Сравнительное исследование гидрирования 1,3,5-тринитробензола и 2,4,6-тринитротолуола на медно-алюминиевом оксидном катализаторе в проточном реакторе
- Авторы: Нуждин А.Л.1, Щурова И.А.1,2, Бухтиярова М.В.1, Плюснин П.Е.3, Алексеева Н.А.1,2, Сысолятин С.В.2, Бухтиярова Г.А.1
-
Учреждения:
- ФБГУН ФИЦ Институт катализа им. Г.К. Борескова СО РАН
- ФБГУН Институт проблем химико-энергетических технологий СО РАН
- ФБГУН Институт неорганической химии им. А.В. Николаева СО РАН
- Выпуск: Том 64, № 1 (2023)
- Страницы: 31-38
- Раздел: СТАТЬИ
- URL: https://journal-vniispk.ru/0453-8811/article/view/137007
- DOI: https://doi.org/10.31857/S0453881123010045
- EDN: https://elibrary.ru/KHAEGN
- ID: 137007
Цитировать
Полный текст
Аннотация
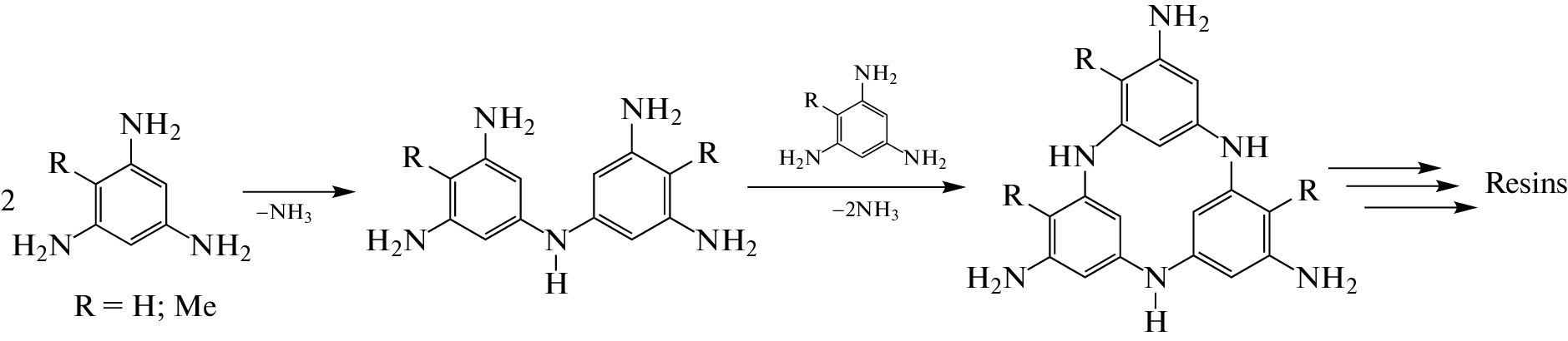
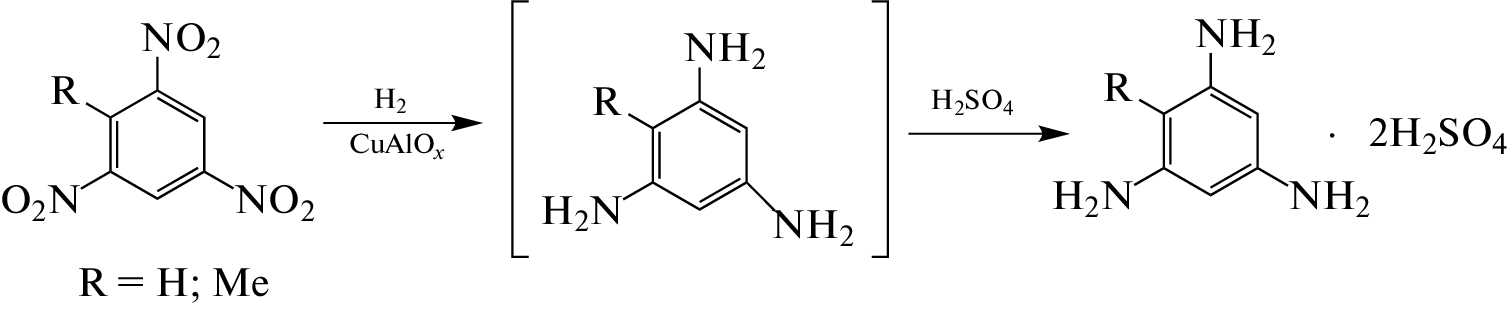
Исследованы каталитические свойства медно-алюминиевого оксидного катализатора, приготовленного на основе двойного слоистого гидроксида, в гидрировании 1,3,5-тринитробензола (ТНБ) и 2,4,6-тринитротолуола (ТНТ) в проточном реакторе. Реакцию проводили при температуре 120°C, общем давлении 30 бар и концентрации субстрата 0.10−0.15 М, используя метанол в качестве растворителя. 1,3,5-Триаминобензол (ТАБ) и 2,4,6-триаминотолуол (ТАТ) выделяли из реакционной смеси в виде двойных солей с серной кислотой ТАБ⋅2H2SO4 и ТАТ⋅2H2SO4, выход которых составил 92 и 98% соответственно. При исходной концентрации тринитроарена 0.10 М гидролиз солей триаминобензолов позволил синтезировать флороглюцин и метилфлороглюцин с выходом 78 и 91%. Увеличение концентрации до 0.15 М снижает выход до 71 и 88% соответственно. Согласно данным термического анализа наблюдаемые различия в выходах солей триаминобензолов и полифенолов объясняются образованием разного количества смолоподобных побочных продуктов на поверхности катализатора в ходе гидрирования тринитроарена. При гидрировании ТНТ количество смол меньше, что приводит к более высоким выходам ТАТ⋅2H2SO4 и метилфлороглюцина. Вероятно, это связано с наличием электронодонорного метильного заместителя, который замедляет поликонденсацию молекул ТАТ.
Об авторах
А. Л. Нуждин
ФБГУН ФИЦ Институт катализа им. Г.К. Борескова СО РАН
Автор, ответственный за переписку.
Email: anuzhdin@catalysis.ru
Россия, 630090, Новосибирск, ,
просп. Акад. Лаврентьева, 5
И. А. Щурова
ФБГУН ФИЦ Институт катализа им. Г.К. Борескова СО РАН; ФБГУН Институт проблем химико-энергетических технологий СО РАН
Email: anuzhdin@catalysis.ru
Россия, 630090, Новосибирск, ,
просп. Акад. Лаврентьева, 5; Россия, 659322, Бийск, ул. Социалистическая, 1
М. В. Бухтиярова
ФБГУН ФИЦ Институт катализа им. Г.К. Борескова СО РАН
Email: anuzhdin@catalysis.ru
Россия, 630090, Новосибирск, ,
просп. Акад. Лаврентьева, 5
П. Е. Плюснин
ФБГУН Институт неорганической химии им. А.В. Николаева СО РАН
Email: anuzhdin@catalysis.ru
Россия, 630090, Новосибирск, пр-т Акад. Лаврентьева, 3
Н. А. Алексеева
ФБГУН ФИЦ Институт катализа им. Г.К. Борескова СО РАН; ФБГУН Институт проблем химико-энергетических технологий СО РАН
Email: anuzhdin@catalysis.ru
Россия, 630090, Новосибирск, ,
просп. Акад. Лаврентьева, 5; Россия, 659322, Бийск, ул. Социалистическая, 1
С. В. Сысолятин
ФБГУН Институт проблем химико-энергетических технологий СО РАН
Email: anuzhdin@catalysis.ru
Россия, 659322, Бийск, ул. Социалистическая, 1
Г. А. Бухтиярова
ФБГУН ФИЦ Институт катализа им. Г.К. Борескова СО РАН
Email: anuzhdin@catalysis.ru
Россия, 630090, Новосибирск, ,
просп. Акад. Лаврентьева, 5
Список литературы
- Lee H., Park R.Y., Park K. // Bull. Korean Chem. Soc. 2021. V. 42. P. 66.
- Teng X., Wang Y., Gu J., Shi P., Shen Zh., Ye L. // Molecules. 2018. V. 23. № 3116.
- Mittal N., Tesfu H.H., Hogan A.M., Cardona S.T., Sorensen J.L. // J. Antibiot. 2019. V. 72. P. 253.
- Verbanac D., Jain S.C., Jain N., Chand M., Paljetak H.C., Matijašic M., Peric M., Stepanic V., Saso L. // Bioorg. Med. Chem. 2012. V. 20. P. 3180.
- Sun Q., Schmidt S., Tremmel M., Heilmann J., Konig B. // Eur. J. Med. Chem. 2014. V. 85. P. 621.
- Li N., Khan S.I., Qiu S., Li X.-C. // Molecules. 2018. V. 23. № 3232.
- Fiege H., Voges H.W., Hamamoto T., Umemura S., Iwata T., Miki H., Fujita Y., Buysch H.J., Garbe D., Paulus W. / In: Phenol derivatives, Ullmann’s Encyclopedia of Industrial Chemistry. Wiley-VCH Verlag GmbH & Co: Weinheim, 2012. V. 26. P. 557.
- Abdel-Ghany S.E., Day I., Heuberger A.L., Broeckling C.D., Reddy A.S.N. // Sci. Rep. 2016. V. 6. P. 38483.
- Ушкаров В.И., Кобраков К.И., Алафинов А.И., Шевелев С.А., Шахнес А.Х. // Химическая технология. 2006. Т. 8. С. 5.
- Kastens M.L., Kaplan J.F. // Ind. Eng. Chem. 1950. V. 42. P. 402.
- Blaser H.-U., Steiner H., Studer M. // ChemCatChem. 2009. V. 1. P. 210.
- Formenti D., Ferretti F., Scharnagl F.K., Beller M. // Chem. Rev. 2019. V. 119. P. 2611.
- Cardenas-Lizana F., Keane M.A. // J. Mater. Sci. 2013. V. 48. P. 543.
- Kürschner U., Ehwald H., Alscher G. // Catal. Lett. 1995. V. 34. P. 191.
- Belskaya O.B., Mironenko R.M., Talsi V.P., Rodionov V.A., Sysolyatin S.V., Likholobov V.A. // J. Mol. Catal. A: Chem. 2016. V. 420. P. 190.
- Belskaya O.B., Mironenko R.M., Talsi V.P., Rodionov V.A., Gulyaeva T.I., Sysolyatin S.V., Likholobov V.A. // Catal. Today. 2018. V. 301. P. 258.
- Мироненко Р.М., Бельская О.Б., Талзи В.П., Родионов В.А., Сысолятин С.В., Лихолобов В.А. // Изв. Акад. Наук. Сер. хим. 2016. № 6. С. 1535.
- Бельская О.Б., Мироненко Р.М., Гуляева Т.И., Тренихин М.В., Лихолобова В.А. // Изв. Акад. Наук. Сер. хим. 2018. № 1. С. 71.
- Talsi V.P., Belskaya O.B., Yurpalov V.L. // Magn. Reson. Chem. 2020. V. 58. P. 84.
- Кашаев В.А., Хисамутдинов Г.X., Шевелев С.А., Валешний С.И., Шахнес А.X., Баврина А.П. // Химическая технология. 2007. Т. 8. С. 346.
- Scholles H., Luebben M., Reichelt K., Kluger K., Niehoff W. // DE Patent 4131471, 1993.
- van Gelder K.B., Damhof J.K., Kroijenga P.J., Westerterp K.R. // Chem. Eng. Sci. 1990. V. 45. P. 3159.
- Halcour K., Schwerdtel W., Swodenk W., Thelen H. // DE Patent 2135154, 1973.
- Temme O., Dickner T., Laschat S., Fröhlich R., Kotila S., Bergander K. // Eur. J. Org. Chem. 1998. P. 651.
- Kim H.J., Lee W.S. // WO Patent 2007126262, 2007.
- Schuster L. // DE Patent 3218665, 1981.
- Yu T., Jiao J., Song P., Nie W., Yi C., Zhang Q., Li P. // ChemSusChem. 2020. V. 13. P. 2876.
- Masuda K., Ichitsuka T., Koumura N., Sato K., Kobayashi S. // Tetrahedron. 2018. V. 74. P. 1705.
- De Risi C., Bortolini O., Brandolese A., Di Carmine G., Ragno D., Massi A. // React. Chem. Eng. 2020. V. 5. P. 1017.
- Kirichenko O., Kapustin G., Mishin I., Nissenbaum V., Shuvalova E., Redina E., Kustov L. // Molecules. 2022. V. 27. № 5147.
- Nuzhdin A.L., Shchurova I.A., Bukhtiyarova M.V., Bulavchenko O.A., Alekseyeva N.A., Sysolyatin S.V., Bukhtiyarova G.A. // Synthesis. 2022. V. 54. P. 3605.
- Nuzhdin A.L., Bukhtiyarova M.V., Bukhtiyarova G.A. // J. Chem. Technol. Biotechnol. 2020. V. 95. P. 3292.
- Nuzhdin A.L., Bukhtiyarova M.V., Bulavchenko O.A., Bukhtiyarova G.A. // Mol. Catal. 2020. V. 494. № 111 132.
- Нуждин А.Л., Симонов П.А., Бухтияров В.И. // Кинетика и катализ. 2021. Т. 62. № 4. С. 459.
- Nuzhdin A.L., Reshetnikov S.I., Bukhtiyarova G.A., Moroz B.L.,·Gerasimov E.Yu., Pyrjaev P.A., Bukhtiyarov V.I. // Catal. Lett. 2017. V. 147. P. 572.
- Рассолов А.В., Иванов Г.А., Брагина Г.О., Баева Г.Н., Смирнова Н.С., Казаков А.В., Усачев Н.Я., Стахеев А.Ю. // Кинетика и катализ. 2021. Т. 62. № 5. С. 591.
Дополнительные файлы










