MIL-100(Fe)/диатомит композиты для разложения фенола в реакции фото-Фентона
- Авторы: Мацкан П.А.1, Евдокимова Е.В.1, Мамонтов Г.В.1
-
Учреждения:
- ФГАОУ ВО Национальный исследовательский Томский государственный университет
- Выпуск: Том 64, № 4 (2023)
- Страницы: 418-427
- Раздел: 7-я Международная школа-конференция молодых ученых “Катализ: от науки к промышленности”
- URL: https://journal-vniispk.ru/0453-8811/article/view/137028
- DOI: https://doi.org/10.31857/S045388112304007X
- EDN: https://elibrary.ru/RRBHMU
- ID: 137028
Цитировать
Полный текст
Аннотация
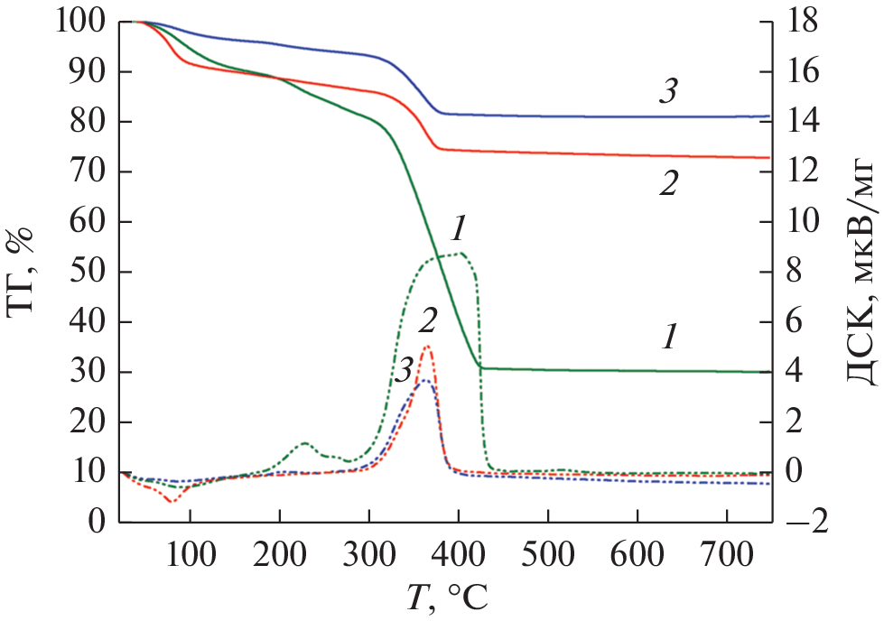
Получены пористые композиты на основе металлорганического каркаса MIL-100(Fe) и природного материала диатомита. Композиты характеризуются удельной поверхностью 322 и 441 м2/г и иерархической пористой структурой, представленной широкими порами исходного диатомита и узкими мезо- и микропорами сформированных частиц MIL-100(Fe). Изучено влияние подхода к синтезу на структуру композитов и каталитические свойства в реакции фотокаталитического разложения фенола. В композите, приготовленном с предварительной пропиткой диатомита раствором нитрата железа, частицы MIL-100(Fe) формируются в основном внутри пор диатомита. Образцы композитов проявляют каталитическую активность в разложении фенола в реакции фото-Фентона. Наибольшей активностью обладает образец, синтезированный без предварительной пропитки диатомита, для которого характерно формирование частиц MIL-100(Fe) преимущественно на внешней поверхности диатомита.
Ключевые слова
Об авторах
П. А. Мацкан
ФГАОУ ВО Национальный исследовательский Томский государственный университет
Автор, ответственный за переписку.
Email: pmackan2002@gmail.com
Россия, 634050, Томск, просп. Ленина, 36
Е. В. Евдокимова
ФГАОУ ВО Национальный исследовательский Томский государственный университет
Email: pmackan2002@gmail.com
Россия, 634050, Томск, просп. Ленина, 36
Г. В. Мамонтов
ФГАОУ ВО Национальный исследовательский Томский государственный университет
Email: pmackan2002@gmail.com
Россия, 634050, Томск, просп. Ленина, 36
Список литературы
- Busca G., Berardinelli S., Resini C., Arrighi L. // J. Hazard. Mater. 2008. V. 160. № 2–3. P. 265.
- Clarizia L., Russo D., Di Somma I., Marotta R., Andreozzi R. // Appl. Catal. B: Env. 2017. V. 209. P. 358.
- Сашкина К.А., Семейкина В.С., Лабко В.С., Рудина Н.А., Пархомчук Е.В. // Кинетика и катализ. 2013. Т. 54. № 5. С. 676.
- Nivetha R., Gothandapani K., Raghavan V., Jacob G., Sellappan R., Bhardwaj P., Pitchaimuthu S., Kannan A.N.M., Jeong S.K., Grace N. // ACS Omega. 2020. V. 5. № 30. P. 18941.
- Wang S., Wang X. // Small. 2015. V. 11. № 26. P. 3097.
- Cai G., Yan P., Zhang L., Zhou H.C., Jiang H.L. // Chem. Rev. 2021. V. 121. № 20. P. 12278.
- Isaeva V.I., Chernyshev V.V., Fomkin A.A. // Micropor. Mesopor. Mater. 2020. V. 300. P. 110136.
- Engh K.R. / In: Diatomite, in Kirk-Othmer Encyclopedia of Chemical Technology, John Wiley & Sons, 1st ed., 2000.
- Капранов В.Н., Камский А.В. // Плодородие. 2006. Т. 31. № 4. С. 12.
- Yılmaz B., Ediz N. // Cem. Concr. Compos. 2008. V. 30. № 3. P. 202.
- Franca S.C.A., Millqvist M.T., Luz A.B. Beneficiation of Brazilian diatomite for the filtration application industry // Mining Metall. Explor. 2003. V. 20. № 1. P. 42.
- Ghobara M., Mohamed A., in Diatoms: Fundamentals and Applications Gordon R., Seckbach, J., Ed., Hoboken, 1st ed., New Jersey: Wiley and Salem, Massachusetts: Scrivener, 2019. P. 471.
- Liu D., Gu J., Liu Q., Tan Y., Li. Z., Zhang W., Su Y., Li W., Cui A., Gu C., Zhang D. // Adv. Mater. 2014. V. 26. № 8. P. 1229.
- Zubkov A.V., Vyshegorodtseva E.V., Bugrova T.A., Mamontov G.V. // J. Phys. Conf. Ser. 2020. V. 1611. № 1. P. 012040(1).
- Мамонтов Г.В. Высокопористый материал на основе диатомита и способ его получения. Патент 2727393 РФ, 2020.
- Евдокимова Е.В., Мацкан П.А., Мамонтов Г.В. // ЖФХ. 2022. V. 96. № 1. P. 107.
- Vyshegorodtseva E.V., Matskan P.A., Mamontov G.V. // AIP Conf. Proc. 2020. V. 2301. № 1. P. 040018.
- Seo Y., Yoon J.W., Lee J.S., Lee H., Hwang Y.K., Jun H., Horcajada P., Serre C., Chang S. // Micropor. Mesopor. Mater. 2012. V. 157. P. 137.
- Атякшева Л.Ф., Добрякова И.В., Иванова И.И., Князева Е.Е., Родионова Л.И. // ЖФХ. 2015. Т. 89. № 10. С. 1661. (Atyaksheva L.F., Dobryakova I.V., Ivanova I.I., Knyazeva E.E. // Russ. J. Phys. Chem. A. 2015. V. 89. № 10. P. 1924.)
- Simon M.A., Anggraeni E., Soetaredjo F.E., Santoso S.P., Irawaty W., Thanh T.C., Hartono S.B., Yuliana M., Ismadji S. // Sci. Rep. 2019. V. 9. № 1. P. 1.
- Uthappa U.T., Kigga M., Sriram G., Ajeya K.V., Jung H.Y., Neelgund G.M., Kurkuri M.D. // Micropor. Mesopor. Mater. 2019. V. 288. P. 109572.
- Nehra M., Dilbaghi N., Singhal N.K., Hassan A., Kim K., Kumar S. // Environ. Res. 2019. V. 169. P. 229.
- Chen C., Li B., Zhou L., Xia Z., Feng N., Ding J., Wang L., Wan H., Guan G. // ACS Appl. Mater. Interfaces. 2017. V. 9. № 27. P. 23060.
- Herney-Ramirez J., Vicente M.A., Madeira L.M. // Appl. Catal. B: Env. 2010. V. 98. № 1–2. P. 10.
- Ameta R., Chohadia A.K., Jain A., Punjabi P.B. Fenton and photo-fenton processes / In: Advanced Oxidation Processes for Waste Water Treatment. Eds. S.C. Ameta and R. Ameta, Cambridge, MA: Academic Press, 2018. P. 49.
- Du C., Zhang Y., Zhang Z., Zhou L., Yu G., Wen X., Chi T., Wang G., Su Y., Deng F., Lv Y., Zhu H. // Chem. Eng. J. 2022. V. 431. P. 133932.
- Mohammadifard Z., Saboori R., Mirbagheri N.S., Sabbaghi S. // Environ. Pollut. 2019. V. 251. P. 783.
- Lv H., Zhao H., Cao T., Qian L., Wang Y., Zhao G. // J. Mol. Catal. A. Chem. 2015. V. 400. P. 81.
- Wu K., Xie Y., Zhao J., Hidaka H. // J. Mol. Catal. A. Chem. 1999. V. 144. № 1. P. 77.
- Luo M., Bowden D., Brimblecombe P. // Appl. Catal. B: Env. 2009. V. 85. № 3–4. P. 201.
- Хелла К., Бахари К., Сади Ф. // Кинетика и катализ. 2014. Т. 55. № 4. С. 490.
- Huang W., Shao H., Song M., Yang Z., Liao X. // Appl. Surf. Sci. 2021. V. 547. P. 149222.
- Ahmad M., Chen S., Ye F., Quan X., Afzal S., Yu H., Zhao X. // Appl. Catal. B: Env. 2019. V. 245. P. 428.
- Dhakshinamoorthy A., Alvaro M., Hwang Y.K., Seo Y.K., Corma A., Garcia H. // Dalton Transact. 2011. V. 40. № 40. P. 10719.
Дополнительные файлы










