Structure of the electrochemical interface of mechanically renewable graphite electrode with aqueous solutions of surface inactive electrolyte
- Authors: Safonov V.А.1, Choba М.A.1
-
Affiliations:
- M.V. Lomonosov Moscow State University
- Issue: Vol 60, No 11 (2024): Special issue “Electrochemistry-2023”, part 2
- Pages: 770-782
- Section: Articles by participants of the All-Russian Conference “Electrochemistry-2023” (Moscow, October 23–26, 2023)
- URL: https://journal-vniispk.ru/0424-8570/article/view/283514
- DOI: https://doi.org/10.31857/S0424857024110038
- EDN: https://elibrary.ru/NPYNEZ
- ID: 283514
Cite item
Full Text
Abstract
Using the method of electrochemical measurements on electrodes with mechanically renewable surface, we studied the behavior of graphite electrode in aqueous solutions of surface inactive electrolytes. The potential region in which this electrode can be considered as ideally polarizable was found. Capacitance curves measured in this potential range have some characteristic properties. Namely, the values of double layer capacitance on graphite electrode at potentials corresponding to positive surface charges (σ > 0) are ca. 1.5–2 times lower than those values at typical mercury-like metals. At the same time, we can observe that these double layer capacitances draw together (up to practical confluence) at potentials corresponding to negative surface charges (σ < 0). Analysis of experimental data have shown that peculiarities of capacitance curves on graphite electrode are resulted from the semi-conductive properties of material of this electrode. We have proposed and substantiated new approach to the model description of experimental data that allowed us to quantitatively estimate the values of such important semi-conductive parameters as a flat-band potential and a concentration of charges in the conduction zone of the graphite material under consideration. Taking into account the active use of graphite and other carbon materials in science and practice, we believe that results of this investigation will promote to more deep understanding the mechanism of electrochemical processes realizing on like materials in different systems.
Full Text
Введение
Благодаря своим уникальным свойствам различные углеродные материалы широко используются во многих практически важных областях, таких как преобразование и хранение энергии, электронике, медицине, науке об окружающей среде и т. д. Практический интерес к этим материалам и, в частности, к применяемому в качестве электрода графиту, который рассматривается в настоящей работе, во многом связан с тем, что они обладают достаточно высокой электронной проводимостью, стабильны в широком диапазоне потенциалов, являются относительно химически инертными и дешевыми в производстве. В большинстве вышеуказанных применений углеродсодержащий материал контактирует с электролитом на водной основе, и функциональность устройств во многом определяется физико-химическими процессами, протекающими на возникающей границе раздела. Вместе с тем, строение границы раздела между поверхностью электрода из углеродных материалов, в том числе графита, и водными растворами электролитов различной природы довольно сложное. Надо также отметить, что электрохимические измерения на графитовых электродах – весьма сложная экспериментальная задача. Следствием этого является тот факт, что, несмотря на очевидную привлекательность в качестве объекта исследования, строение этой границы раздела изучено далеко не полно. Результаты исследований на таких электродах сильно зависят от метода их синтеза и подготовки к измерениям. Как следует из анализа многочисленных литературных данных, интерпретация экспериментального материала зачастую затруднена рядом обстоятельств методического характера (в первую очередь, способом получения и подготовки к эксперименту различных видов графитовых материалов), а также сложностями при разработке моделей, позволяющих полно и адекватно описать экспериментальные данные (см. обзор [1] и ссылки в нем, а также, например, работы [2, 3]).
В литературе отмечается довольно существенный разброс результатов емкостных исследований строения двойного электрического слоя (ДЭС) даже на электродах, приготовленных из одного и того же углеродного материала. Так, например, в известных и многократно цитируемых работах [4, 5] сравниваются результаты измерений емкости двойного слоя на идентичных графитовых электродах и обсуждаются возможные причины существенного расхождения результатов разных авторов. Среди основных причин наблюдаемых различий отмечается наличие разных по своей природе и количеству дефектов на электродной поверхности, а также возможное присутствие следов аморфного углерода, которые могут существенно влиять на емкостную составляющую измеряемого импеданса. Еще одна причина существенного разброса экспериментальных данных, которая характерна для большинства твердых электродов, связана с тем, что их стабильность в контакте с электролитами ограничена определенным интервалом потенциалов (“потенциальным окном”). Выходы за пределы этого интервала приводят к протеканию процессов окисления и восстановления, которые часто являются необратимыми. В случае контакта графитового электрода с водными растворами электролитов протекание таких процессов может существенно изменить структуру и состав поверхности [6, 7] и, таким образом, повлиять на результаты емкостных измерений.
Суммируя сказанное выше, важно разработать условия, которые позволили бы получить исходное (стандартное) состояние поверхности электрода, хорошо воспроизводимое от одного эксперимента к другому. Перспективным в этом отношении является использование методики электрохимических измерений на электродах, поверхность которых механически обновляется непосредственно в растворе электролита, т. е. без разрыва поляризационной цепи. Механическое обновление является очень эффективным методом стандартизации процесса формирования исходной поверхности электрода, свободной от неконтролируемых примесей (загрязнений) из раствора, и позволяет получать воспроизводимые результаты. С помощью этого метода нами были получены количественные данные о строении ДЭС на электродах из ряда металлов и сплавов различной природы, включая данные об их границе раздела как с водными, так и неводными средами (см., например, наши работы [8–14]).
В развитие исследований, начатых в [15], целью настоящей работы было получение с помощью циклической вольтамперометрии (ЦВА) и импедансного метода экспериментальных данных, характеризующих поведение механически обновляемого графитового электрода в водных растворах поверхностно-неактивного электролита. Ставилась также задача провести детальный анализ полученных данных в рамках развиваемых нами представлений об особенностях границы графитового электрода с растворами, связанных с необходимостью учета его полупроводниковых свойств. В литературе таких данных нет. В то же время они представляют очевидный интерес для понимания механизма процессов, реализуемых в различных практически важных системах.
Методическая часть
Для изготовления рабочего электрода был использован тонкоизмельченный графитовый порошок высокой чистоты марки “ос. ч.” 7–4 (для спектрального анализа, средний размер частиц 5–10 мкм). Электрод представлял собой композит эпоксидной смолы и графита и готовился по следующей методике. К графитовому порошку постепенно добавляли жидкую смесь эпоксидной смолы, содержащую отвердитель, и тщательно перемешивали до получения состава, в котором частицы графита находились в непосредственном контакте друг с другом, обеспечивая надежную проводимость образца. Соответствующие пропорции компонентов были подобраны экспериментально и составляли примерно 0.3–0.7 г эпоксидной смолы на 2 г графитового порошка. Эту смесь запрессовывали в полимерную трубку с внутренним диаметром 2 мм. Токопроводом служил медный стержень диаметром 1 мм, располагающийся внутри графитового электрода. Завершающий этап подготовки электрода (полимеризация эпоксидной смолы внутри трубки) проводился при температуре 80°С в специальной камере. Рабочей поверхностью электрода служил торец полученного таким образом стержня диаметром 2 мм. Учитывая высокую хрупкость графита, именно такая методика приготовления, разработанная в ИХТТМ СО РАН, позволила успешно решить проблему создания хорошо воспроизводимой поверхности при механическом обновлении данного электрода.
Обновление рабочей поверхности электрода осуществлялось срезанием тонкого слоя графита (~10 мкм) непосредственно в растворе электролита. Описание специальной ячейки, снабженной устройством для обновления поверхности, и особенности методики измерений на таких электродах приводятся в оригинальной работе [16], а также в наших работах [8–15].
Для приготовления растворов в качестве основного электролита использовали соль KPF6 (Sigma-Aldrich, 99.9+%), дополнительно осушенную при 100оС в течение нескольких часов, и воду, перегнанную на установке ELIX, MILLIPORE и дополнительно очищенную с помощью “Simplicity Ultrapure Water System”, MILLIPORE (удельное сопротивление получаемой воды составляло 18 МОм см). Растворы готовили в атмосфере очищенного аргона. Непосредственно перед измерениями и в ходе измерений растворы деаэрировали аргоном. В качестве электрода сравнения использовался водный насыщенный каломельный электрод (нас. к. э.), относительно которого (если не оговорено иное) приводятся результаты измерений.
Циклические вольтамперограммы (ЦВА) и зависимости составляющих электродного импеданса от потенциала (Е) и частоты переменного тока измеряли с помощью установки AUTOLAB PGSTAT 100, включающей систему FRA (Frequency Response Analyzer). Приведенные в работе величины плотности тока, составляющих импеданса и дифференциальной емкости рассчитывались на единицу истинной поверхности с учетом коэффициента шероховатости поверхности исследуемого электрода. Процедура определения коэффициента шероховатости описана в разделе “Результаты и их обсуждение”. За экспериментальные значения дифференциальной емкости и других измеряемых величин принимались результаты, усредненные по 5 последовательным срезам (обновлениям) рабочего электрода. Воспроизводимость результатов составляла 5–7%.
Результаты и их обсуждение
На этапе предварительных исследований на механически обновленной поверхности графитового электрода измерялись ЦВА-кривые в водных растворах KPF6, NaBF4 и LiClO4 разных концентраций с разными скоростями развертки потенциала и пределами сканирования. Было установлено, что при сканировании Е в интервале от –0.80 до 0.20 В (кривая на рис. 1 и на вставке к этому рисунку) величины плотности тока, измеренные при скорости сканирования 50 мВ/с, не превышали нескольких десятых долей мкА/см2, т. е. величин, типичных для тока заряжения ДЭС. На рис. 1 приведена также ЦВА-кривая, измеренная в более широкой области потенциалов. Как видно, сканирование потенциала в диапазоне от –1.2 до 0.4 В приводит при Е < –0.9 B к резкому росту катодного тока, связанного с началом реакции выделения водорода, и появлению небольших пиков тока при 0.35 В (анодный скан) и 0.20 В (катодный скан) в области положительных потенциалов. Поскольку природа пиков тока, наблюдаемых на ЦВА-кривых в области положительных потенциалов, нами не исследовалась, можно лишь высказать предположение об их связи с редокс-процессами, в которых участвуют присутствующие на поверхности графитового электрода функциональные группы. При этом важно отметить, что в указанном выше более узком диапазоне потенциалов эти, по-видимому, пришитые к графиту функциональные группы не проявляют редокс- активности. Отметим также, что, как следует из результатов нашей предыдущей работы, выполненной на обновляемом графитовом электроде [15], окно стабильности (область потенциалов, в которой отсутствуют фарадеевские процессы) аналогично приготовленного графитового электрода в растворах на основе пропиленкарбоната было заметно шире.
Рис. 1. ЦВА-зависимости, измеренные в узкой (от –0.8 до 0.2 В) и более широкой (от –1.2 до 0.4 В) областях потенциалов на графитовом электроде в водном растворе 0.05 М KPF6 при скорости сканирования потенциала 50 мВ/с (пояснения в тексте).
На данном графитовом электроде в установленном интервале потенциалов от –0.80 до 0.20 В, характеризующемся малыми величинами плотности тока и отсутствием пиков редокс-активности на ЦВА-зависимостях, проводились измерения спектров импеданса. В качестве примера на рис. 2 приведены диаграммы Найквиста, полученные на обновляемом графитовом электроде в водном растворе 0.05 M KPF6 при трех потенциалах в области частот от 0.5 до 2000 Гц. Измерения проводились в указанной области при 30 частотах, значения которых программа прибора автоматически распределяла в логарифмической шкале (некоторые значения частот показаны на рис. 2). Как видно, поведение электрода в этой области потенциалов близко к поведению идеально поляризуемого электрода. Об этом свидетельствует тот факт, что экспериментальные спектры представляют собой близкие к прямолинейным линии с наклоном (83–86°), лишь немного меньшим 90°. Исходя из предположения, что в исследованном интервале потенциалов на графитовом электроде не протекают фарадеевские процессы, небольшие отклонения наклона линейных Z ʺ, Z ʹ-зависимостей от 90° мы связываем, прежде всего, с существенной шероховатостью поверхности графитового электрода. Дополнительной аргументацией в пользу такой интерпретации являются данные сканирующей электронной микроскопии, полученные на образце, используемом для измерений (см. рис. 3 в нашей работе [15]).
Рис. 2. Диаграммы Найквиста на обновляемом графитовом электроде в растворе 0.05 М KPF6, измеренные при трех значениях потенциала (указаны на рисунке) в области идеальной поляризуемости. Точки – экспериментальные данные, сплошные линии – результаты расчета в рамках эквивалентной схемы, показанной на вставке (пояснения в тексте).
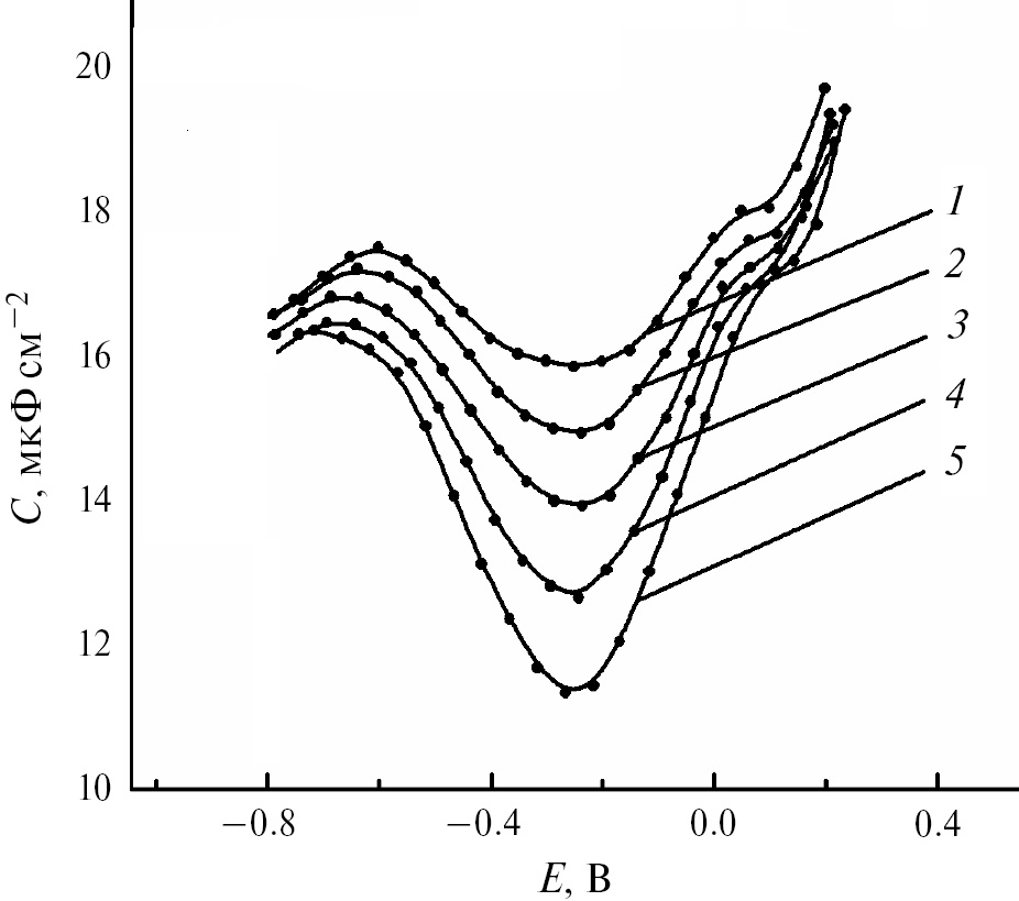
Рис. 3. (а) Рассчитанные из импедансных диаграмм зависимости емкости двойного электрического слоя графитового электрода (отнесенные к единице видимой поверхности) от потенциала в водных растворах KPF6 разной концентрации, М: (1) 0.2, (2) 0.1, (3) 0.05, (4) 0.025, (5) 0.0125; (б) зависимость Парсонса-Цобеля, построенная из данных при потенциале минимума (т. е. при Eσ = 0).
Для количественного анализа экспериментальных диаграмм использовалась программа “ZVIEW2” [17]. Как следует из рис. 2, полученные спектры могут быть с хорошим приближением описаны приведенной на вставке к этому рисунку простой эквивалентной схемой, состоящей из последовательно соединенных элементов: сопротивления электролита Rs и элемента постоянного сдвига фазы (СРЕ), который замещает емкость двойного электрического слоя C. Иными словами, поведение обновляемого графитового электрода может быть описано схемой идеально поляризуемого электрода с границей, имеющей фрактальные характеристики. В этом случае импеданс СРЕ (ZCPE) может быть выражен как [18]:
, (1)
где Q – константа, размерность которой Ф см–2, ω = 2πf – круговая частота [c–1], f – частота переменного тока [Гц], α – безразмерная величина, связанная с углом поворота (γ) экспериментальной прямолинейной зависимости Z ʺ – Z ʹ относительно прямой линии, отвечающей на диаграмме Найквиста чисто емкостному сопротивлению, т. е. γ = 90°(1–α). В случае, когда α = 1, = С. Величина j в соотношении (1) – мнимая единица. Величины емкости С рассчитывались из импедансных диаграмм, измеренных при выбранных значениях потенциала в растворах разной концентрации KPF6. Для этого применялся описанный в [18, 19] традиционный метод, который ранее успешно использовался нами (см., например, [15, 20]) и который базируется на соотношении:
Q = C αRs–(1–α). (2)
В табл. 1 показаны результаты расчета элементов эквивалентной схемы, описывающей поведение обновляемого графитового электрода в 0.05 М KPF6. Определенным дополнительным аргументом в пользу корректности использованной модели являются весьма малые величины погрешностей рассчитанных значений параметров Rs, Q, α и C, составившие в среднем 2.5, 4, 1 и 4% соответственно (абсолютные величины погрешностей, которые были получены при расчетах этих параметров, приведены в таблице). Следует также обратить внимание на высокую точность рассчитанных величин Rs, среднее значение которых в исследованной области потенциалов составило 15.4 ± 0.4 Ом см2. Практическое постоянство вычисленных значений Rs свидетельствует о том, что, хотя отрезок, отсекаемый на оси абсцисс рис. 2 экспериментальными кривыми при частоте f → ∞, действительно малозаметная величина при выбранном масштабе по осям координат, считать эту величину пренебрежимо малой нельзя. На рис. 3 приведены зависимости рассчитанных величин емкости двойного слоя от потенциала на механически обновляемом графитовом электроде в растворах KPF6 нескольких концентраций. Как видно, эти зависимости характеризуются наличием хорошо выраженного минимума при E = –0.24 ± 0.02 В, глубина которого увеличивается по мере разбавления раствора. Поскольку потенциал минимума практически не зависит от концентрации электролита, есть основания полагать, что анионы и катионы электролита на поверхности графитового электрода в рассматриваемой области потенциалов не проявляют специфическую адсорбируемость, а потенциал минимума отвечает положению потенциала нулевого заряда (Eσ = 0) нашего графитового электрода в растворе поверхностно-неактивного электролита.
Таблица 1. Рассчитанные параметры эквивалентной схемы, моделирующей поведение составляющих импеданса обновляемого графитового электрода в 0.05 М KPF6 при нескольких потенциалах в области идеальной поляризуемости. Параметры приведены в расчете на единицу видимой поверхности электрода
Е, В | Rs, Ом см2 | Q, мкФ см–2 сα–1 | α | C, мкФ см–2 |
0.2 | 14.9 ± 0.3 | 196 ± 7 | 0.97 ± 0.01 | 163 ± 5 |
–0.2 | 15.3 ± 0.4 | 143 ± 5 | 0.97 ± 0.01 | 118 ± 4 |
–0.5 | 15.6 ± 0.5 | 154 ± 7 | 0.98 ± 0.01 | 136 ± 6 |
–0.7 | 15.8 ± 0.4 | 171 ± 6 | 0.97 ± 0.01 | 142 ± 5 |
–0.8 | 15.6 ± 0.3 | 176 ± 7 | 0.96 ± 0.01 | 138 ± 5 |
В пользу приведенной выше трактовки наблюдаемых минимумов емкости на С, Е-кривых свидетельствуют также результаты, полученные в ходе анализа этих зависимостей в рамках классической модели ДЭС. Для этого по методу Парсонса-Цобеля [21] была построена зависимость 1/С от 1/Сd, где С – рассчитанные из экспериментальных данных по формуле (2) значения емкости (см. рис. 3а) при потенциале минимума, а 1/Сd – рассчитанные на основе теории Гуи–Чапмена емкости диффузной части ДЭС при σ = 0 и разных концентрациях электролита. Из рис. 3б следует, что зависимость 1/С от 1/Сd является прямолинейной, т. е. поведение графитового электрода находится в согласии с классической феноменологической теорией ДЭС Гуи–Чапмена–Штерна–Грэма [22] при соответствующих концентрациях KPF6. В этих условиях тангенс угла наклона 1/С, 1/Сd-зависимости представляет собой величину, обратную коэффициенту шероховатости поверхности электрода. В нашей системе, с учетом погрешности измерений, этот коэффициент оценивается величиной ~8.5 ± 0.2. На рис. 4 показаны емкостные кривые на обновляемом графитовом электроде, пересчитанные из зависимостей на рис. 3а с учетом коэффициента шероховатости, т. е. отнесенные к истинной величине поверхности. Именно эти зависимости использовались нами в ходе дальнейшего анализа полученных данных.
Рис. 4. Рассчитанные из импедансных диаграмм зависимости емкости ДЭС графитового электрода (отнесенные к единице истинной поверхности) от потенциала в водных растворах KPF6 разной концентрации, М: (1) 0.2, (2) 0.1, (3) 0.05, (4) 0.025, (5) 0.0125.
Наряду с отмеченным выше согласием приведенных на рис. 3 и 4 зависимостей, полученных в растворах KPF6, с классической теорией ДЭС следует указать, что, по сути, аналогичные зависимости были получены в растворах NaBF4. В то же время, измерения в растворах LiClO4 на графитовом электроде показали, что с ростом концентрации соли наблюдается небольшое смещение потенциала минимума в сторону более отрицательных значений. Последнее, очевидно, свидетельствует о некоторой специфической адсорбируемости анионов ClO4– на данном электроде. В этой связи детально в настоящей работе анализировались лишь результаты, полученные в растворах KPF6.
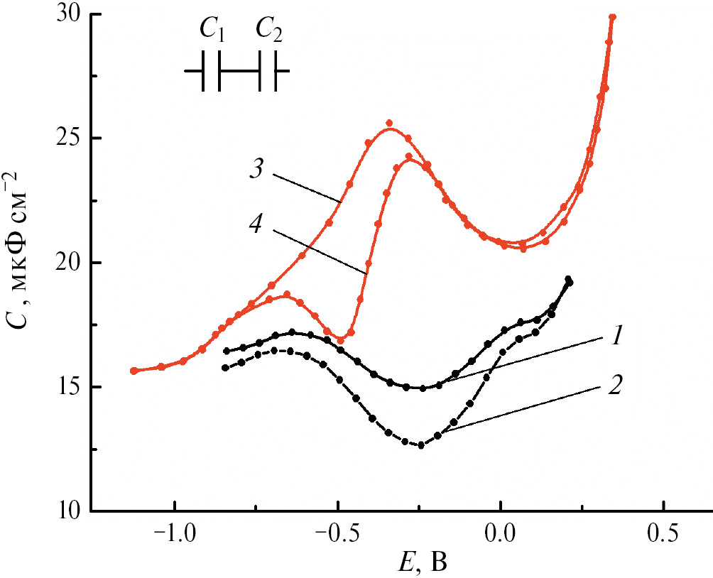
Принципиальной особенностью емкостных кривых, измеренных на графитовом электроде в растворах поверхностно-неактивного электролита, является тот факт, что эти зависимости весьма существенно отличаются от емкостных кривых, наблюдаемых на ртутеподобных металлах. Указанные отличия состоят в том, что, во-первых, при потенциалах положительнее Eσ = 0 величины емкости на графитовом электроде примерно в 1.5–2 раза ниже, чем на Hg-электроде и электродах из других s, p-металлов, а во-вторых, наблюдаемые минимумы емкости на графите выглядят существенно более сильно растянутыми по оси потенциалов, чем это характерно для электродов из ртутеподобных металлов. Указанные особенности хорошо видны на рис. 5, на котором сопоставлены емкостные кривые на нашем графитовом электроде (зависимости 1 и 2) с известными (классическими) результатами прецизионных измерений, представленных в работе Р. Парсонса и сотр. [23], на ртутном электроде в растворах KPF6 тех же концентраций (кривые 3 и 4).
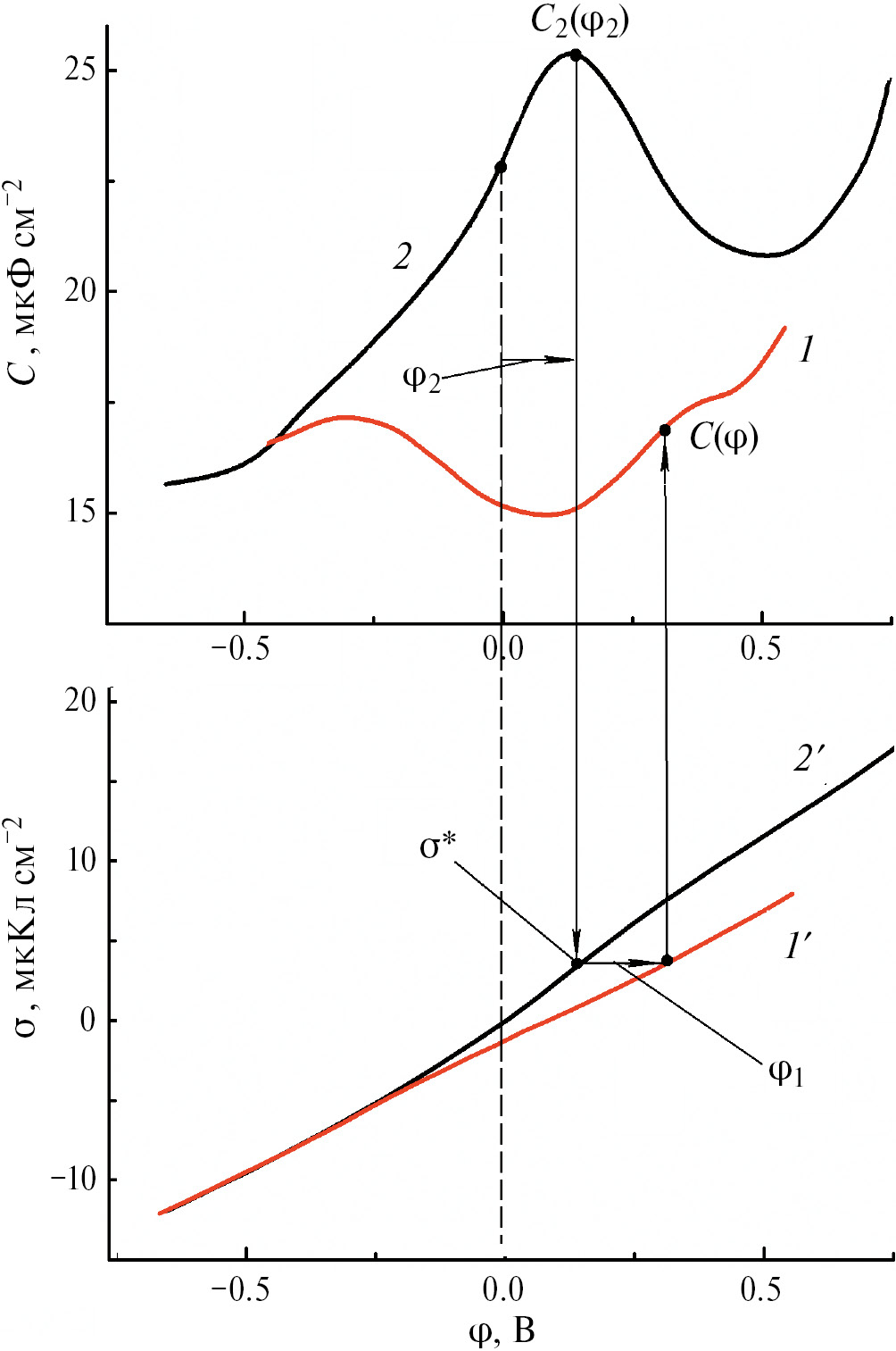
Рис. 5. Сопоставление рассчитанных с учетом коэффициента шероховатости С, Е-зависимостей на графитовом электроде в растворах KPF6 следующих концентраций, М: (1) 0.1, (2) 0.025 с С, Е-зависимостями, приведенными в [23], на ртутном электроде (3, 4) в аналогичных растворах. На вставке показана эквивалентная схема, моделирующая строение границы полупроводникового электрода с раствором поверхностно-неактивного электролита, где С1 – емкость, характеризующая приповерхностный слой электрода (область пространственного заряда), а С2 – емкость двойного слоя на границе электрода с электролитом, которая может быть представлена в виде последовательно соединенных емкостей плотного и диффузного слоев.
Кроме отмеченных выше особенностей С, Е-кривых на графитовом электроде, из данного рисунка видно, что по мере смещения потенциала к более отрицательным величинам разница между емкостными кривыми на графитовом и ртутном электродах заметно сокращается и при смещении в область значительных отрицательных зарядов поверхности (σ < –5 мкКл/см2) практически исчезает. Иными словами, при отрицательных зарядах поверхности графитовый электрод по своим свойствам близок к ртутному. Аналогичный эффект мы наблюдали в нашей предыдущей работе при сопоставлении емкостных кривых на графите с аналогичными кривыми на ртутеподобных металлах в растворах на основе пропиленкарбоната [15]. В ней было высказано и обосновано предположение, что заниженные значения измеряемой емкости на графитовом электроде по сравнению с аналогичными величинами на ртутном и других электродах из s, p-металлов при Eσ = 0 и потенциалах, отвечающих положительным зарядам поверхности, связаны с полупроводниковыми свойствами графитового электрода.
Отметим, что впервые подобные эффекты были зафиксированы в работе Б.Б. Дамаскина (с коллегами из Тартуского университета, Эстония) на Bi-электроде и были качественно интерпретированы в [24] с точки зрения полупроводниковых свойств этого металла. Авторы [24] предположили, что общее падение потенциала на границе раздела Bi с водными растворами KF включает в себя две составляющие, а именно, падение потенциала в приповерхностном слое электрода (слое объемного заряда) и скачок на границе электрода с раствором электролита, т. е. в двойном слое. В этих условиях измеряемая емкость представляет собой суммарную емкость двух последовательно соединенных конденсаторов (см. вставку на рис. 5), характеризующих область объемного заряда (С1) и двойной слой на границе висмута с раствором электролита (С2). Очевидно, что эта суммарная емкость будет меньше емкости ДЭС на границе электрод/электролит.
В рамках рассмотренной выше модели границы полупроводникового электрода с электролитом Х. Геришером и сотр. [25] на примере графитового электрода была предложена оригинальная методика количественной обработки результатов емкостных измерений. Основная идея базировалась на том, что для описания ДЭС на границе графитового электрода с раствором (т. е., емкости С2 на вставке к рис. 5) авторы [25] предложили использовать С, Е-кривую для ртутного электрода в том же растворе, сместив ее по оси потенциалов до совпадения минимума емкости с положением Eσ = 0 графитового электрода. Используя данный подход, из величин экспериментально измеренной суммарной емкости (С) на границе графитовый электрод/электролит и емкости ДЭС на модельной границе графита с раствором (С2) можно рассчитать зависимость емкости области объемного заряда (С1) от скачка потенциала в этой области.
Базируясь на основной идее, высказанной в [25], в нашей работе [15] была предложена более обоснованная, на наш взгляд, методика обработки и анализа экспериментальных емкостных кривых. Не вдаваясь в детали, изложенные в [15], суть нашего подхода применительно к данным, полученным в настоящей работе, заключается в том, что, моделируя ДЭС на графитовом электроде с помощью емкостной кривой на ртутном электроде, мы сдвигаем последнюю в область более положительных потенциалов не до совпадения ее минимума с положением Eσ = 0 графитового электрода, а лишь на величину ΔW/e, где ΔW = (WGr – WHg) – разность между работами выхода электрона из графита и ртути. Основанием для такого подхода служат следующие соображения. Если, проинтегрировав экспериментальные С, Е-кривые на графитовом и ртутном электродах, построить зависимости σ – Е, где σ – заряд двойного слоя, то можно установить, что при зарядах отрицательнее –5 мкКл/см2 они практически параллельны. При этом зависимость σ – Е на ртутном электроде в этой области зарядов оказывается сдвинутой в катодном (отрицательном) направлении примерно на ~0.11 В относительно аналогичной зависимости на графитовом электроде. Такое расположение наблюдаемых σ, Е-зависимостей хорошо согласуется с представлениями, развитыми в известных работах А.Н. Фрумкина с сотр. (см. главы 7, 8 в [26]) и подробно проанализированными в [27–29]. Согласно этим представлениям, в условиях идеальной поляризуемости и предполагаемого отсутствия хемосорбционного взаимодействия поверхности электродов из разных s, p-металлов с молекулами растворителей, при одинаковых относительно больших отрицательных зарядах поверхности разность потенциалов между σ, Е-зависимостями адекватно коррелирует с разностью величин работ выхода электрона из этих металлов.
Согласно [30], величина работы выхода для ртути WHg составляет 4.52 эВ. К сожалению, для графита величины WGr, представленные в литературе (см., например [31–33]), характеризуются довольно широким разбросом (от 4.5 до 4.8 эВ), что связано с существенным влиянием на его свойства методов получения образцов и методов их подготовки к измерениям. В этих условиях мы можем лишь констатировать, что наблюдаемая величина разности потенциалов ~0.11 В между σ, Е-зависимостями графитового и ртутного электродов при одинаковых значительных отрицательных зарядах поверхности (< –5 мкКл/см2) не противоречит литературным данным о разнице между величинами работ выхода электрона для графита и ртути.
Если предположить, что в условиях идеальной поляризуемости суммарный скачок потенциала φ между графитом и водным раствором KPF6 включает две составляющие: скачок φ1 в области пространственного заряда и φ2 – скачок в двойном слое, то измеряемая емкость С(φ) (см. вставку на рис. 5) может быть представлена в виде двух последовательно соединенных конденсаторов C1(φ1) и C2(φ2), отвечающих, соответственно, емкости области объемного заряда и емкости двойного слоя на границе графит/раствор:
. (3)
На рис. 6. представлены зависимости емкости и заряда (рассчитанного интегрированием емкостных кривых) от потенциала φ, отсчитанного от потенциала нулевого заряда ртутного электрода, моделирующего границу графитового электрода с электролитом (его положение отмечено пунктиром). Таким образом, кривые 1 и 1 ʹ на рисунке относятся к экспериментальным данным, а 2 и 2 ʹ – к зависимостям, которые моделируют строение двойного слоя на границе графит/электролит.
Рис. 6. Зависимости емкости (1, 2) и заряда (1 ʹ, 2 ʹ) ДЭС от потенциала φ в 0.1 М KPF6 на обновляемом графитовом электроде (1 и 1 ʹ) и ртутном электроде (2 и 2 ʹ), моделирующем границу графитового электрода с раствором электролита.
Расчет зависимостей емкости области объемного заряда (C1) от φ1 (отметим, что при выполнении этих расчетов для описания границы графитового и, соответственно, ртутного электродов с раствором электролита не было необходимости разбивать емкость С2 на емкости плотного и диффузного слоев) проводился следующим образом: на емкостной кривой 2 бралась произвольная точка C2(φ2). Этому значению емкости на границе графит/раствор отвечает заряд σ* на кривой 2 ʹ. Поскольку заряды на последовательно соединенных конденсаторах одинаковы, величине σ* отвечает суммарный скачок потенциала φ в двойном слое и в области объемного заряда, т. е. φ = φ1 + φ2 на кривой 1 ʹ, которому в свою очередь соответствует суммарная емкость С(φ). С помощью этой методики были рассчитаны зависимости скачков потенциала φ1 и φ2 от φ (рис. 7), а также зависимости емкости области объемного заряда (C1) от скачка потенциала в этой области φ1 в растворах разной концентрации KPF6 (рис. 8). Зависимости C1 – φ1 рассчитывали, используя вытекающее из соотношения (3) уравнение:
. (4)
Рис. 7. Зависимости потенциалов φ1 (1) и φ2(2) от суммарного скачка потенциала φ.
Как следует из рис. 7, в рассматриваемом интервале потенциалов величина φ1 положительна (т. е. графит является полупроводником n-типа) и увеличивается по мере смещения φ в положительную сторону. Это свидетельствует о том, что вклад скачка потенциала в поверхностном слое графита в общий скачок потенциала между электродом и раствором электролита увеличивается в том же направлении. И наоборот, при смещении φ в отрицательную сторону величина φ1 уменьшается и φ2 → φ. Зависимость φ2 от φ проходит через ноль при потенциале нулевого заряда графитового электрода.
На рис. 8а представлены результаты расчета зависимостей C1 от φ1, выполненные для тех же двух концентраций электролита, приведенных на рис. 5. Как видно, при смещении φ1 в положительном направлении (что соответствует сдвигу потенциала φ в ту же сторону) наблюдается монотонное снижение емкости C1 от весьма больших значений к величинам, сопоставимым с емкостями двойного слоя на ртутном электроде и электродах из других s, p-металлов в водных растворах индифферентных электролитов [34, 35]. Очевидно, что результатом такого изменения C1 от φ1 является, с одной стороны, приближение измеряемой емкости C к емкости C2 при наиболее отрицательных потенциалах. С другой стороны, ему должно отвечать значительное снижение измеряемой емкости графитового электрода (по сравнению с емкостями двойного слоя на ртутном электроде и электродах из других s, p-металлов) по мере смещения потенциала в область более положительных значений. Отметим, что именно такие зависимости наблюдаются нами на C, Е-кривых, измеряемых на обновляемом графитовом электроде.
Рис. 8. Рассчитанные зависимости (a) C1 – φ1 на обновляемом графитовом электроде в растворах KPF6 разных концентраций (показаны на рисунке); (б) те же зависимости в координатах Мотта–Шоттки.
Еще одной особенностью экспериментальных С, Е-зависимостей, фиксируемых на графитовом электроде, является наличие на них минимума (рис. 4) при Eσ = 0 в достаточно концентрированных растворах электролита, в которых такие минимумы на ртутном электроде (см. рис. 5 и 6) и на электродах из других s, p-металлов не наблюдаются. Эта особенность также, на наш взгляд, связана с влиянием емкости области пространственного заряда на суммарную емкость графитового электрода. Действительно, снижение измеряемой емкости С, связанное с последовательным присоединением емкости C1 (примерно постоянной величины при потенциалах вблизи φ1 = 0.08 В) к емкости С2 границы электрод/раствор, которая может быть представлена в виде последовательно соединенных емкостей плотного и диффузного слоев, формально эквивалентно эффекту снижения емкости плотной части ДЭС. Экспериментальные данные и расчеты показывают, что в подобных условиях минимумы емкости, связанные с максимальной диффузностью ДЭС при Eσ = 0, могут наблюдаться и в достаточно концентрированных растворах электролитов. При этом указанные минимумы являются менее выраженными и более растянутыми вдоль оси потенциалов. В качестве примера подобных систем могут быть приведены результаты исследований строения ДЭС на ряде металлов (см. [11, 36–38] и ссылки в этих работах) в условиях их сильного хемосорбционного взаимодействия с молекулами растворителей, приводящего к значительному снижению величин емкости плотной части ДЭС.
Изменение состава (концентрации) электролита несколько изменяет распределение суммарного скачка потенциала φ между областью пространственного заряда графитового электрода и на его границе с раствором. Вместе с тем, состав электролита не должен влиять на зависимость C1 от φ1. Очевидно, что это условие будет соблюдаться, если емкостные кривые ртутного электрода, в качестве модели границы графит/электролит, действительно корректно характеризуют специфику взаимодействия графита с растворами электролитов. Как видно из рис. 8а, в пределах экспериментальной погрешности рассчитанные зависимости C1 – φ1 действительно не зависят от концентрации электролита.
На рис. 8б рассчитанные зависимости C1 от φ1 показаны в координатах Мотта–Шоттки, т. е. C1–2 – φ1 [39]. Условно, по характеру этих зависимостей, можно выделить следующие две области потенциалов (обозначены I и II на рис. 8б). Область I характеризуется наличием интервала потенциалов, в котором величина C1–2 является линейной функцией φ1. Исходя из параметров этой прямой линии, можно получить важные характеристики полупроводникового материала, используемого в качестве электрода. Так, точка пересечения этой линии с абсциссой дает потенциал плоских зон φfb, который составляет ~0.01 В, а концентрация носителей заряда в зоне проводимости N, рассчитанная из тангенса угла наклона этой линии b по соотношению:
, (5)
где ε = 10–15, ε0 = 8.854×10–12 Ф/м, e = 1.6×10–19 Кл, оказалась равной довольно высокому значению ~2.3×1019 см–3. Отметим, что полученная величина концентрации носителей заряда в зоне проводимости нашего графитового электрода не противоречит литературным данным, получаемым независимыми методами. Она достаточно близка к N, характерным для известных высоколегированных полупроводников, и примерно на 3–4 порядка меньше, чем у обычных металлов, для которых N по порядку величины составляет 1023–1024 см–3. На наш взгляд, используемый в работе графитовый электрода по своим характеристикам близок к висмутовому электроду [24]. Высокое значение величины N свидетельствует о том, что полупроводниковые свойства графитового электрода проявляются лишь при положительных зарядах его поверхности и при потенциалах, близких к Eσ = 0, а при отрицательных зарядах он ведет себя как обычный металлический электрод.
В области потенциалов II, отвечающей значительным положительным зарядам поверхности графитового электрода, линейный ход зависимостей C1–2 – φ1 нарушается. Подобные отклонения от линейности наблюдаются для многих полупроводниковых систем. Основной причиной такого поведения зависимостей C1–2– φ1 является, на наш взгляд, тот факт, что емкость С1 области объемного заряда не может стремиться к нулю при смещении потенциала φ1 в положительном направлении, т. е. ограничена определенной величиной. Другая возможная причина связана с тем, область потенциалов II характеризуется наличием так называемых “горбов” на емкостных кривых ртутного электрода, который используется нами в качестве модели для описания двойного слоя на границе графитового электрода с раствором. В литературе представлены результаты известных экспериментальных и теоретических исследований, посвященных детальному анализу возможных причин появления этих “горбов” на емкостных кривых. Так, в [40] их появление связывается с хемосорбционным взаимодействием молекул воды с металлами при высоких положительных зарядах поверхности, а в [23] с наличием эффекта специфической адсорбции анионов PF6– в этих условиях. Вполне вероятно, что неучет этих особенностей строения границы ртутного электрода с водными растворами KPF6 при высоких положительных потенциалах является дополнительным осложняющим фактором, который приводит к наблюдаемым отклонениям от линейности зависимостей C1–2– φ1.
Заключение
Показано, что разработанная в ИХТТМ СО РАН методика приготовления графитового электрода для проведения электрохимических измерений в условиях механического обновления поверхности позволяет получать надежные и хорошо воспроизводимые данные о строении его границы раздела с растворами электролитов.
Установлено, что принципиальной особенностью графитового электрода являются его полупроводниковые свойства. При анализе результатов импедансных измерений это приводит к необходимости учета падения потенциала в поверхностном слое данного электрода (т. е. в области пространственного заряда). Именно этой особенностью объясняются весьма низкие величины измеряемой дифференциальной емкости при потенциалах, близких к Eσ = 0 и отвечающих положительным зарядам поверхности.
Реализована новая методика обработки емкостных кривых, которая позволила рассчитать зависимость емкости в области пространственного заряда графитового электрода от скачка потенциала. Показано, что в условиях отсутствия специфической адсорбции аниона PF6– , полученная зависимость вполне удовлетворительно описывается в рамках характерной для полупроводниковых материалов модели Мотта–Шоттки. Получены оценки потенциала плоских зон (0.01 В) и концентрации носителей заряда в зоне проводимости (2.3×1019 см–3) исследованного графитового материала.
Благодарности
Настоящее исследование поддержано Программой развития Московского государственного университета имени М.В. Ломоносова, тема № AAAA-A21-121011590088-4. Мы также выражаем глубокие благодарности сотруднику ИХТТМ СО РАН к. х. н. А.Г. Зелинскому за приготовление графитового электрода для измерений в условиях механического обновления и сотруднику кафедры электрохимии Химического факультета МГУ имени М.В. Ломоносова Э.Е. Левину за измерения на сканирующем электронном микроскопе.
Конфликт интересов
Авторы заявляют, что у них нет конфликта интересов.
About the authors
V. А. Safonov
M.V. Lomonosov Moscow State University
Author for correspondence.
Email: safon@elch.chem.msu.ru
Faculty of Chemistry
Russian Federation, MoscowМ. A. Choba
M.V. Lomonosov Moscow State University
Email: safon@elch.chem.msu.ru
Faculty of Chemistry
Russian Federation, MoscowReferences
- Elliott, J.D., Papaderakis, A.A., Dryfeb, R.A.W., and Carbone, P., The electrochemical double layer at the graphene/aqueous electrolyte interface: what we can learn from simulations, experiments, and theory, Mater. Chem. C, 2022, vol. 10, 15225. https://doi.org/10.1039/d2tc01631a
- Kim, C.-H., Pyun, S.-I., and Kim, J.-H., An investigation of the capacitance dispersion on the fractal carbon electrode with edge and basal orientations, Electrochim. Acta, 2003, vol. 48, p. 3455. https://doi.org/10.1016/S0013-4686(03)00464-X
- Lobato, B., Suarez, L., Guardia, L., and Centeno, T.A., Capacitance and surface of carbons in supercapacitors, Carbon, 2017, vol. 122, p. 434. https://doi.org/10.1016/j.carbon.2017.06.083
- Randin, J.-P. and Yeager, E., Differential Capacitance Study of Stress-Annealed Pyrolytic Graphite Electrodes, J. Electrochem. Soc., 1971, vol. 118(5), p. 711. https://doi.org/10.1149/1.2408151
- Randin, J.-P. and Yeager, E., Differential Capacitance Study on the Basal Plane of Stress-Annealed Pyrolytic Graphite, J. Electroanal. Chem. Interfacial Electrochem., 1972, vol. 36(2), p. 257. https://doi.org/10.1016/S0022-0728(72)80249-3
- Goss, C.A., Brumfield, J.C., Irene, E.A., and Murray, R.W., Imaging the Incipient Electrochemical Oxidation of Highly Oriented Pyrolytic Graphite, Anal. Chem., 1993, vol. 65(10), p. 1378. https://doi.org/10.1021/ac00058a014
- Panzer, R.E. and Elving, P.J., Nature of the Surface Compounds and Reactions Observed on Graphite Electrodes, Electrochim. Acta, 1975, vol. 20(9), p. 635. https://doi.org/10.1016/0013–4686(75)90061–4
- Сафонов, В.А., Чоба, М.А., Булеев М.И. Кинетика поверхностной сегрегации атомов висмута на границе механически обновляемого электрода из сплава Ag-Bi с раствором поверхностно-неактивного электролита. Электрохимия. 2012. Т. 48. С. 181. [Safonov, V.A., Choba, M.A., and Buleev, M.I., Kinetic of surface segregation of bismuth atoms at the interface of a mechanically renewable Ag-Bi alloy electrode with a surface-inactive electrolyte solution, Russ. J. Electrochem., 2012, vol. 48, p. 163.] https://doi.org/10.1134/S1023193512020152
- Safonov, V.A. and Choba, M.A., Modeling of Surface Segregation Effects Observed on Renewed Electrodes of Eutectic Alloys, Z. Phys. Chem., 2013, vol. 227(8), p. 1159. https://doi.org/10.1524/zpch.2013.0363
- Safonov, V.A., Choba, M.A., and Petrii, O.A., The difference between interfaces formed by mechanically renewed gold and silver electrodes with acetonitrile and aqueous solutions, J. Electroanal. Chem., 2018, vol. 808, p. 278. https://doi.org/10.1016/j.jelechem.2017.12.020
- Safonov, V.A., Сhoba, M.A., and Dolov, M.S., Specific features of the interaction of the surface of mechanically renewable aluminum electrode with molecules of aprotic solvents, J. Electroanal. Chem., 2019, vol. 851, p. 113456. https://doi.org/10.1016/j.jelechem.2019.113456
- Safonov, V.A. and Сhoba, M.A., Structure of interfaces on mechanically renewed Sn, Pb, and Sn-Pb electrodes in acetonitrile solutions of surface inactive electrolytes, J. Electroanal. Chem., 2022, vol. 904, p. 115951. https://doi.org/10.1016/j.jelechem.2021.115951
- Safonov, V.A. and Сhoba, M.A., Structure of the interface between a renewable Sn electrode and propylene carbonate solutions, Mendeleev Commun., 2023, vol. 33, p. 726. https://doi.org/10.1016/j.mencom.2023.09.043
- Safonov, V.A. and Сhoba, M.A., Electrical double layer at the interface of a Pb electrode with propylene carbonate solutions, Mendeleev Commun., 2024, vol. 34, p. 85. https://doi.org/10.1016/j.mencom.2024.01.025
- Safonov, V.A., Сhoba, M.A., and Dolov, M.S., Specific features of the interaction of a mechanically renewable graphite electrode with solutions based on propylene carbonate, J. Electroanal. Chem., 2020, vol. 870, p. 114174. https://doi.org/10.1016/j.jelechem.2020.114174
- Зелинский, А.Г., Бек, Р.Ю. Твердый электрод с обновляемой путем среза поверхностью. Электрохимия. 1985. Т. 21. С. 66. [Zelinskii, A.G. and Bek, R.Y., Solid electrodes with surfaces renewed by cutting, Sov. Electrochem., 1985, vol. 21, p. 62.]
- MacDonald, J.R., ZVIEW (Version 2.2) for Fitting Program, LEVM 6.0.
- Lasia, A., in: Modern Aspects of Electrochemistry, Conway B.E., Bockris J.OʼM. and White R.E. (Eds.), N.Y.: Kluwer Acad., Plenum Pub., 1999, vol. 32, p. 143.
- Brug, G.J., Sluyters-Rehbach, M., Sluyters, J.H., and Hamelin, A., The kinetics of the reduction of protons at polycrystalline and monocrystalline gold electrodes, J. Electroanal. Chem., 1984, vol. 181, p. 245. https://doi.org/10.1016/0368-1874(84)83633-3
- Сафонов, В.А., Чоба, М.А. Кинетика электровосстановления анионов S2O82- на механически обновляемом серебряном электроде. Электрохимия. 2017. Т. 53. С. 21. [Safonov, V.A. and Choba, M.A., Kinetics of electroreduction of S2O82—anions on mechanically renewable silver electrode, Russ. J. Electrochem., 2017, vol. 53, p. 16.]
- Parsons, R. and Zobel, F.G.K., The interface between mercury and aqueous sodium dihydrogen phosphate, J. Electroanal. Chem., 1965, vol. 9, p. 333. https://doi.org/https://doi.org/10.1016/0022-0728(65)85029-X
- Grahame, D., The Electrical Double Layer and the Theory of Electrocapillarity, Chem. Rev., 1947, vol. 41, p. 441. https://doi.org/10.1021/cr60130a002
- Baugh, L.M. and Parsons, R., The adsorption of potassium hexafluorophosphate at the mercury-water interface, J. Electroanal. Chem., 1972, vol. 40, p. 407. https://doi.org/10.1016/S0022-0728(72)80386-3
- Дамаскин, Б.Б., Пальм, У.В., Сальве, М.А. Адсорбция диполей воды и строение плотной части двойного слоя на ртутном, висмутовом и кадмиевом электродах. Электрохимия. 1976. Т. 12. С. 232. [Damaskin, B.B., Palm, U.V., and Salve, M.A., Adsorption of water dipoles and structure of compact part of double-layer on mercury, bismuth, and cadmium electrodes, Sov. Electrochem., 1976, vol. 12, p. 226.]
- Gerischer, H., McIntyre, R., Scherson, D., and Storck, W., Density of the electronic states of graphite: derivation from differential capacitance measurements, J. Phys. Chem., 1987, vol. 91, p. 1930. https://doi.org/10.1021/j100291a049
- Фрумкин, А.Н. Потенциалы нулевого заряда, М.: Наука, 1982. [Frumkin, A.N., Potentsialy nulevogo zaryada (Zero-Charge Potentials), Moscow: Nauka, 1982.]
- Damaskin, B.B., Safonov, V.A., and Petrii, O.A., Model of two limiting states for describing the properties of the electric double layer in the absence of specific adsorption of ions, J. Electroanal. Chem., 1989, vol. 258, p. 13. https://doi.org/10.1016/0022-0728(89)85158-7
- Damaskin, B.B. and Safonov, V.A., Analysis of modern phenomenological approaches toward describing the structure and properties of the electrical double layer dense part on the metal solution interface, Electrochim. Acta, 1997, vol. 42(5), p. 737. https://doi.org/10.1016/S0013-4686(96)00343-X
- Емец, В.В., Дамаскин, Б.Б. Соотношение между потенциалом нулевого заряда и работой выхода электрона для s, p-металлов. Электрохимия. 2009. Т. 45. С. 49. [Emets, V.V. and Damaskin, B.B., The relation between the potential of zero charge and work function for s, p-metals, Russ. J. Electrochem., 2009, vol. 45, p. 45.]
- Trasatti, S. and Lust, E., in: Modern Aspects of Electrochemistry, Conway, B.E., White, R.E., and Bockris, J.OʼM. (Eds.), New York, Plenum Press, 1999, vol. 33, p. 1.
- Jain, S.C. and Krishnan, K.S., The thermionic constants of metals and semi-conductors. I. Graphite, Proc. R. Soc. Lond. A, 1952, vol. 213, p. 143. https://doi.org/10.1098/rspa.1952.0116
- Simonov, P.A. and Likholobov, V.A., Physicochemical Aspects of Preparation of Carbon-Supported Noble Metal Catalysts, in: Catalysis and Electrocatalysis at Nanoparticle Surfaces, Wieckowski, A., Savinova, E.R., and Vayenas, C.G. (Eds.), CRC Press, 2003, p. 409.
- Rutʼkov, E.V., Afanasʼeva, E.Y., and Gall, N.R., Graphene and graphite work function depending on layer number on Re, Diamond & Related Materials, 2020, vol. 101, p. 107576. https://doi.org/10.1016/j.diamond.2019.107576
- Emets, V.V. and Damaskin, B.B., The structure of the electrical double layer on a liquid Pb-Ga alloy in aqueous, propylene carbonate and formamide solutions of electrolytes, J. Electroanal. Chem., 2002, vol. 528, p. 57. https://doi.org/10.1016/S0022-0728(02)00842-2
- Емец, В.В., Дамаскин Б.Б. Двойной электрический слой на жидком сплаве Sn-Ga в водных растворах. Электрохимия. 2004. Т. 40. С. 1017. [Emets, V.V. and Damaskin, B.B., Electrical double layer on liquid Sn-Ga alloy in aqueous solutions, Russ. J. Electrochem., 2004, vol. 40, p. 881.]
- Damaskin, B.B., Safonov, V.A., and Petrii, O.A., Model of two limiting states for describing the properties of the electric double-layer in the absence of specific adsorption of ions, J. Electroanal. Chem., 1989, vol. 258, p. 13. https://doi.org/10.1016/0022-0728(89)85158-7
- Petrii, O.A. and Khomchenko, I.G., Electrochemical properties of platinum and palladium electrodes in acetonitrile solutions, J. Electroanal. Chem., 1980, vol. 106, p. 277. https://doi.org/10.1016/S0022-0728(80)80174-4
- Сафонов, В.А., Соколов, С.А. Строение двойного электрического слоя на обновляемом алюминиевом электроде в диметилсульфоксидных и диметилформамидных растворах. Электрохимия. 1991. Т. 27. С. 1317. [Safonov, V.A. and Sokolov, S.A., Electric double-layer structure at the renewable aluminum electrode in dimethylsulfoxide and dimethylformamide solutions, Sov. Electrochem., 1991, vol. 27, p. 1161.]
- Gelderman, K., Lee, L., and Donne, S.W., Flat-Band Potential of a Semiconductor: Using the Mott-Schottky Equation, J. Chem. Educ., 2007, vol. 84(4), p. 685. https://doi.org/10.1021/ed084p685
- Damaskin, B.B. and Frumkin, A.N., Potentials of zero charge, interaction of metals with water, and adsorption of organic substances. III. Role of the water dipoles in the structure of the dense part of the electric double layer, Electrochim. Acta, 1974, vol. 19, p. 173. https://doi.org/10.1016/0013-4686(74)85013-9
Supplementary files
Note
The article was presented by a participant in the All-Russian Conference “Electrochemistry-2023”, held from October 23 to October 26, 2023 in Moscow at the Institute of Physical Chemistry and Electrochemistry named after A.N. Frumkin RAS.










