Catalysts for Liquid-Phase Oxidation of Organic Compounds by Hydrogen Peroxide: Homogeneous and Phase-Transfer Systems
- Authors: Pai Z.P.1, Parmon V.N.1, Bukhtiyarov V.I.1
-
Affiliations:
- Boreskov Institute of Catalysis SB RAS
- Issue: Vol 64, No 4 (2023)
- Pages: 347-383
- Section: ОБЗОР
- URL: https://journal-vniispk.ru/0453-8811/article/view/136999
- DOI: https://doi.org/10.31857/S0453881123040123
- EDN: https://elibrary.ru/RRSHQB
- ID: 136999
Cite item
Full Text
Abstract
The review presents a comparative analysis of promising homogeneous metal complex catalysts and presents the results of studies on the synthesis and determination of the structural characteristics of effective catalysts for the oxidation of organic compounds with hydrogen peroxide – Q3{PO4[WO(O2)2]4} (Q is a quaternary ammonium cation) – using methods EXAFS, SAXS, NMR, Raman and IR spectroscopy. The possibilities of using bifunctional homogeneous peroxopolyoxo complexes of metals in combination with organic cations having quaternized nitrogen under the conditions of interfacial catalysis are considered, using examples of reactions of oxidation of various classes of organic compounds with hydrogen peroxide to obtain popular products – aliphatic and aromatic epoxides, mono- and dicarboxylic acids, as well as biologically active compounds for medical and agro-industrial purposes.
About the authors
Z. P. Pai
Boreskov Institute of Catalysis SB RAS
Author for correspondence.
Email: zpai@catalysis.ru
Russia, 630090, Novosibirsk, Ac. Lavrentieva ave., 5
V. N. Parmon
Boreskov Institute of Catalysis SB RAS
Email: zpai@catalysis.ru
Russia, 630090, Novosibirsk, Ac. Lavrentieva ave., 5
V. I. Bukhtiyarov
Boreskov Institute of Catalysis SB RAS
Email: zpai@catalysis.ru
Russia, 630090, Novosibirsk, Ac. Lavrentieva ave., 5
References
- Pennemann H., Watts P., Haswell S.J., Hessel V., Löwe H. // Org. Proc. Res. Dev. 2004. V. 8. № 3. P. 422.
- Макаршин Л.Л., Пай З.П., Пармон В.Н. // Успехи химии. 2016. Т. 85. № 2. С. 139. (Makarshin L.L., Pai Z.P., Parmon V.N. // Russ. Chem. Rev. 2016. V. 85. № 2. P. 139.)
- Белецкая И.П., Анаников В.П. // Журн. органической химии. 2015. Т. 51. № 2. С. 159. (Beletskaya I.P., Ananikov V.P. // Russ. J. Org. Chem. 2015. V. 51. № 2. P. 145.)
- Пармон В.Н., Адонин Н.Ю. // Журн. органической химии. 2015. Т. 51. № 5. С. 767. (Parmon V.N., Adonin N.Yu. // Russ. J. Org. Chem. 2015. V. 51. № 5. P. 753.)
- Анаников В.П., Хемчян Л.Л., Иванова Ю.В., Бухтияров В.И., Сорокин А.М., Просвирин И.П., Вацадзе С.З., Медведько А.В., Нуриев В.Н., Дильман А.Д., Левин В.В., Коптюг И.В., Ковтунов К.В., Живонитко В.В., Лихолобов В.А., и др. // Успехи химии. 2014. Т. 83. № 10. С. 885. (Ananikov V.P., Khemchyan L.L., Ivanova Yu.V., Bukhtiyarov V.I., Sorokin A.M., Prosvirin I.P., Vatsadze S.Z., Medved’ko A.V., Nuriev V.N., Dilman A.D., Levin V.V., Koptyug I.V., Kovtunov K.V., Zhivonitko V.V., Likholobov V.A. et al. // Russ. Chem. Rev. 2014. V. 83. № 10. P. 885.)
- Политанская Л.В., Селиванова Г.А., Пантелеева Е.В., Третьяков Е.В., Платонов В.Е., Никульшин П.В., Виноградов А.С., Зонов Я.В., Карпов В.М., Меженкова Т.В., Васильев А.В., Колдобский А.Б., Шилова О.С., Морозова С.М., Бургарт Я.В. и др. // Успехи химии. 2019. Т. 88. № 5. С. 425. (Politanskaya L.V., Selivanova G.A., Panteleeva E.V., Tretyakov E.V., Platonov V.E., Nikul’shin P.V., Vinogradov A.S., Zonov Y.V., Karpov V.M., Mezhenkova T.V., Vasilyev A.V., Koldobskii A.B., Shilova O.S., Morozova S.M., Burgart Y.V. et al. // Russ. Chem. Rev. 2019. V. 88. № 5. P. 425.)
- Wang S.-S., Yang G.-Y. // Chem. Rev. 2015. V. 115. № 11. P. 4893.
- Pope M.T. Polyoxo Anions: Synthesis and Structure / In: Reference Module in Chemistry, Molecular Sciences and Chemical Engineering. Washington: Georgetown University, 2013. P. 44.
- Heravi M., Bamoharram F. Heteropolyacids as Highly Efficient and Green Catalysts Applied in Organic Transformations. Elsevier, 2022. P. 388.
- Althikrallah H., Kozhevnikova E.F., Kozhevnikov I.V. // RSC Adv. 2022. V. 12. № 4. P. 2287.
- Матвеев К.И., Жижина Е.Г., Одяков В.Ф., Пармон В.Н. // Изв. АН. Сер. хим. 1994. № 7. С. 1208.
- Жижина Е.Г., Гогин Л.Л., Родикова Ю.А., Бухтияров В.И. // Кинетика и катализ. 2021. Т. 62. № 2. С. 135. (Zhizhina E.G., Gogin L.L., Rodikova Y.A., Bukhtiyarov V.I. // Kinet. Catal. 2021. V. 62. № 2. P. 197.)
- Hill C.L. // In: Polyoxometalates: Reactivity, In Comprehensive Coordination Chemistry II: Transition Metal Groups 3–6. New York: Elsevier Science, 2004. V. 4. P. 679.
- Жижина Е.Г., Одяков В.Ф., Симонова М.В. // Кинетика и катализ. 2008. Т. 49. № 6. С. 814.
- Гогин Л.Л., Жижина Е.Г., Пай З.П. // Кинетика и катализ. 2019. Т. 60. № 1. С. 75. (Gogin L.L., Zhizhina E.G., Pai Z.P. // Kinet. Catal. 2019. V. 60. № 1. P. 69.)
- Gao Y., Julião D., Silva D.F., de Castro B., Zhao J., Balula S.S. // Mol. Cat. 2021. V. 505. P. 111515.
- Julião D., Gomes A.C., Cunha-Silva L., Valença R., Ribeiro J.C., Pillinger M., de Castro B., Gonçalves I.S., Balula S.S. // Appl. Catal. A: Gen. 2020. V. 589. P. 117154.
- Santos I.C.M.S., Balula S.S., Simões M.M.Q., Cunha-Silva L., M. Graca P.M.S., Neves, de Castro B., Cavaleiro A.M.V., Cavaleiro J.A.S. // Catal. Today. 2013. V. 203. P. 87.
- Santos I.C.M.S., Almeida Paz F.A., Simões M.M.Q., Neves M.G.P.M.S, Cavaleiro J.A.S., Klinowskic J., Cavaleiro A.M.V. // Appl. Catal. A: Gen. 2008. V. 351. № 2. P. 166.
- Venturello C., Alneri E., Ricci M. // J. Org. Chem. 1983. V. 48. P. 3831.
- Venturello C., D’Aloisio R., Bart J.C.J., Ricci M. // J. Mol. Catal. A: Chem. 1985. V. 32. P. 107.
- Venturello C., Ricci M. // J. Org. Chem. 1986. V. 51. P. 1599.
- Matoba Y., Inoue H., Akagi J., Okabayashi T., Ishii Y., Ogawa M. // Synth. Commun. 1984. V. 14. P. 865.
- Ishii Y., Yamawaki K., Ura T., Yamada H., Yoshida T., Ogawa M. // J. Org. Chem. 1988. V. 53. № 15. P. 3587.
- Sakaguchi S., Nishiyama Y., Ishii Y. // J. Org. Chem. 1996. V. 61. P. 5307.
- Kozhevnikov I.V. // Chem. Rev. 1998. V. 98. P. 171.
- Noyori R., Aoki M., Sato K. // Chem. Commun. 2003. № 16. P. 1977.
- Amini M., Haghdoost M.M., Bagherzadeh M. // Coord. Chem. Rev. 2014. V. 268. P. 83.
- Юфит С.С. Механизм межфазного катализа. М.: Изд-во Наука, 1984. 264 с.
- Яновская Л.А., Юфит С.С. Органический синтез в двухфазных системах. М.: Изд-во Химия, 1982. 184 с.
- Gibson N.A., Hosking J.N. // Aust. J. Chem. 1965. V. 18. № 1. P. 123.
- Starks C.M. // J. Am. Chem. Soc. 1971. V. 93. № 1. P. 195.
- Межфазный катализ: Химия, катализаторы и применение. Под ред. Ч.М. Старкс. М.: Изд-во Химия, 1991. 157 с.
- Островский В.А. // Соросовский образовательный журн. 2000. Т. 6. № 11. С. 30.
- Sheldon R.A. // Chem. Ind. 1992. P. 903.
- Payne G.B., Williams P.H. // J. Org. Chem. 1959. V. 24. P. 54.
- Bregeault J.-M., Vennat M., Salles L., Piquemal J.-Y., Mahha Y., Briot E., Bakala P.C., Atlamsani A., Thouvenot R. // J. Mol. Catal. A: Chem. 2006. V. 250. P. 177.
- Duncan D.C., Chambers R.C., Hecht E., Hill C.L. // J. Am. Chem. Soc. 1995. V. 117. № 2. P. 681.
- Venturello C., D’Aloisio R. // J. Org. Chem. 1988. V. 53. P. 1553.
- Salles L., Aubry C., Touvenot R., Robert F., Chottard G., Thouvenot R., Ledon H., Bregeault J.M. // New. J. Chem. 1993. V. 17. № 5. P. 367.
- Timofeeva M.N., Pai Z.P., Tolstikov A.G., Kustova G.N., Selivanova N.V., Berdnikova P.V., Brylyakov K.P., Shangina A.B., Utkin V.A. // Russ. Chem. Bull. 2003. V. 52. № 2. P. 480.
- Pai Z.P., Kochubey D.I., Berdnikova P.V., Kanazhevskiy V.V., Prikhod’ko I.Yu., Chesalov Yu.A. // J. Mol. Catal. A: Chem. 2010. V. 332. № 1–2. P. 122.
- Aubry C., Chottard G., Platzer N., Bregeault J.-M., Thouvenot R., Chauveau F., Huet C., Ledon H. // Inorg. Chem. 1991. V. 30. № 23. P. 4409.
- Вольнов И.И. Пероксокомплексы хрома, молибдена, вольфрама. М.: Изд-во Наука, 1989. 176 с.
- Пай З.П., Толстиков А.Г., Бердникова П.В., Кустова Г.Н., Хлебникова Т.Б., Селиванова Н.В., Шангина А.Б., Костровский В.Г. // Изв. АН, сер. хим. 2005. № 8. С. 1794.
- Kochubey D.I., Berdnikova P.V., Pai Z.P., Chesalov Yu.A., Kanazhevskiy V.V., Khlebnikova T.B. // J. Mol. Catal. A: Chem. 2013. V. 366. P. 341.
- Voloshin Y.Z., Varzatskii O.A., Kochubey D.I., Vorontsov I.I., Bubnov Y.N. // Inorg. Chim. Acta. 2009. V. 362. № 1. P. 149.
- Rehr J.J., Ankudinov A.L. // Radiat. Phys. Chem. 2004. V. 70. № 1–3. P. 453.
- Порай-Кошиц М.А., Атовмян Л.О. Кристаллохимия и стереохимия координационных соединений молибдена. М.: Изд-во Наука, 1974. 231 с.
- Кочубей Д.И. EXAFS-спектроскопия катализаторов. Новосибирск: Изд-во Наука, 1992. 145 с.
- Pai Z.P., Chesalov Yu.A., Berdnikova P.V., Uslamin E.A., Yushchenko D.Yu., Uchenova Yu.V., Khlebnikova T.B., Baltakhinov V.P., Kochubey D.I., Bukhtiyarov V.I. // Appl. Catal. A: Gen. 2020. V. 604. P. 117786.
- Frisch M.J., Trucks G.W., Schlegel H.B., Scuseria G.E., Robb M.A., Cheeseman J.R., Zakrzewski V.G., Montgomery J.A. Jr., Stratmann R.E., Burant J.C., Dapprich S., Millam J.M., Daniels A.D., Kudin K.N., Strain M.C. et al. Gaussian 98 (Revision A.1x). Gaussian, Inc., Pittsburgh, PA, 2001.
- Baltakhinov V.P., Yurchenko E.N., Podosenin A.V. // J. Mol. Catal. A: Chem. 2000. V. 158. № 1. P. 399.
- Ларичев Ю.В., Селиванова Н.В., Бердникова П.В., Тузиков Ф.В., Пай З.П. // Журн. структурной химии. 2020. Т. 61. № 10. С. 1652. (Larichev Yu.V., Selivanova N.V., Berdnikova P.V., Tuzikov F.V., Pai Z.P. // J. Struct. Chem. 2020. V. 61. № 10. P. 1568.)
- Ларичев Ю.В., Селиванова Н.В., Бердникова П.В., Пай З.П. // Журн. структурной химии. 2022. Т. 63. № 8. С. 95215. (Larichev Y.V., Selivanova N.V., Berdnikova P.V., Pai Z.P. // J. Struct. Chem. 2022. V. 63. № 8. P. 1215.)
- Свергун Д.И., Фейгин Л.А. Рентгеновское и нейтронное малоугловое рассеяние. М.: Изд-во Наука, 1986. 279 c. (Svergun D.I., Feigin L.A. Structure Analysis by Small-Angle X-Ray and Neutron Scattering. New-York: Plenum Press, 1987. 335 р.)
- Furukawa H., Nakamura T., Inagaki H., Nishikawa E., Imai C., Misono M. // Chem. Lett. 1988. V. 17. № 5. P. 877.
- Lee K.-Y., Itoh K., Hashimoto M., Mizuno N., Misono M. // Stud. Surf. Sci. Catal. 1994. V. 82. P. 583.
- Valentin C.D., Gisdakis P., Yudanov I.V., Rosch N. // J. Org. Chem. 2000. V. 65. № 10. P. 2996.
- Jahier C., Mal S.S., Al-Oweini R., Kortz U., Nlate S. // Polyhedron. 2013. V. 57. P. 57.
- Pai Z.P., Yushchenko D.Y., Khlebnikova T.B., Parmon V.N. // Catal. Commun. 2015. V. 71. P. 102.
- Espenson J.H., Zhu Z., Zauche T.H. // J. Org. Chem. 1999. V. 64. № 4. P. 1191.
- Пай З.П., Пармон В.Н., Бескопыльный А.М., Бердникова П.В., Тучапская Д.П. Патент РФ № 2335341, 2008.
- Пармон В.Н., Пай З.П., Оленева П.В., Бердникова П.В., Малышева Л.В. Патент РФ № 2554000, 2015.
- Бухтияров В.И., Пай З.П., Тучапская Д.П., Селиванова Н.В., Клименко А.С., Бердникова П.В., Тертишников И.В. Патент РФ № 2697582, 2019.
- Sheldon R.A., Arends I.W.C.E., Dijksman A. // Catal. Today. 2000. V. 57. № 1–2. P. 157.
- Sheldon R.A. // Chemtech. 1991. V. 21. № 9. P. 566.
- Sheldon R.A. // Top. Curr. Chem. 1993. V. 164. P. 21.
- Селиванова Н.В., Бердникова П.В., Пай З.П. // Катализ в промышленности. 2020. Т. 20. № 5. С. 344. (Selivanova N.V., Berdnikova P.V., Pai Z.P. // Catal. Indust. 2021. V. 13. № 2. P. 111.)
- Antonelli E., D’Aloisio R., Fiorani T., Venturello C. // J. Org. Chem. 1998. V. 63. № 21. P. 7190.
- Sato K., Aoki M., Noyory R. // Science. 1998. V. 281. № 5383. P. 1646.
- Pai Z.P., Selivanova N.V., Oleneva P.V., Berdnikova P.V., Beskopyl’nyi A.M. // Catal. Commun. 2017. V. 88. P. 45.
- Guo M.-L. // Green Chem. 2004. V. 6. № 6. P. 271.
- Venturello C. // J. Org. Chem. 1991. V. 56. № 20. P. 5924.
- Mrowca J.J. Patent US № 3906015, 1975.
- Mrowca J.J. Patent US № 4257973, 1981.
- Лакеев С.Н., Карчевский С.Г., Майданова И.О., Алексашев В.И. // Сб. матер. межрегиональной научно-практич. конф. “Инновационные процессы в области образования, науки и производства”. Нижнекамск. 2004. URL: http://chemteq.ru/articles/olefin.html
- Razumovskii S.D., Zaikov G.E. // Russ. Chem. Rev. 1980. V. 49. № 12. P. 1163.
- Глянц И.Р., Береснев В.В., Петухов А.А., Клочков В.В. // Журн. прикладной химии. 1993. Т. 66. № 5. С. 1179.
- Бердникова П.В., Селиванова Н.В., Оленева П.В., Пай З.П. // Катализ в промышленности. 2017. Т. 17. № 6. С. 455. (Berdnikova P.V., Selivanova N.V., Oleneva P.V., Pai Z.P. // Catal. Indust. 2018. V. 10. № 2. P. 105.)
- Xue J., Wang A., Yin H., Wang J., Zhang D., Chen W., Yu L., Jiang T. // J. Ind. Eng. Chem. 2010. V. 16. № 2. P. 288.
- Chen J., Hua L., Zhu W., Zhang R., Guo L., Chen C., Gan H., Song B., Hou Zh. // Catal. Commun. 2014. V. 47. P. 18.
- Poli E., Bion N., Barrault J., Casciato S., Dubois V., Pouilloux Y., Clacens J.-M. // Catal. Today. 2010. V. 157. № 1–4. P. 371.
- Bi Y.L., Zhou M.J., Hu H.Y., Wei Ch.P., Li W.X., Zhen K.J. // React. Kinet. Catal. Lett. 2001. V. 72. № 1. P. 73.
- Пай З.П., Бердникова П.В., Носиков А.А., Хлебников Б.М. // Химия в интересах устойчивого развития. 2008. T. 16. № 4. С. 421.
- Пай З.П., Бердникова П.В., Носиков А.А. // Журн. прикладной химии. 2007. Т. 80. № 12. С. 2022.
- Красных Е.Л., Глазко И.Л., Соколов А.Б., Леванова С.В., Тихонова И.А. // Химическая промышленность. 2002. Т. 6. С. 53.
- Светозарский С.В., Феллер К.Л., Самитов Ю.Ю., Зильберман Е.Н., Разуваев Г.А. // Изв. АН. СССР, cер. хим. 1964. № 1. С. 121.
- Creese M.W., Smissman E.E. // J. Org. Chem. 1976. V. 41. № 1. P. 169.
- Катаев В.Е. Исследования Б.А. Арбузова в области изомеризации и стереохимии бициклических монотерпенов. Казань: Изд-во КГУ, 2003. С. 205.
- Jia D., Wang L., Li C., Wang X. // Fluid Phase Equilib. 2012. V. 327. № 5. P. 1.
- Mfuh A.M., Larionov O.V. // Curr. Med. Chem. 2015. V. 22. № 24. P. 2819.
- Bur S.K. // Comprehensive Organic Synthesis II. Elsevier. 2014. V. 6. P. 755.
- Do Pham D.D., Kelso G.F., Yanga Y., Hearn M.T.W. // Green Chem. 2014. V. 16. № 3. P. 1399.
- Massaro A., Mordini A., Mingardi A., Klein J., Andreotti D. // Eur. J. Org. Chem. 2011. V. 2011. № 2. P. 271.
- Ellis G.L., O’Neil I.A., Ramos V.E., Cleator E., Kalindjian S.B., Chorlton A.P., Tapolczay D.J. // Tetrahedron Lett. 2007. V. 48. № 10. P. 1683.
- Larionov O.V., Stephens D., Mfuh A., Chavez G. // Org. Lett. 2014. V. 16. № 3. P. 864.
- Commandeur C., Commandeur M., Bathany K., Kauffmann B., Edmunds A.J.F., Maienfisch P., Ghosez L. // Tetrahedron. 2011. V. 67. № 51. P. 9899.
- Cui L., Peng Y., Zhang L. // J. Am. Chem. Soc. 2009. V. 131. № 24. P. 8394.
- Oh K., Li J.-Y., Ryu J. // Org. Biomol. Chem. 2010. V. 8. № 13. P. 3015.
- Bull J.A., Mousseau J.J., Pelletier G., Charette A.B. // Chem. Rev. 2012. V. 112. № 5. P. 2642.
- Yan G., Borah A.J., Yang M. // Adv. Synth. Catal. 2014. V. 356. № 11–12. P. 2375.
- Cai X., Sha M., Guo Ch., Pan R.M. // Asian J. Chem. 2012. V. 24. № 9. P. 3781.
- Tian J., Shi H., Li X., Yinc Y., Chen L. // Green Chem. 2012. V. 14. № 7. P. 1990.
- Fields D.L. Patent US № 5023369, 1991.
- Ющенко Д.Ю. Каталитическое окисление N-замещенных аминофосфорных кислот пероксидом водорода вжидкофазных системах с образованием глифосата. Дис. … к.х.н., Новосибирск, 2021.
- Ющенко Д.Ю., Хлебникова Т.Б., Пай З.П., Бухтияров В.И. // Кинетика и катализ. 2021. Т. 62. № 3. С. 283. (Yushchenko D.Y., Khlebnikova T.B., Pai Z.P., Bukhtiyarov V.I. // Kinet. Catal. 2021. V. 62. № 3. P. 331.)
- Yushchenko D.Y., Malysheva L.V., Baranova S.S., Khlebnikova T.B., Pai Z.P. // J. Anal. Chem. 2013. V. 68. № 11. P. 961.
- Пай З.П., Ющенко Д.Ю., Хлебникова Т.Б., Пармон В.Н. Патент РФ № 2618629, 2017.
- Yushchenko D.Y., Pai Z.P., Khlebnikova T.B. // Catal. Lett. 2021. V. 152. P. 2025.
- Ющенко Д.Ю., Хлебникова Т.Б., Пай З.П. // Наука и технологии Сибири. 2022. Т. 5. С. 89.
- Ющенко Д.Ю., Хлебникова Т.Б., Пай З.П., Баранова С.С. Патент РФ № 2775230, 2022.
- Хлебникова Т.Б., Конев В.Н., Яковлева Е.Ю., Ющенко Д.Ю., Пай З.П. Патент РФ № 2753453, 2021.
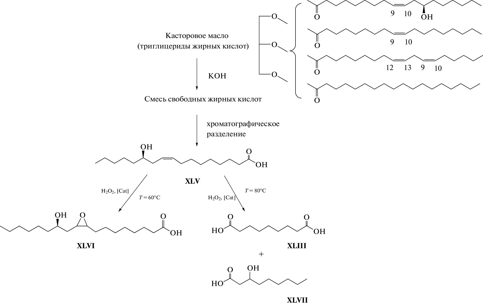
- Achrem-Achremowicz J., Janeczko Z. // Wiadomosci Chemiczne. 2003. V. 57. № 3–4. P. 223.
- Кислицын А.Н. // Химия древесины. 1994. № 3. С. 3.
- Sheth K., Bianchi E., Wiedhope R., Gole J.R. // J. Phrm. Sci. 1973. V. 62. № 1. P. 139.
- Толстиков Г.А., Флехтер О.Б., Шульц Э.Э., Балтина Л.А., Толстиков А.Г. // Химия в интересах устойчивого развития. 2005. № 1. С. 1.
- Хлебникова Т.Б., Пай З.П., Кузнецов Б.Н., Матцат Ю.В., Кузнецова С.А., Бердникова П.В., Скворцова Г.П. // Журн. Сибирского федерального университета. Серия: Химия. 2008. Т. 1. № 3. С. 277.
- Кузнецова С.А., Кузнецов Б.Н., Редькина Е.С., Соколенко В.А., Скворцова Г.П. Патент РФ № 2324700, 2008.
- Osadchii S.A., Shul’ts E.E., Shakirov M.M., Tolstikov G.A. // Russ. Chem. Bull., Int. Ed. 2006. V. 55. № 2. P. 375.
- Шульц Э.Э., Петрова Т.Н., Шакиров М.М., Черняк E.И., Покровский Л.М., Нехорошев C.А., Толстиков Г.А. // Химия в интересах устойчивого развития. 2003. № 4. С. 683.
- Ito C., Itoigawa M., Mishina Y., Filho V.C., Enjo F., Tokuda H., Hishino H., Furukawa H. // J. Nat. Prod. 2003. V. 66. № 3. P. 368.
- Guilet D., Helesbeux J.J., Seraphin D., Sevenet T., Richomme P., Bruneton J. // J. Nat. Prod. 2001. V. 64. № 5. P. 563.
- Appendino G., Bianchi F., Bader A., Campagnuolo C., Fattorusso E., Taglialatela Scafati O., Blanco Molina M., Macho A., Fiebich B.L. // J. Nat. Prod. 2004. V. 67. № 4. P. 532.
- Guo H., Yin G. // J. Phys. Chem. C. 2011. V. 115. № 35. P. 17516.
- Lan J., Lin J., Chen Z., Yin G. // ACS Catal. 2015. V. 5. № 4. P. 2035.
- Saleem F., Muller P., Eranen K., Warna J., Murzin D.Yu., Salmi T. // J. Chem. Technol. Biotechnol. 2017. V. 92. № 9. P. 2206.
- Murzin D.Yu., Bertrand E., Tolvanen P., Devyatkov S., Rahkila J., Eranen K., Warna J., Salmi T. // Ind. Eng. Chem. Res. 2020. V. 59. № 30. P. 13516.
- Shcherban N.D., Barakov R.Yu., Sergiienko S.A., Eranen K., Warna J., Murzin D.Yu. // Catal. Lett. 2022. V. 152. № 10. P. 2920.
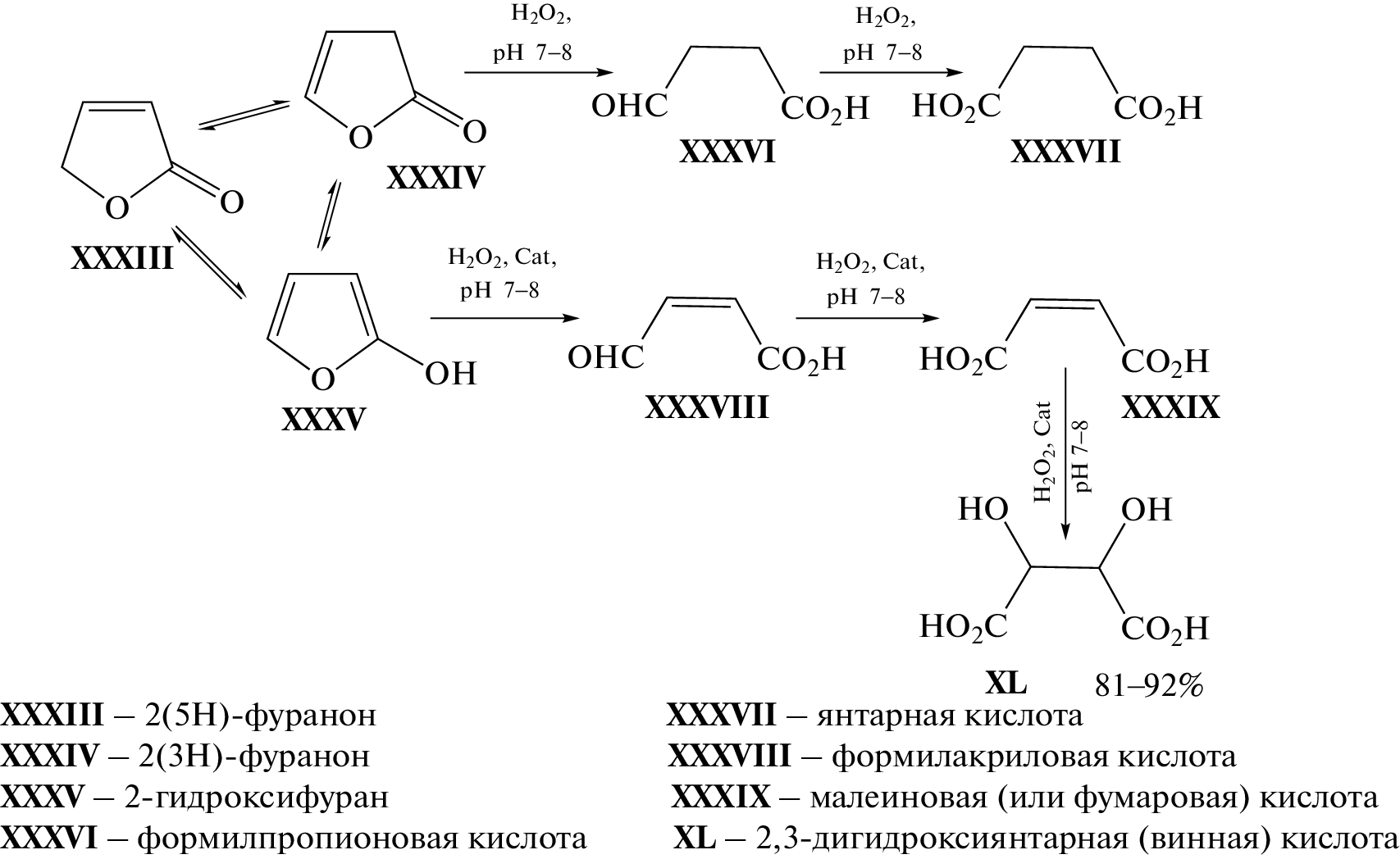
- Бадовская Л.А., Латашко В.М., Посконин В.В., Грунская Е.П., Тюхтенева З.И., Рудакова С.Г., Пестунова С.А., Саркисян А.В. // Химия гетероциклических соединений. 2002. № 9. С. 1194.
- Бадовская Л.А., Посконин В.В. // Кинетика и катализ. 2015. Т. 56. № 2. С. 172.
- Пономаренко Р.И. Реакции в системе фурфурол–пероксид водорода при регулируемых значениях pH. Дис. … к.х.н., Краснодар, 2003.
- Nguyen B.T., Wiskur Sh.L., Ansliyn E.V. // Org. Lett. 2004. V. 6. № 15. P. 2499.
- Пономаренко Р.И., Бадовская Л.А., Латашко В.М. // Химия гетероциклических соединений. 2002. № 9. С. 1204.
- Kassaian J.-M. Tartaric Acid / Ulmann’s Encyclopedia of Industrial Chemistry. Wiley-VCH Verlag GmbH & Co, KGaA, 2002.
- Большая российская энциклопедия. URL: https://bigenc.ru/chemistry/text/1914990
- Pai Z.P., Khlebnikova T.B., Mattsat Y.V., Parmon V.N. // React. Kinet. Catal. Lett. 2009. V. 98. № 1. P. 1.
- Khlebnikova T.B., Pai Z.P., Fedoseeva L.A., Mattsat Y.V. // React. Kinet. Catal. Lett. 2009. V. 98. № 1. P. 9.
- Belousov A.S., Esipovich A.L., Kanakov E.A., Otopkova K.V. // Sustain. Energy Fuels. 2021. V. 5. № 18. P. 4512.
- Cerone M., Smith T.K. // Front. Nutrit. 2021. V. 8. P. 570401.
- Meng Y., Taddeo F., Freites Aguilera A., Cai X., Russo V., Tolvanen P., Leveneur S. // Catalysts. 2021. V. 11. № 7. P. 765.
- John G., Nagarajan S., Kumar Vemula P., Silverman J.R., Pillaid C.K.S. // Prog. Polym. Sci. 2019. V. 92. P. 158.
- Афанасьев Н.И., Макаревич Н.А., Селиванова Н.В., Селянина С.Б., Тельтевская С.Е., Труфанова М.В. // Инновации. 2003. № 4. С. 67.
- Пай З.П. // Химия в интересах устойчивого развития. 2013. T. 21. № 3. C. 267.
- Пай З.П., Пармон В.Н. / Сб. научных трудов Химические реактивы, реагенты и процессы малотоннажной химии. Минск: Изд. дом Белорусская наука, 2008. С. 346.
- Пай З.П., Кочубей Д.И., Пармон В.Н. / Сб. научных трудов Химические реактивы, реагенты и процессы малотоннажной химии. Минск: Изд. дом Белорусская наука, 2011. С. 423.
- Uslamin E.A., Khlebnikova T.B., Mattsat Y.V., Pai Z.P. / 22nd European Biomass Conference and Exhibition. Hamburg, Germany, 2014.
- Ющенко Д.Ю., Пай З.П., Ученова Ю.В., Хлебникова Т.Б. // Кинетика и катализ. 2023. Т. 64. № 3. С. 298.
- Musik M., Janus E., Pelech R., Salacinski L. // Catalysts. 2021. V. 11. № 9. P. 1058.
- Егоров М.П., Максимов А.Л., Музафаров А.М., Нифантьев Н.Э., Цивадзе А.Ю. // Вестник РАН. 2022. Т. 92. № 2. С. 103.
Supplementary files






































