуэлементов (измерения в цепях V2 и V3). Последние измерялись относительно Ag/AgCl-электрода сравнения с насыщенным раствором КCl, его потенциал составляет 0.198 В относительно стандартного водородного электрода (СВЭ). На рис. 1в показана структура внутреннего сопротивления МЭБ ячейки прохождению постоянного тока (RMEA)
RMEA = RGDE + RM + R* + RLFE, (3)
где RGDE и RLFE – сопротивления газодиффузионного анода и жидкостного проточного электрода (включая составляющие омической и фарадеевской природы) соответственно, RM – сопротивление мембраны в составе МЭБ, R* – некоторая часть сопротивления катодного полуэлемента, обусловленная наличием изолирующей прокладки между мембраной капилляра и мембраной, разделяющей полуэлементы. Из геометрических соображений (толщина ламинирующей пленки ~80 мкм, толщина катодного полуэлемента для разных электродных материалов – от 1.8 до 3.3 мм) величина R* составляет от 2 до 4 % от RLFE, поэтому при дальнейшем обсуждении результатов принимается, что в цепи V2 регистрируется падение напряжения на сопротивлении RGDE + RM, а в цепи V3 – на RLFE.
Детали процедур электрохимических измерений при снятии поляризационных и разрядных характеристик обсуждаются при изложении их результатов в соответствующем разделе.
РЕЗУЛЬТАТЫ И ОБСУЖДЕНИЕ
Поляризационная характеристика водородного полуэлемента
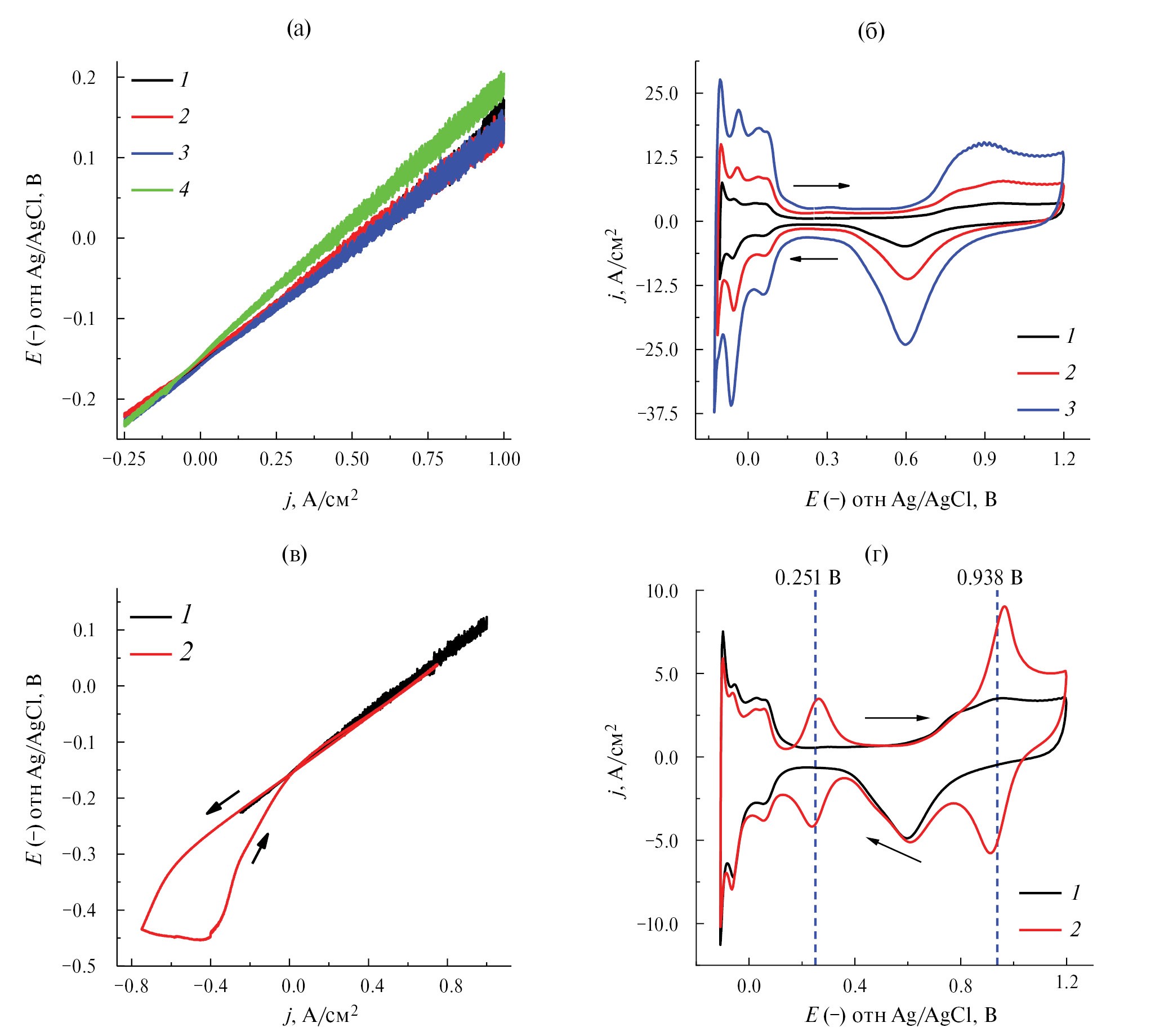
Вопрос выбора состава каталитического слоя на газодиффузионном электроде и способа его соединения с мембраной в гибридной газожидкостной ячейке требует особого внимания, поскольку для обеспечения должного уровня и воспроизводимости характеристик использования “классических” для водородно-воздушных ТЭ составов и методов нанесения может оказаться недостаточно из-за специфики функционирования в контакте с жидким электролитом. Поэтому была проведена серия измерений поляризационных характеристик водородного анода, имеющего разную загрузку платины и толщину мембраны. Измерения выполнялись при подаче на проточный катод раствора 3 М серной кислоты без соединений ванадия; в дополнение к ним проводили оценку электрохимически активной площади поверхности катализатора (ЭХАП) по пикам электрохимической десорбции водорода методом циклической вольтамперометрии. При этом анод находился в инертной атмосфере аргона (рис. 2). Аналогичные измерения были выполнены и после замены раствора серной кислоты на ванадиевый электролит, предварительно подготовленный электролизом исходного раствора сульфата ванадила до эквивалентного соотношения ванадил- и ванадат-катионов.
Рис. 2. Поляризационные характеристики отрицательного полуэлемента ячейки ВВПБ (а, в), полученные гальванодинамическим методом (50 мА/с) при скорости циркуляции сред H2 – 300 мл/мин, 3 М H2SO4 – 120 мл/мин (а), 3 M H2SO4 и ванадиевого электролита с эквивалентным содержанием ванадил- и ванадат-катионов – 120 мл/мин (в) для МЭБ различного состава: (а) Nafion 211, Pt–C 0.226 мг/см2 (1); Nafion 211, Pt–C 0.516 мг/см2 (2); Nafion 211, Pt–C 1.04 мг/см2 (3); Nafion 212, Pt–C 0.226 мг/см2 (4); (в) H2/H2SO4 (1), H2/V_SOC 0.5 (2). Циклические вольтамперограммы отрицательного полуэлемента ячейки ВВПБ (б, г) с МЭБ состава Pt–C (х, мг/см2: 0.226 (1); 0.516 (2); 1.04 (3))|Nafion 211|CF 4.6 EA-TA, полученные при заполнении пространства анода аргоном и циркуляции через катод 3 М H2SO4 – 120 мл/мин (б), 3 М H2SO4 (1) и ванадиевого электролита с эквивалентным содержанием ванадил- и ванадат-катионов (2) – 120 мл/мин (г). Скорость развертки потенциала – 20 мВ/с.
Сопоставление наклонов поляризационных характеристик рис. 2а свидетельствует, во-первых, об их “омическом” характере во всех исследованных комбинациях компонентов МЭБ, а во-вторых – об отсутствии зависимости поляризационного сопротивления анода от загрузки платины в достаточно широких пределах. То обстоятельство, что переход от мембраны Nafion 211 к Nafion 212, имеющей вдвое большую толщину, вызвал относительно небольшое изменение поляризационного сопротивления (рис. 2а), говорит о преобладающем вкладе ионного транспорта в пределах каталитического слоя Pt–C. В сочетании с закономерным ростом ЭХАП с увеличением загрузки платины это свидетельствует о локализации реакций окисления/выделения водорода в достаточно тонкой примембранной области каталитического слоя. Поскольку большая загрузка платины на практике отвечает большей толщине каталитического слоя (больше циклов напыление/сушка каталитических “чернил”), этот тонкий слой включает в себя близкое количество катализатора во всех образцах анодного материала. В соответствии с этим заключением в дальнейших экспериментах были использованы МЭБ, имеющие анод с низкой загрузкой платины (0.226 мг/см2) в комбинации с мембраной Nafion 211.
Можно ожидать, что переход от раствора серной кислоты к ванадиевому электролиту на катоде вызовет проникание катионов ванадия на анод. Результаты циклической вольтамперометрии отрицательного полуэлемента в атмосфере аргона (рис. 2г) действительно обнаруживают появление ионов ванадия в его составе, о чем свидетельствуют характерные волны в областях потенциалов редокс-пар V3+/VO2+ (0.337 В по СВЭ) и VO2+/VO2+ (0.99 В по СВЭ) [5, 20]. Наблюдаемые на опыте формальные потенциалы редокс-переходов смещены относительно указанных стандартных потенциалов из-за более высокой кислотности электролита; тем не менее они обнаруживают близкое по величине различие между собой (0.662 В для стандартных потенциалов редокс-пар и 0.687 В – для формальных, по данным рис. 2г (полусуммы потенциалов пиков на прямом и обратном ходе развертки потенциала)). Отметим, что пики электрохимической адсорбции/десорбции водорода в присутствии соединений ванадия не обнаруживают тенденцию к снижению ЭХАП или ее каталитической активности в реакции окисления/выделения водорода.
Поляризационная кривая отрицательного полуэлемента на рис. 2в ведет себя идентично в области положительных токов (окисление водорода) и при развертке тока в отрицательном направлении, однако при высокой плотности катодного тока (j < –0.6 А/см2) имеет место отклонение от линейности с характерной петлей на обратном ходе развертки тока. Данный эффект мы относим на счет затопления анода гидратной водой, переносимой потоком ионов водорода из католита. Подобный эффект, по всей видимости, наблюдался бы и при поляризации ячейки с сернокислым электролитом, однако столь высокие токи на положительном полуэлементе в отсутствие соединений ванадия приводят к интенсивному окислению воды с выделением кислорода и разрушением вследствие этого углеродного материала катода и графитовой токосъемной пластины. Отметим также, что эффект затопления имеет обратимый характер – переход в область положительных токов сопровождается обратным переносом воды ионами водорода, образующимися при его окислении, в результате чего ход поляризационной зависимости в области положительных токов возвращается к исходному.
Напряжение разомкнутой цепи ячейки ВВПБ при различных соотношениях соединений ванадия (+4) и (+5) в электролите
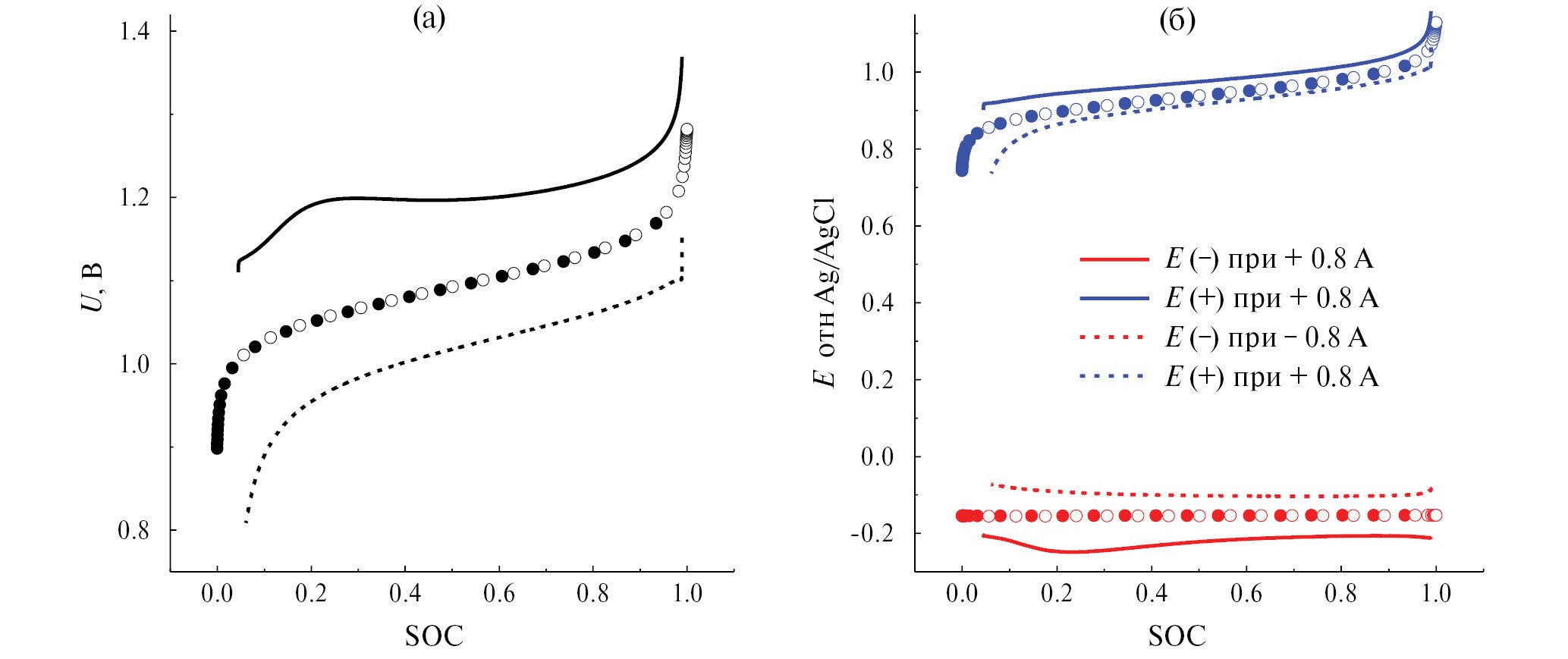
Для установления зависимости напряжения разомкнутой цепи ячейки от соотношения концентраций ванадил/ванадат в составе электролита было проведено последовательное электрохимическое преобразование ванадил/ванадат в 15 мл раствора ванадиевого электролита на единичной ячейке ВВПБ путем пропускания порций заряда в кратковременных периодах подачи постоянного тока 0.8 А (200 мА/см2). По окончании каждого такого периода ячейка подвергалась гальванодинамической поляризации в диапазоне токов ±50 мА со скоростью развертки тока 10 мА/с (10 циклов) для релаксации возникших на предыдущем этапе концентрационных градиентов, после чего осуществлялась регистрация установившегося напряжения на ячейке и потенциалов ее полуэлементов относительно Ag/AgCl-электрода сравнения при разомкнутой цепи. После полного переведения соединений ванадия в электролите в степень окисления +5 аналогичное измерение проделали в направлении разряда ячейки, сменив значение тока электрохимического преобразования соединений ванадия на противоположное. Результаты измерений представлены на рис. 3. По абсциссе отложена величина SOC (State of Charge, степень заряжения), которая для ВВПБ, функционирующей при постоянном давлении водорода на аноде, полностью определяется текущим составом католита, т.е. средней степенью окисления соединений ванадия в нем. Экспериментально эту величину определяли, относя суммарный пропущенный заряд с начала электрохимического преобразования электролита из полностью разряженного (V+4) или полностью заряженного (V5+) состояния в данное состояние к величине заряда, отвечающей полному преобразованию ванадил-ванадат.
Рис. 3. (а) Зависимость напряжения разомкнутой цепи и потенциалов полуэлементов (см. легенду) от степени заряжения для ячейки ВВПБ с МЭБ состава Pt–C (0.226 мг/см2)|Nafion 211|CF 2.5 EA-TA, полученная при скорости циркуляции водорода 300 мл/мин и ванадиевого электролита 65 мл/мин в ходе преобразования ванадил-ванадат (полые точки) и в обратном направлении (заполненные точки). (б) Потенциал водородного полуэлемента в увеличенном по оси потенциалов масштабе.
Данные рис. 3a показывают, что зависимость напряжения разомкнутой цепи ВВПБ определяется SOC, т.е. отношением ванадил/ванадат в католите, тогда как потенциал водородного полуэлемента остается практически постоянным. Согласно данным рис. 3, напряжение разомкнутой цепи ячейки на электролите выбранного состава (1М ионов ванадия при полном содержании сульфат-ионов 3.76 М) составляет 1.092 В при SOC = 0.5.
Отметим также, что данное исследование не обнаружило подтверждения существенного влияния проникновения ванадия на напряжение ячейки по механизму установления на аноде смешанного потенциала при попадании на него соединений ванадия – такая гипотеза была выдвинута в работе [4]: различие бестоковых потенциалов водородного анода при прямом и обратном ходе преобразования ванадил-ванадат практически уложилось в 2 мВ (рис. 3б). Этот положительный сдвиг потенциала анода с увеличением SOC можно объяснить (помимо установления смешанного потенциала на аноде) увеличением содержания ионов водорода в католите в процессе заряда: преобразование ванадил-катиона в ванадат приводит к образованию двух ионов водорода в католите, тогда как к аноду через мембрану его покидает лишь один. Если допустить, что увеличение кислотности католита приводит к такому же изменению концентрации ионов водорода в анодном каталитическом слое, то в условиях эксперимента рост бестокового потенциала анода должен составлять порядка 10 мВ. В дополнение к этому установление смешанного потенциала на аноде из-за проникновения окислителя должно было бы дать дополнительное смещение в положительном направлении, однако экспериментально полученный прирост E(–) в диапазоне SOC от 0 до единицы существенно ниже. Различие зарядов полного преобразования ванадия между степенями окисления (+4) и (+5) в условиях проведенного эксперимента составило ~22 Кл. Если отнести это различие на счет проникновения соединений ванадия на анод, то с учетом времени проведения эксперимента оценка для тока саморазряда вследствие этого явления дает величину порядка 2 мА/см2. Полученная в работе [4] величина тока, компенсирующего проникновение соединений ванадия через мембрану той же марки (Nafion 211) и на электролите близкого состава, составляет 27 мА/см2, что представляется нам несколько завышенным значением, несмотря на грубость проведенной нами оценки.
Вольт-амперные характеристики ячейки ВВПБ и поляризационные характеристики ее полуэлементов
Измерения стационарных вольт-амперных и поляризационных кривых проводили на ванадиевом электролите, предварительно переведенном к степени заряжения 0.5 (эквивалентное соотношение ванадил/ванадат) путем электролиза на вспомогательной ячейке ВВПБ. Процедура поляризации состояла в последовательном наложении постоянных токов переменного направления с постепенным увеличением их амплитуды (до ±4 А, ±1 А/см2). Регистрация напряжения на ячейке и потенциалов ее полуэлементов относительно электрода сравнения, подключенного по схеме рис. 1в, производилась после установления их постоянного, отвечающего данному току значения (в большинстве измерений спустя 20 с), после чего направление тока изменялось на противоположное на тот же промежуток времени. Такая процедура обеспечивает постоянство SOC в ходе измерений при пропускании высоких токов и не требует использования больших объемов электролита, при этом позволяя в ходе одного эксперимента получить как разрядную, так и зарядную характеристики ячейки.
Исследование проводили на трех конфигурациях МЭБ, имеющих одинаковый анод (загрузка платины 0.226 мг/см2) и мембрану (Nafion 211), но различающихся типом анодного материала: маты CF 4.6 мм, СF 2.5 мм и стопка из 6 листов CP 6 × 0.28 мм. Электродные пространства катода для этих материалов имели идентичную геометрию (включая конфигурацию распределительных каналов), но различались толщиной: 3.34 мм, 1.84 мм и 1.34 мм, обеспечивая величину компрессии 27%, 26% и 20%. Линейная скорость течения ванадиевого электролита через просвет катодного пространства варьировалась в пределах 0.5–3 см/с, циркуляция увлажненного до 100% при комнатной температуре водорода через газодиффузионный анод во всех экспериментах составляла 300 мл/мин.
Типичный вид получаемых кривых показан на рис. 4а–4в для максимальной скорости циркуляции электролита. В первую очередь обращает на себя внимание явно выраженный линейный вид всех измеренных характеристик в широком интервале поляризующих токов, отклонение от которого наблюдается лишь при близких к –1 А/см2, что обычно свидетельствует о появлении вклада транспортных ограничений в общее сопротивление МЭБ. Поведение поляризационных характеристик в этом диапазоне токов ясно указывает, что более поляризуемым является отрицательный полуэлемент ячейки. Поскольку подача водорода в условиях эксперимента в 10 раз превышает его стехиометрический расход при плотности разрядного тока 1 А/см2, а подача воды (при условии ее потребления 1 молекула на 1 образующийся при окислении водорода протон) может обеспечить лишь ~0.15 А/см2 (оценка дана на основании давления насыщенных паров воды при комнатной температуре), более вероятным является возникновение недостатка воды в каталитическом слое Pt–C. Диффузионный поток воды со стороны католита, по всей видимости, не успевает восполнить этот недостаток, несмотря на использование тонкой мембраны (25 мкм). Следует ожидать, что использование в составе МЭБ мембраны большей толщины приведет к еще более высоким поляризациям при высоких разрядных токах.
Рис. 4. Вольт-амперные характеристики ячейки ВВПБ в режиме заряда/разряда (а-в) и поляризационные характеристики ее полуэлементов относительно Ag/AgCl-электрода сравнения при SOC = 0.5 для линейной скорости пропускания ванадиевого электролита 3 см/с через катод из различных углеродных материалов: СP 6 × 0.28 мм (а), СF 2.5 мм (б), CF 4.6 мм (в); зависимости удельной мощности заряда/разряда ячейки ВВПБ от скорости циркуляции электролита через катод из различных углеродных материалов в диапазоне 0.5 – 3 см/с: СP 6 × 0.28 мм (г), СF 2.5 мм (д), CF 4.6 мм (е). Объемные скорости, мл/мин: 1 – 51, 2 – 34, 3 – 17, 4 – 10 (г); 1 – 65, 2 – 43, 3 – 22, 4 – 11 (д); 1 – 120, 2 – 80, 3 – 40, 4 – 20 (е).
Напротив, ванадиевый полуэлемент не обнаруживает влияния транспортных ограничений во всем диапазоне применяемых токов обоих направлений при линейной скорости движения электролита через катодное пространство 3 см/с ни на одном из исследованных углеродных материалов. Снижение скорости циркуляции электролита, однако, начинает сказываться на поляризационной характеристике ванадиевого катода – вклад диффузионных ограничений на величину поляризации ячейки при разряде становится заметен при плотностях разрядного тока выше 0.3 А/см2 (т.е., <0.3 А/см2), что иллюстрируют зависимости удельной мощности заряда/разряда на рис. 4г-4е. Шестикратное уменьшение подачи электролита снижает удельную мощность разряда при –1 А/см2 на 30% для катода CP 6 × 0.28 мм и на 20% для обоих CF. Относительно небольшая величина эффекта позволяет нам заключить, что все углеродные материалы функционируют достаточно эффективно в использованной простой конфигурации проточного поля с учетом выполненной оптимизации распределения потока в ней (рис. 1б).
Полученные величины удельной мощности разряда ячейки ВВПБ находятся на уровне самых высоких достигнутых к настоящему моменту показателей (см. табл. 1 SI). Характеристики, полученные на материалах CF 2.5 мм и CF 4.6 мм на 60 и 105 мВт/см2, превосходят самую высокую опубликованную величину максимальной удельной мощности разряда, равную 645 мВт/см2 [12]. Особо отметим, что указанные характеристики получены на коммерчески доступных электродах без применения активационных процедур (отжиг, препаративная обработка, модификация частицами с развитой поверхностью) и с применением достаточно низкой загрузки платины на аноде (0.226 мг/см2).
Для определения вкладов поляризации положительного и отрицательного полуэлементов в общее падение напряжения на ячейке были определены наклоны кривых в диапазоне ±0.25 А/см2, в котором эти измеренные зависимости линейны во всем диапазоне скоростей циркуляции электролита. Полученные удельные поляризационные сопротивления для трех материалов катода приведены в табл. 1.
Полученные величины удельных поляризационных сопротивлений позволяют заключить, что вклад ванадиевого полуэлемента в полное сопротивление ячейки прохождению постоянного тока составляет 20, 31 и 40% для этих углеродных материалов, тогда как гораздо большая его часть сосредоточена на водородном полуэлементе. То обстоятельство, что в условиях измерений сопротивление мембраны ионному переносу отнесено к отрицательному полуэлементу, вряд ли является причиной – на это указывает рис. 2а, демонстрирующий малое изменение поляризационного сопротивления при использовании мембраны вдвое большей толщины.
Определение составляющих внутреннего сопротивления ячейки ВВПБ постоянному току методом электрохимического импеданса
Линейный характер вольт-амперной и поляризационных характеристик ячейки ВВПБ свидетельствует о возможности применения метода электрохимического импеданса при напряжении разомкнутой цепи для анализа вкладов процессов электронного и ионного переноса в МЭБ. Измерения проводили в диапазоне частот 50 кГц … 0.03 Гц на тех же сборках ячеек, для которых получены результаты рис. 3, используя идентичную схему подключения ячейки к потенциостату, получая в одном измерении три набора данных, характеризующих ячейку и ее полуэлементы.
Результаты измерений для самой высокой скорости подачи электролита представлены на рис. 5 и обнаруживают наличие двух полуокружностей в спектрах как самой ячейки, так и водородного и ванадиевого электродов. Их отнесение к протекающим в ячейке процессам было дано в работе [3]: высокочастотная полуокружность характеризует заряжение двойнослойной емкости Cdl и ограничена слева эквивалентным последовательным сопротивлением RS (движение носителей заряда в электроде и электролите), а справа сопротивлением переноса заряда RCT. Вторая полуокружность характеризует массоперенос в условиях диффузионного слоя ограниченной толщины и описывается элементом CPE в комбинации с резистором RDif, определяющим скорость транспорта участников электродной реакции при низкочастотном (и постоянном) токе. Предложенная в работе [3] эквивалентная схема приведена на рис. 5.
Рис. 5. Годографы импеданса ячейки ВВПБ и ее полуэлементов относительно Ag/AgCl-электрода сравнения, полученные при напряжении разомкнутой цепи в диапазоне частот 50 кГц … 0.03 Гц (амплитуда 10 мВ) при SOC = 0.5 для линейной скорости пропускания ванадиевого электролита 3 см/с через катод из различных углеродных материалов (указано в легенде). Над рисунком приведена эквивалентная схема полуэлемента ячейки ВВПБ, используемая при определении составляющих его внутреннего сопротивления постоянному току.
На экспериментальных диаграммах Найквиста полуокружности хорошо разрешены, поэтому их обработка для отрицательного полуэлемента и ячейки сводилась к определению положений RS, RCT, и RDif, ориентируясь на характерные точки годографов. В некоторых случаях применяли экстраполяцию экспериментальных точек до пересечения с действительной осью. Величину RS положительного полуэлемента определяли по разнице RS ячейки и RS(–) отрицательного полуэлемента, поскольку высокочастотный край полуокружности положительной полуячейки замаскирован артефактом емкостного типа.
Результаты определения RS, RCT, RDif вышеописанным способом для ячейки и ее элементов (к обозначениям добавляются знаки (+) и (–)) приведены в табл. 2. Прежде всего отметим, что суммы этих удельных сопротивлений для полуячеек по данным измерения импеданса при разомкнутой цепи практически количественно совпадают с оценками, полученными по участкам вольтамперограмм в диапазоне ± 0.25 А/см2 (выделены жирным шрифтом в табл. 1 и 2 для сопоставления). Это позволяет распространить выводы, сделанные по табл. 2 для бестоковых условий на интервал токов, обычно отвечающий функционированию проточных источников тока (ВПРБ) на практике.
Таблица 2. Результаты определения вкладов различных составляющих в эквивалентное последовательное сопротивление ячейки ВВПБ с катодом из различных углеродных материалов, полученные обработкой результатов измерений импеданса при напряжении разомкнутой цепи в диапазоне линейных скоростей течения электролита через катод 0.5 - 3 см/с (объемные скорости циркуляции электролита указаны в левой колонке таблицы)
Материал катода | V, мл/мин | R(+) = RLFE, Ом см2 | R(–) = RGDE +RM, Ом см2 | RMEA, Ом см2 | ||||
RS(+) | RCT(+) | RDif(+) | RS(–) | RCT(–) | RDif(–) | |||
CF 2.5 мм | 11 | 0.027 | 0.015 | 0.050 | 0.220 | 0.032 | 0.026 | 0.370 |
22 | 0.028 | 0.014 | 0.028 | 0.207 | 0.016 | 0.014 | 0.306 | |
43 | 0.021 | 0.023 | 0.015 | 0.201 | 0.012 | 0.007 | 0.279 | |
65 | 0.019 | 0.024 | 0.009 | 0.203 | 0.008 | 0.006 | 0.270 | |
CF 4.6 мм | 20 | 0.024 | 0.053 | 0.058 | 0.186 | 0.057 | 0.036 | 0.413 |
40 | 0.031 | 0.044 | 0.050 | 0.185 | 0.053 | 0.030 | 0.393 | |
80 | 0.029 | 0.056 | 0.017 | 0.179 | 0.033 | 0.049 | 0.363 | |
120 | 0.025 | 0.060 | 0.012 | 0.177 | 0.033 | 0.014 | 0.321 | |
CP 6 × 0.28 мм | 10 | 0.099 | 0.021 | 0.053 | 0.197 | 0.054 | 0.054 | 0.479 |
17 | 0.095 | 0.032 | 0.039 | 0.189 | 0.046 | 0.042 | 0.443 | |
34 | 0.122 | 0.026 | 0.029 | 0.167 | 0.033 | 0.029 | 0.405 | |
51 | 0.116 | 0.021 | 0.020 | 0.175 | 0.054 | 0.032 | 0.418 | |
Как и следовало ожидать, наибольшую зависимость от скорости циркуляции электролита демонстрируют величины RDif(+), снижаясь для материалов CF с увеличением скорости циркуляции электролита: шестикратное увеличение скорости вызывает близкое к пятикратному уменьшение RDif. Наиболее заметен вклад такого снижения для CF 2.5 мм, наименее выражен для CP 6 × 0.28 мм, по всей видимости, вследствие наличия большого количества биндера между волокнами (см. микрофотографии материалов на рис. 1 SI), создающего гидродинамическую тень для их поверхности. В относительном выражении вклад RDif в полное сопротивление ячейки для этого материала максимален ~20–30 % на разных скоростях прокачки, тогда как для CF лежит в пределах 7–9 %.
Относительный вклад RCT(+) в RMEA для CP 6 × 0.28 мм и CF 2.5 мм находится на уровне 4–7 % и 4–9 % соответственно, а для CF 4.6 мм оказался вдвое выше: 11–18%. По всей видимости, термическая активация поверхности для этих материалов осуществляется в различных условиях. Удельное сопротивление переноса заряда водородного полуэлемента для всех сборок также представляет собой малую долю полного сопротивления ячейки постоянному току (5–13%).
Основную в процентном отношении долю RMEA, по данным табл. 2, составляет последовательное сопротивление отрицательного полуэлемента 40–50% (до 70% для CF 2.5 мм). При этом лишь пятая часть этой величины может быть отнесена на счет мембраны – такую оценку позволяют провести данные рис. 2а (измерение поляризационной кривой анода в сборках с мембранами Nafion 211 и 212). Следовательно, наиболее значимых успехов в решении задачи повышения удельной мощности разряда ВВПБ следует ожидать на пути оптимизации состава каталитического слоя анода и способа его нанесения на мембрану.
Характеристики заряд-разрядного цикла ячейки ВВПБ
Циклические заряд-разрядные испытания ячейки ВВПБ были проведены на сборке с CP 6 × 0.28 мм в составе ванадиевого полуэлемента в знакопеременном гальваностатическом режиме током ±0.8 А (±200 мА/см2). Переключение направления тока осуществлялось при выходе напряжения за границы интервала от 0.8 В до 1.4 В. На рис. 6 показаны полученные зависимости напряжения и потенциалов полуячеек от величины SOC для 6-го цикла заряд/разряд. Для оценки вкладов падения напряжений на полуэлементах на рис. 6 также приведены результаты определения напряжения разомкнутой цепи от соотношения окисленной и восстановленной форм ванадия в электролите.
Рис. 6. Зависимости напряжения (а) ячейки ВВПБ с МЭБ состава Pt-C (0.226 мг/см2)|Nafion 211|СP 6 х 0.28 мм и потенциалов ее полуэлементов относительно Ag/AgCl-электрода сравнения (б) в ходе гальваностатического заряд/разрядного испытания при ±0.8 А (±200 мА/см2) для линейной скорости пропускания ванадиевого электролита 3 см/с (65 мл/мин), 6-й цикл. Сплошные линии – кривые, полученные при заряде, пунктирные – при разряде. Точки – результат измерения напряжения и потенциалов разомкнутой цепи полуячеек при различных SOC, (данные рис. 3).
Рисунок 2а показывает, что в выбранном интервале напряжений (симметричном относительно напряжения разомкнутой цепи при SOC = 0.5) успевает преобразоваться большая часть ванадиевого электролита, коэффициент использования емкости в заряд-разрядном цикле при 200 мА/см2 достигает 0.93. При этом ход разрядной кривой воспроизводит зависимость напряжения РЦ от SOC, а зарядная демонстрирует особенность в виде характерного горба – резкого возрастания напряжения после переключения разряд-заряд с последующим спадом. Одновременный контроль потенциалов полуячеек (рис. 6б) обнаруживает, что за эту особенность отвечает водородный электрод: переносимая на него потоком ионов гидроксония вода блокирует часть поверхности платинового катализатора (затопление). Начинающийся при заряде процесс окисления водорода запускает электромиграцию воды в обратном направлении, что снижает поляризацию анода и приводит к снижению напряжения зарядного этапа. Аналогичное поведение водородного анода было замечено в ходе эксперимента (рис. 2в) при гальванодинамическом измерении на токах выделения водорода >0.4 А/см2. Очевидно, в гальваностатическом режиме этот эффект наблюдается и при меньших поляризациях, так как носит кумулятивный характер. Его негативное влияние на циклические характеристики заключается в увеличении среднего напряжения заряда за цикл, что в свою очередь понижает энергетическую эффективность ВВПБ. Минимизация этого эффекта возможна за счет увеличения гидрофобности катода и регулирования влажности подаваемого на него газа – увлажнение водорода, благоприятствующее разрядному процессу, при заряде необходимо заменять осушением. Следовательно, обе задачи – повышение мощности разряда и эффективности заряд-разрядного цикла — приводят нас к выводу, что дальнейший прогресс ВВПБ тесно связан с оптимизацией анодного полуэлемента.
Тем не менее, продемонстрированные этой сборкой ВВПБ показатели по фарадеевской эффективности (98%) и отношению средних напряжений разрядного и зарядного полуциклов (84%) и энергоэффективности заряд-разрядного цикла (83%) в сочетании с коэффициентом использования емкости 0.93 при плотности заряд-разрядного тока 0.2 А/см2 выводят ее на лидирующие позиции среди известных в литературе данных.
ЗАКЛЮЧЕНИЕ
За счет оптимизации сборки ячейки в отношении распределения потока католита в работе получена рекордно высокая удельная мощность разряда: 0.75 Вт/см2, при этом в качестве материала катода использован коммерчески доступный материал – углеродный войлок Sigracell GFD 2.5 EA-TA без дополнительной модификации поверхности. Применение тонкопленочного капилляра Луггина и потенциостата с дополнительными потенциометрическими цепями позволило реализовать одновременное измерение вольт-амперных характеристик ячейки и поляризационных кривых полуэлементов, благодаря чему сборки ячейки с тремя углеродными материалами были охарактеризованы величинами удельных поляризационных сопротивлений. Установлено, что вклад водородного газодиффузионного электрода в полное сопротивление ячейки ВВПБ постоянному току вдвое превышает таковую для проточного ванадиевого катода. При помощи измерений методом электрохимической импеданс-спектроскопии определено, что наиболее значимую роль в ограничении разрядной мощности ячейки играет эквивалентное последовательное сопротивление анодного каталитического слоя, что позволило определить водородный газодиффузионный анод в качестве объекта для дальнейшей оптимизации.
ФИНАНСИРОВАНИЕ РАБОТЫ
Работа выполнена при финансовой поддержке Российского научного фонда (РНФ): грант № 23-23-00555.
КОНФЛИКТ ИНТЕРЕСОВ
Авторы заявляют, что у них нет конфликта интересов.
Об авторах
О. И. Истакова
Федеральный исследовательский центр проблем химической физики и медицинской химии РАН
Email: dkfrvzh@yandex.ru
Россия, Черноголовка
Д. В. Конев
Федеральный исследовательский центр проблем химической физики и медицинской химии РАН; Институт физической химии и электрохимии им. А. Н. Фрумкина РАН
Автор, ответственный за переписку.
Email: dkfrvzh@yandex.ru
Россия, Черноголовка; Москва
Д. О. Толстель
Московский государственный университет имени М. В. Ломоносова
Email: dkfrvzh@yandex.ru
Россия, Москва
Е. А. Рубан
Федеральный исследовательский центр проблем химической физики и медицинской химии РАН; Институт физической химии и электрохимии им. А. Н. Фрумкина РАН
Email: dkfrvzh@yandex.ru
Россия, Черноголовка; Москва
М. С. Красикова
Федеральный исследовательский центр проблем химической физики и медицинской химии РАН
Email: dkfrvzh@yandex.ru
Россия, Черноголовка
М. А. Воротынцев
Институт физической химии и электрохимии им. А. Н. Фрумкина РАН
Email: mivo2010@yandex.com
Россия, Москва
Список литературы
- Yufit, V., Hale, B., Matian, M., Mazur, P., and Brandon, N. P., Development of a regenerative hydrogen-vanadium fuel cell for energy storage applications, J. Electrochem. Soc., 2013, vol. 160, no. 6, p. A856.
- Moore, M., Counce, R., Watson, J., and Zawodzinski, T., A comparison of the capital costs of a vanadium redox-flow battery and a regenerative hydrogen-vanadium fuel cell, J. Adv. Chem. Eng., 2015, vol. 5, no. 4, p. 1000140.
- Dewage, H.H., Yufit, V., and Brandon, N.P., Study of loss mechanisms using half-cell measurements in a regenerative hydrogen vanadium fuel cell, J. Electrochem. Soc., 2015, vol. 163, no. 1, p. A5236.
- Dowd, R.P., Verma, A., Li, Y., Powers, D., Wycisk, R., Pintauro, p. N., and Van Nguyen, T., A hydrogen-vanadium reversible fuel cell crossover study, J. Electrochem. Soc., 2017, vol. 164, no. 14, p. F1608.
- Dowd, R.P., Lakhanpal, V.S., and Van Nguyen, T., Performance evaluation of a hydrogen-vanadium reversible fuel cell, J. Electrochem. Soc., 2017, vol. 164, no. 6, p. F564.
- Tenny, K.M., Lakhanpal, V.S., Dowd, R.P., Yarlagadda, V., and Van Nguyen, T., Impact of multi-walled carbon nanotube fabrication on carbon cloth electrodes for hydrogen-vanadium reversible fuel cells, J. Electrochem. Soc., 2017, vol. 164, no. 12, p. A2534.
- Muñoz, C.P., Dewage, H.H., Yufit, V., and Brandon, N.P., A unit cell model of a regenerative hydrogen-vanadium fuel cell, J. Electrochem. Soc., 2017, vol. 164, no. 14, p. F1717.
- Chakrabarti, B., Yufit, V., Kavei, A., Xia, Y., Stevenson, G., Kalamaras, E., Luo, H., Feng, J., Tariq, F., Taiwo, O., Titirici, M.-M., and Brandon, N., Charge/discharge and cycling performance of flexible carbon paper electrodes in a regenerative hydrogen/vanadium fuel cell, Int. J. Hydrogen energy, 2019, vol. 44, no. 57, p. 30093.
- Pino-Muñoz, C.A., Chakrabarti, B.K., Yufit, V., and Brandon, N.P., Characterization of a Regenerative hydrogen-vanadium fuel cell using an experimentally validated unit cell model, J. Electrochem. Soc., 2019, vol. 166, no. 15, p. A3511.
- Parra-Puerto, A., Rubio-Garcia, J., Cui, J., and Kucernak, A., High Energy Density Hydrogen/Vanadium Hybrid Redox Flow Battery Utilizing HCl As a Supporting Electrolyte, Electrochem. Soc. Meeting Abstracts prime 2020 – Electrochem. Soc., Inc., 2020, no. 4, p. 800-800.
- Chakrabarti, B.K., Feng, J., Kalamaras, E., Rubio-Garcia, J., George, C., Luo, H., Xia, Y., Yufit, V., Titirici, M.-M., Low, C.T.J., Kucernak, A., and Brandon, N.P., Hybrid redox flow cells with enhanced electrochemical performance via binderless and electrophoretically deposited nitrogen-doped graphene on carbon paper electrodes, ACS Appl. Mat. & Interfaces, 2020, vol. 12, no. 48, p. 53869.
- Chakrabarti, B.K., Kalamaras, E., Ouyang, M., Liu, X., Remy, G., Wilson, P.F., Williams, M.A., Rubio-Garcia, J., Yufit, V., Bree, G., Hajimolana, Y.S., Singh, A., Tariq, F., Low, C.T.J., Wu, B., George, C., and Brandon, N.P., Trichome-like carbon-metal fabrics made of carbon microfibers, carbon nanotubes, and Fe-based nanoparticles as electrodes for regenerative hydrogen/vanadium flow cells, ACS Appl. Nano Mater., 2021, vol. 4, no. 10. p. 10754.
- Hsu, N.Y., Devi, N., Lin, Y.I., Hu, Y.H., and Ku, H.H., Study on the effect of electrode configuration on the performance of a hydrogen/vanadium redox flow battery, Renewable Energy, 2022, vol. 190, p. 658.
- Dowd, R.P., Ying, A., and Van Nguyen, T., Preliminary study of a reversible hydrogen-vanadium flow battery, ECS Transactions, 2016, vol. 72, no. 10, p. 11.
- Weng, G.M., Li, C.Y.V., and Chan, K.Y., High-voltage pH differential vanadium-hydrogen flow battery, Mater. Today Energy, 2018, vol. 10, p. 126.
- Lee, C.Y., Chen, C.H., Chen, Y.C., and Jiang, X.F., A Flexible 7-in-1 Microsensor Embedded in a Hydrogen/Vanadium Redox Battery for Real-Time Microscopic Measurements, Membranes, 2022, vol. 13, no. 1, p. 49.
- Zhang, K., Zheng, X., Liu, S., Xie, Z., Liu, Z., Zhu, Z., Jiang, T., Wang, W., Wang, M., Ma, Y., Meng, Y., Peng, Q., and Chen, W., High-rate, two-electron-transfer vanadium-hydrogen gas battery, Electrochim. Acta, 2023, vol. 469, p. 143216.
- Feng, W., Zeng, Y., Deng, F., Yang, P., and Dai, S., A hydrogen-vanadium rebalance cell based on ABPBI membrane operating at low hydrogen concentration to restore the capacity of VRFB, J. Energy Storage, 2023, vol. 74, p. 109363.
- Ding, M., Liu, T., Zhang, Y., Liu, H., Pan, D., and Chen, L., Physicochemical and Electrochemical Characterization of Vanadium Electrolyte Prepared with Different Grades of V2O5 Raw Materials, Energies, 2021, vol. 14, no. 18, p. 5958.
- Li, X., Zhang, H., Mai, Z., Zhang, H., and Vankelecom, I., Ion exchange membranes for vanadium redox flow battery (VRB) applications, Energy & Environmental Sci., 2011, vol. 4, no. 4, p. 1147.
Дополнительные файлы








