Influence of Phosphorus Modifier and Nature of the Support on the Properties of Palladium Catalysts in the Chemoselective Hydrogenation of Acetylenic Compounds
- Authors: Belykh L.B.1, Sterenchuk T.P.1, Skripov N.I.1, Milenkaya E.A.1, Kornaukhova T.A.1, Skornikova S.A.2, Kolesnikov S.S.2, Kolesnikov S.S.2, Schmidt F.K.1
-
Affiliations:
- Irkutsk State University
- Federal State Budget Educational Institution of Higher Education, Irkutsk National Research Technical University
- Issue: Vol 65, No 1 (2024)
- Pages: 22-36
- Section: ARTICLES
- URL: https://journal-vniispk.ru/0453-8811/article/view/259673
- DOI: https://doi.org/10.31857/S0453881124010037
- EDN: https://elibrary.ru/HABHYP
- ID: 259673
Cite item
Full Text
Abstract
Efficient heterogeneous catalysts for the chemoselective hydrogenation of terminal and disubstituted alkynes and alkynols to monoenes based on Pd–P particles have been proposed. The influence of a zeolite support (Na-ZSM-5, MCM-41) and a phosphorus modifier on the properties of palladium catalysts in the semihydrogenation of acetylenic compounds is considered. It has been shown that promotion with phosphorus increases the activity of palladium catalysts in the hydrogenation of various acetylenic compounds from 2.5 to 30 times without reducing the selectivity for monoenes. High selectivity for monoenes is determined by both thermodynamic and kinetic factors. Using the example of the acetylenic alcohol hydrogenation the possibility of changing the ratio of hydrogenation rates of triple and double bonds as a result of varying the solvent nature and the structural order of the catalyst particles was demonstrated.
Keywords
Full Text
Сокращения и обозначения: ДМФА – N,N-диметилформамид; Pd(acac)₂ – бис-(ацетилацетонат) палладия; ФA – фенилацетилен; МБА – 2-метилбутан-2-ол; МБЕ – 2-метил-3-бутен-2-ол; МБИ – 2-метил-3-бутин-2-ол; БИД – бутин-2-диол-1,4; БЕД – бутен-2-диол-1,4; Sуд – удельная площадь поверхности; Vобщ – общий объем пор; Vмикропор – объем микропор; dср – средний размер пор; п. п. – полоса поглощения; МС ИСП – масс-спектрометрия с индуктивно связанной плазмой; ПЭМ – просвечивающая электронная микроскопия; РФА – рентгенофазовый анализ; ГЖХ – газо-жидкостная хроматография; БЭТ – метод Брунауэра–Эммета–Теллера; ОКР – область когерентного рассеяния; TOF – частота оборотов; a – каталитическая активность в расчете на весь палладий; DПЭМ – дисперсность, определенная из данных ПЭМ; MPd – атомная масса Pd; APd – площадь поверхности атома Pd; ρ – плотность палладия, NA – число Авогадро, dПЭМ – среднеповерхностный диаметр частиц; ni – число частиц с диаметром di.
ВВЕДЕНИЕ
Хемои стереоселективное гидрирование функционализированных алкинов, алкинолов и сопряженных диенов до соответствующих моноенов относится к одной из ключевых каталитических реакций, которую применяют как в крупнотоннажных промышленных процессах (например, в получении мономеров полимеризационной степени чистоты), так и в тонком органическом синтезе (в производстве фармацевтических препаратов, витаминов А, В, Е, К, биологически активных добавок, пестицидов и ароматизаторов) [1, 2]. Однако практически важный процесс полугидрирования алкинов и сопряженных диенов является непростой задачей [3, 4]. Выход целевого продукта (моноена) чаще всего снижается в результате полного гидрирования алкинов или диенов до алкана, олигомеризации исходного субстрата, а также позиционной и цис-транс-изомеризации образующегося моноолефина. Преимущественное использование Pd-катализаторов в данных процессах, несмотря на высокую стоимость палладия, связано с более высокой его селективностью в сравнении с другими металлическими катализаторами. Причина заключается в действии термодинамического фактора – значительном превышении (в ~100 раз) константы адсорбционного равновесия алкинов с Pd над соответствующей константой равновесия алкенов [5]. Для платиновых катализаторов отношение констант адсорбционного равновесия алкина и алкена не более 30–36 [5].
В то же время полностью предотвратить полное насыщение алкина или диена даже под действием палладиевых катализаторов не всегда удается по двум причинам: из-за конкурентной адсорбции алкина и олефина, а также присутствия так называемого “неселективного” водорода. В атмосфере водорода палладий формирует αи β-гидридные фазы, а растворенный в Pd водород способен диффундировать на поверхность и насыщать образующейся моноен до алкана до стадии его десорбции [1]. Полное насыщение алкина или сопряженного диена до алкана можно снизить введением модификаторов, конкурирующих с алкином и олефином за активный центр (чаще всего, оснований Льюиса или СО) [2]. Другим подходом является повышение электронной плотности на Pd, например, в результате сильного взаимодействия металл–носитель, что облегчает десорбцию алкенов в большей степени, чем алкинов [6]. К уменьшению концентрации “неселективного” водорода приводит растворение углерода в палладии [5].
Для подавления олигомеризации алкинов необходимо контролировать размер металлического ансамбля. Это достигается применением в качестве катализаторов хемоселективного гидрирования сплавов или интерметаллидов палладия (Ag, Ni, Co, Ti, Si, Bi и Sn) [2]. Модифицирующее действие второго металла, в частности, Bi и Sn, связано также с эффективным снижением энергии адсорбции двойных и тройных связей и ингибированием процесса образования гидридов. Оно аналогично действию свинца в катализаторе Lindlar’а, однако распределение второго металла (Bi и Sn) не настолько однородно [2, 3]. Одним из современных направлений в области разработки высокоселективных катализаторов гидрирования алкинов является получение моноатомных сплавных систем, в которых активные каталитические центры (например, отдельные атомы Pd1) изолированы друг от друга атомами металла-модификатора (M = Ag, Au, Zn, In) [4, 7].
К новым альтернативным материалам могут быть отнесены металлические катализаторы, модифицированные р-элементами (S, P) [8]. р-Модификатор одновременно выполняет несколько функций. Он выступает в качестве разделителя атомов металла, благоприятствуя образованию изолированных металлических ансамблей. Кроме того, в зависимости от концентрации р-элемента, он регулирует размер отдельного металлического ансамбля, геометрическое расположение и электронное состояние атомов активного компонента [9]. В настоящее время кристаллические фосфиды и сульфиды металлов рассматривают не только как перспективные катализаторы полугидрирования ненасыщенных соединений [8, 9]. Они представляют собой удобные модели для изучения влияния электронного состояния Pd и размера ансамбля из атомов металла на активность и селективность в гидрировании терминальных и дизамещенных функционализированных алкинов. Однако модифицирование, повышая селективность, приводит к снижению каталитической активности. Поэтому актуальными остаются задачи разработки катализаторов, которые характеризуются оптимальным соотношением активности и селективности [7, 10].
Ранее нами был предложен низкотемпературный метод синтеза Pd–P-частиц, которые обладали высокой активностью в гидрировании представителей различных классов соединений: терминальных и дизамещенных алкинов [11], алкинолов [12, 13], алкилантрахинонов [14, 15]. Коллоидные растворы Pd–P-частиц представляют собой удобную модель для исследования процессов формирования и функционирования каталитически активных центров. Основной проблемой при их использовании в качестве катализаторов является невозможность многократного применения и сложность регенерации. В этом плане более предпочтительны гетерогенные системы. Цель настоящей работы заключалась в установлении возможности получения активных и селективных нанесенных катализаторов гидрирования ацетиленовых производных на основе Pd–P-частиц.
ЭКСПЕРИМЕНТАЛЬНАЯ ЧАСТЬ
Материалы
Исходные вещества, газы и растворители подвергали дополнительной очистке по различным методикам, применяемым при работе с металлорганическими соединениями. Газы – водород (особой чистоты, марка 5.0) и аргон (содержание не менее 99.999%) – дополнительно очищали от примесей кислорода и воды последовательным пропусканием их через колонки, заполненные никель-хромовым катализатором и цеолитами марки СаА (в случае водорода) или P2O5, гранулированной щелочью, молекулярными ситами СаА и порошком меди, нагретым до 200°C (в случае аргона), соответственно.
Растворители (бензол, толуол) очищали по стандартным методикам [16]. Для более глубокой осушки бензол и толуол дополнительно перегоняли над LiAlH4 на ректификационной колонке и хранили в атмосфере аргона в запаянных ампулах над молекулярными ситами 4 Å.
N,N-Диметилформамид (ДМФА) выдерживали над безводным сульфатом меди до образования раствора зеленого цвета с целью обезвоживания и удаления примесей аминов и дважды подвергали вакуумной разгонке (8 мм рт. ст.) при температуре не выше 42°C.
Бис-(ацетилацетонат) палладия (Pd(acac)₂) получали согласно методике [17] и перекристаллизовывали из ацетона. Фенилацетилен (ФA) выдерживали в течение 2 недель над предварительно прокаленным CaCl₂ и перегоняли в вакууме (40°C/10 мм рт. ст.) [16]. 2-Метил-3-бутин-2-ол (МБИ) (“Sigma–Aldrich”, 98%), бутин-2-диол-1,4 (БИД) (“Merck”, 99%) и гексин-1 (“Merck”, 97%) использовали без дополнительной очистки.
Белый фосфор непосредственно перед применением механически очищали от поверхностных продуктов окисления и промывали безводным бензолом. Раствор белого фосфора в бензоле готовили с помощью Шленк-технологии и хранили в инертной атмосфере в стеклянном сосуде, конструкция которого предусматривает вакуумирование и заполнение аргоном. ЯМР ³¹P: δ = –522 м. д. (с).
Цеолит Na-ZSM-5 (Sуд = 340 м²/г, объем пор: Vобщ = 0.19 см³/г, Vмикропор = 0.14 см³/г, dср = 2.2 нм; SiO₂/Al₂O₃ = 30) перед использованием прокаливали при 500°C в течение 4 ч. Цеолитоподобный материал MCM-41 (Sуд = 1160 м²/г, объем пор: Vобщ = 1.1 см³/г, dср = 3.72 нм) прокаливали при 400°C в течение 2 ч.
Примеры получения катализаторов и проведения экспериментов
Пример 1 (Pd/ZSM-5). В предварительно откачанный и заполненный водородом термостатируемый стеклянный сосуд в токе водорода вносили Pd(acac)₂ (0.0289 г, 2.49 × 10⁻⁵ моль) и цеолит Na-ZSM-5 (1 г), добавляли ДМФА (50 мл) и перемешивали в течение 1 ч при комнатной температуре. Затем поднимали температуру и восстанавливали Pd(acac)₂ водородом в течение 15–20 мин при 80°C и давлении H₂ 2 атм. Контроль за восстановлением Pd(acac)₂ осуществляли методом УФ-спектроскопии по полосе поглощения (п. п.) 330 нм (ε₃₃₀ = 10630 л см⁻¹моль⁻¹.). Реакционную смесь охлаждали до комнатной температуры, переносили в предварительно откачанную и заполненную аргоном трехгорлую колбу. Осадок серого цвета отделяли от раствора декантацией, трижды промывали бензолом в атмосфере аргона (по 15 мл) и высушивали в течение 3 ч при 60°C/2 Toрр. Выход – 1.027 г. МС ИСП: Pd – 0.96%.
Катализаторы Pd-P/ZSM-5 получали двумя способами: химическим восстановлением палладиевого прекурсора в присутствии фосфора и носителя (условное обозначение Pd-P/ZSM-5(1)) и осаждением Pd-P-частиц на цеолит Na-ZSM-5 из коллоидного раствора (условное обозначение Pd-P/ZSM-5(2)).
Пример 2 (Pd-P/ZSM-5(1)). В предварительно откачанный и заполненный водородом термостатируемый стеклянный сосуд в токе водорода вносили Pd(acac)₂ (0.1328 г, 4.36 × 10⁻⁴ моль), цеолит Na-ZSM-5 (1.479 г) и ДМФА (65 мл). Реакционную смесь перемешивали в течение 1 ч при комнатной температуре. Затем добавляли по каплям раствор белого фосфора в бензоле (2.6 мл, 1.3 × 10⁻⁴ моль) и перемешивали 10 мин. Поднимали температуру до 80°C и восстанавливали Pd(acac)₂ водородом в течение 15 мин и давлении H₂ 2 атм. Реакционную смесь охлаждали до комнатной температуры, переносили в предварительно откачанную и заполненную аргоном трехгорлую колбу. Осадок серого цвета отделяли от раствора декантацией, трижды промывали бензолом в атмосфере аргона (по 15 мл) и высушивали 3 ч при 60°C/2 Торр. Выход – 1.5286 г. МС ИСП: Pd – 2.61%, P – 0.28%. Условное обозначение Pd-P/ZSM-5(1).
Аналогичным образом готовили катализатор Pd-P/МСМ-41(1).
Пример 3 (Pd-P/ZSM-5(2)). На первом этапе получали коллоидный раствор Pd-P-частиц восстановлением Pd(acac)₂ (0.0885 г, 2.91 × 10⁻⁴ моль) водородом в присутствии фосфора (8.7 × 10⁻⁵ моль в 1.76 мл раствора в бензоле) в среде ДМФА (50 мл) в течение 15 мин при 80°C и давлении H₂ 2 атм при интенсивном перемешивании. Коллоидный раствор черно-коричневого цвета охлаждали до комнатной температуры и переносили в предварительно откачанную и заполненную аргоном трехгорлую колбу с цеолитом Na-ZSM-5 (1 г). Суспензию выдерживали в аргоне до полного обесцвечивания раствора (1 ч). Осадок серого цвета отделяли от раствора декантацией, трижды промывали бензолом в атмосфере аргона (по 15 мл) и высушивали в течение 3 ч при 60°C/2 Торр. Выход – 0.7570 г. МС ИСП: Pd – 2.45%, P – 0.244%. Условное обозначение Pd-P/ZSM-5(2).
Пример 4. Гидрирование алкинов и алкинолов проводили в термостатируемом сосуде периодического действия “утка” при 30°C (фенилацетилен, гексин-1, 2-метил-3-бутин-2-ол) или 50°C (бутин-2-диол-1,4) и начальном давлении водорода 2 атм в среде ДМФА. В реакционный сосуд загружали 0.0355 г катализатора (1 × 10⁻⁵ моль Pd), 10 мл ДМФА и выдерживали в течение 15 мин в водороде. Затем вносили субстрат, создавали давление водорода 2 атм. Гидрирование выполняли при интенсивном перемешивании, исключающем протекание реакции в диффузионной области. Контроль за реакцией осуществляли по поглощению водорода с помощью манометра и методом газо-жидкостной хроматографии (ГЖХ), периодически отбирая пробы на анализ.
Гидрирование алкинов и алкинолов разделено во времени и протекает постадийно. На первой стадии из алкина или алкинола преимущественно образуется моноен, на второй стадии – насыщенный алкан (или алканол). Т.к. количество образующегося на первой стадии гидрирования алкана (или алканола) не превышало 2–5%, то скорость гидрирования алкина (алкинола) до моноена рассчитывали по углу наклона прямых участков кинетических кривых в диапазоне поглощения водорода 0.1–0.3 моль H₂ на моль субстрата. Скорость гидрирования моноена до алкана (алканола) находили по углу наклона прямых участков кинетических кривых в диапазоне поглощения водорода 1.1–1.3 моль H₂ на моль субстрата. Расчет частоты оборотов (TOF) проводили по формулам (1)–(3):
(1)
где a – каталитическая активность в расчете на весь палладий (мольсубстрата моль⁻¹.Pd общий мин⁻¹), DПЭМ – дисперсность, определенная из данных просвечивающей электронной микроскопии (ПЭМ).
(2)
где MPd и APd – атомная масса Pd (г моль⁻¹.) и площадь поверхности атома Pd (м²Pd поверх. атом⁻¹Pd поверх.), соответственно, ρ – плотность палладия, NA – число Авогадро, dПЭМ – среднеповерхностный диаметр частиц.
(3)
где ni – число частиц диаметром di.
Методы исследования
Газо-жидкостной хроматографический (ГЖХ) анализ продуктов гидрирования алкинов и алкинолов проводили на хроматографе Кристалл 5000 (“Хроматэк”, Россия), снабженном капиллярной колонкой длиной 30 м (фаза – 5% дифенил, 95% диметилполисилфениленсилоксан) и пламенно-ионизационным детектором (ДИП) по методу внутреннего стандарта, используя температурное программирование: 100°C (1.5 мин), 270°C (10 мин), скорость нагрева – 30°C/мин (субстрат – 2-метил-3-бутин-2-ол); 120°C (4 мин), 270°C (10 мин), скорость нагрева – 50°C/мин (субстрат – фенилацетилен); 40°C (4 мин), 270°C (10 мин), скорость нагрева – 50°C/мин (субстрат – гексин-1), 130°C (5 мин), 270°C (10 мин), скорость нагрева – 20°C/мин (субстрат – бутин-2-диол-1,4). Давление газа-носителя (азот) – 20 кПа. Дополнительно продукты превращения алкинов и алкинолов анализировали на хромато-масс-спектрометре GCMS-QP2010 Ultra (“Shimadzu”, Япония), снабженном капиллярной колонкой GsBP⋅5MS длиной 30 м с фазой поли(5%дифенил, 95%диметилполисилфениленсилоксан).
УФ-спектры растворов реакционных систем на стадии формирования катализаторов снимали на спектрофотометре СФ-2000 (ОКБ “Спектр”, Россия) в кварцевых кюветах с толщиной поглощающего слоя 0.1 см. Контроль за превращением Pd(аcac)2 осуществляли по полосе поглощения 330 нм (ε₃₃₀ = 10630 л см⁻¹моль⁻¹.).
Анализ катализаторов методом масс-спектрометрии с индуктивно связанной плазмой (МС ИСП) на Pd и Р проводили на масс-спектрометре высокого разрешения ELEMENT 2 (“Finnigan MAT”, Германия) после предварительного разложения образцов азотной кислотой. Для расчета концентраций применяли градуировку по сертифицированным растворам CLMS-1–4 фирмы “SPEX” (США) с концентрациями элементов 0.1, 1.0 и 5.0 нг/мл с контролем дрейфа сигнала по внутреннему стандарту, в качестве которого выбран 103Rh. Анализ выполнен в Институте геохимии им. А. П. Виноградова СО РАН. Параллельно содержание Pd определяли методом атомной абсорбции на атомно-абсорбционном спектрофотометре AAS-1 (“Carl Zeiss”, Германия). Концентрацию Pd в пробе катализатора рассчитывали методом внешнего калибровочного графика с использованием стандартного государственного образца (ГСО) палладия с концентрацией 1.00 мг/мл. Растворы меньших концентраций получали соответствующим разбавлением ГСО.
Снимки просвечивающей электронной микроскопии (ПЭМ) катализаторов получали на электронном микроскопе Tecnai G2 (“FEI”, США) с ускоряющим напряжением 200 кВ. Каплю суспензии в гексане наносили на науглероженную медную сеточку, высушивали в боксе в инертной атмосфере при комнатной температуре. Изображения записывали с помощью CCD-камеры (“Soft Imaging System”, Германия). Для нахождения среднего размера обрабатывали участок, содержащий не менее 100–200 частиц.
Фазовый состав цеолитов и катализаторов анализировали на дифрактометре XRD-7000 S (“Bruker”, Германия), CuKα-излучение, Ni-фильтр, λ = 1.5418 Å. Текстурные характеристики цеолитов (удельную поверхность, объем пор) определяли методом низкотемпературной адсорбции жидкого азота при 77.35 К на приборе ASAP 2010М (“Micromeritics”, США). Перед анализом образцы сушили при 120°C (6 ч), прокаливали при 550°C (12 ч) для удаления темплата и дегазировали в вакууме при 280°C (4 ч). Величину удельной поверхности находили методом Брунауэра–Эммета–Теллера (БЭТ). Общий объем пор рассчитывали по количеству адсорбированного азота при максимальном насыщении.
Рис. 1. Кинетические кривые гидрирования фенилацетилена (1), образования стирола (2) и этилбензола (3) под действием катализатора Pd/ZSM-5: Т = 30°С, Р(H₂) = 2 атм, растворитель – ДМФА, n(Pd) = 1´10⁻⁵ моль.
Рис. 2. Кинетические кривые гидрирования гексина-1 (1), образования гексена-1 (2), гексана (3), цис-гексена-2 (4) и транс-гексена-2 (5) под действием катализаторов Pd-P/ZSM-5(1) (а) и Pd-P/ZSM-5(2) (б): Т = 30°C, РH₂ = 2 атм, растворитель – ДМФА, νPd = 1 × 10⁻⁵ моль.
РЕЗУЛЬТАТЫ И ИХ ОБСУЖДЕНИЕ
Модифицирующее действие фосфора и цеолитного носителя на свойства палладиевых катализаторов в хемоселективном гидрировании было рассмотрено на примере четырех представителей монои дизамещенных алкинов и алкинолов. Общей закономерностью гидрирования монои дизамещенных алкинов или алкинолов в присутствии всех рассмотренных Pd-содержащих катализаторов является практически полное разделение первой и второй стадий гидрирования по времени. Как следует из данных ГЖХ, на первой стадии происходит гидрирование алкина (алкинола) до моноена. Насыщение образующегося моноена до алкана (алканола) в значительной степени происходит после достижения 90–95% конверсии исходного субстрата (рис. 1–3). При высокой конверсии алкина гидрирование олефина резко ускоряется, т. к. он получает возможность связываться с активным центром [18]. Данный факт вновь указывает на преобладание связывания активных Pd-центров ацетиленовым производным в сравнении с моноеном. Поэтому при конверсии алкина около 95% селективность по терминальному олефину или аллиловому спирту (стиролу, гексену-1 или 2-метилбутен-2-олу) для большинства рассмотренных катализаторов остается высокой – на уровне 93–96% (рис. 4). Исключение составляют образцы Pd/MCM-41 и Pd-P/MCM-41. Интегральная селективность по гексену-1 в ходе гидрирования гексина-1 в их присутствии не превышает 83–87% при конверсии алкина 94–96%. Уменьшение селективности в полугидрировании терминальных алкинов или алкинолов (фенилацетилен, гексин-1, 2-метил-3-бутин-2-ол) в основном обусловлено образованием соответствующего алкана.
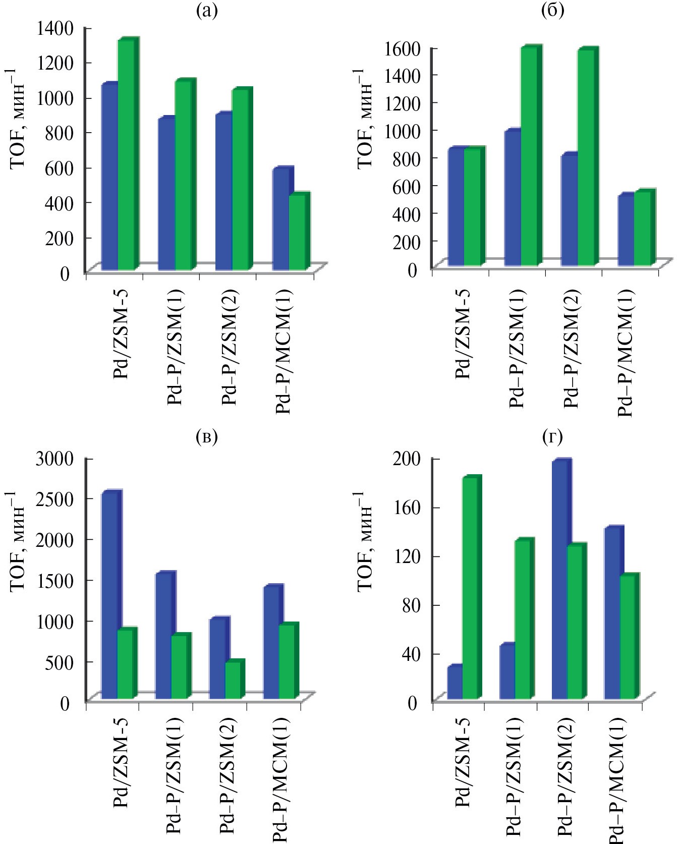
Фосфор оказывает значительный промотирующий эффект на каталитическую активность Pd-катализаторов в гидрировании всех рассмотренных ацетиленовых производных. Наиболее активным в гидрировании терминальных ацетиленовых производных оказался образец Pd-P/ZSM-5(1). По активности в гидрировании фенилацетилена, гексина-1 и 2-метил-3-бутин-2-ола он превосходит Pd/ZSM-5 в 3.7, 5.0 и 2.7 раза, соответственно (рис. 4). Сравнение свойств Pd-P/ZSM-5(1) с литературными данными показывает, что в гидрировании фенилацетилена а = 92 мин⁻¹, 30°C, РH₂ = 2 атм) он не уступает или даже превосходит такие катализаторы, как Pd/Al₂O₃ (TOF = 15 мин⁻¹, Т = 25°C) [19], Pd/SiO₂ (TOF = 20 мин⁻¹, Т = 25°C, растворитель – ДМФА, dPd = 1.70 ± 0.72 нм) [20], Pd-ПК/ZnO, где ПК – пектин (а =4.8 мин⁻¹, Т = 40°C, растворитель – этанол, dPd = 2–4 нм) [21], Pd/монтмориллонит (TOF = 9.6, мин⁻¹, dPd = 1.5 нм; TOF = 14.4 мин⁻¹, dPd = 3.0 нм; TOF = 9.0 мин⁻¹, dPd = 6.2 нм) [22], Pd/C (а = 8.9 мин⁻¹, Т = 50°C, РH₂ = 2 атм) [23], Pd/C (а = 40–50 мин⁻¹, dPd = 3–8 нм, Т = 25°C, РH₂ = 1 атм, растворитель – ДМФА) [23]. По данным [24], частота оборотов гидрирования фенилацетилена в присутствии катализаторов Pd/C, полученных из (бис[(η³-аллил)палладийхлорида, бис[(1-метоксиметил-η³-аллил)палладий-хлорида] или бис[(η³-аллил)ацетат палладия]) в аналогичных условиях (T = 25°C, PH₂ = 1 атм, растворитель – ДМФА), не превышала 40–50 мин⁻¹ (dPd = 3–8 нм), что значительно ниже таковой для катализатора Pd-P/ZSM-5(1).
В гидрировании 2-метил-3-бутин-2-ола по активности (а) (а = 164 мин⁻¹, селективность (S) составляет 95.5% при конверсии 97%, 30°C, РH₂ = 2 атм) образец Pd-P/ZSM-5(1) также значительно превосходит такие катализаторы, как Pd₃Sn/TiO₂ (а = 13.2 мин⁻¹, S = 97.6% [23]), Pd/ZnO/SMF (а = 50 мин⁻¹, 35°C, РH₂ = 5 бар [25]), но несколько уступает им по селективности. Резкое снижение частоты оборотов гидрирования алкинов при переходе к высокодисперсным Pd-катализаторам отмечалось в [26–28]. Оно обусловлено отрицательным размерным эффектом, характерным для гидрирования ацетиленовых и сопряженных диеновых соединений [28]. Исходя из этого, оптимальный размер частиц Pd для гидрирования ацетиленовых соединений находится в диапазоне 8–20 нм [28].
По данным ПЭМ, введение фосфора на стадии формирования катализатора уменьшает среднечисленный размер Pd-содержащих частиц от 34.2 ± 13.7 нм (1%Pd/ZSM-5) до 13.1 ± 4.7 (Pd–P/MCM-41(1)), 12.1 ± 2.9 (Pd–P/ZSM-5(2)) и 9.2 ± 1.8 нм (Pd–P/ZSM-5(1)) и повышает дисперсность соответствующих Pd–P-образцов в 3.2, 3.3 и 4.5 раза (рис. 5). При этом высококонтрастные частицы расположены на внешней стороне цеолитного носителя.
Таким образом, предложенный подход к формированию нанесенных гетерогенных Pd–P-катализаторов позволяет получить частицы активного компонента с размером Pd–P-частиц в указанном оптимальном диапазоне. Основной причиной промотирующего действия фосфора на активность палладиевых катализаторов в гидрировании терминальных алкинов и алкинола является повышение дисперсности катализатора.
Рис. 3. Кинетические кривые гидрирования бутин-2-диола-1,4 (1), образования бутен-2-диола-1,4 (2), бутандиола-1,4 (3), 2-гидрокситетрагидрофурана (4) и 2,3-дигидрофурана (5) под действием катализаторов Pd–P/ZSM-5(2) (a), Pd–P/MCM-41(1) (б), Pd/ZSM-5 (в) и Pd–P/ZSM-5(1) (г): Т = 50°C, РH₂ = 2 атм, растворитель – ДМФА, νPd = 5 × 10⁻⁵ моль.
Однако по частоте оборотов TOF в гидрировании терминальных алкинов и алкинолов Pd–P-образцы все же уступают немодифицированному катализатору 1%Pd/ZSM-5 и описанному в литературе катализатору Pd/Al₂O₃ с размерами частиц 22 нм (TOF = 2130 мин⁻¹) [28]. В частности, частота оборотов гидрирования фенилацетилена в присутствии 1%Pd/ZSM-5 равна 1054 мин⁻¹. Для Pd–P-образцов значения TOF составляют 860, 884 и 573 мин⁻¹ для Pd–P/ZSM-5(1), Pd–P/ZSM-5(2) и Pd–P/MCM-41(1) соответственно. Аналогичные закономерности наблюдаются в гидрировании других ацетиленовых производных (рис. 6). Следовательно, не только повышение дисперсности, но и вхождение фосфора в состав Pd-содержащих частиц влияет на свойства этих катализаторов в реакции гидрирования (табл. 1). Меньшие значения частоты оборотов гидрирования ацетиленовых соединений для Pd–P-образцов в сравнении с немодифицированным катализатором 1%Pd/ZSM-5 могут быть связаны с более прочной адсорбцией алкина на поверхности Pd–P-частиц, содержащих наряду с Pd0 и электронодецицитную форму Pdδ+ [29].
В случае гидрирования терминальных алкинов и алкинола в среде ДМФА наблюдаются не только общие закономерности, но и отличия. Как известно, кинетический фактор (соотношение скоростей гидрирования тройной и двойной связи) наряду с термодинамическим (соотношением констант адсорбционного равновесия) вносит свой вклад в селективность процесса. При этом необходимо учитывать, что в гидрировании ацетиленовых производных соотношение скоростей насыщения тройной и двойной связи (r₁ : r₂) зависит от размера частиц [28]. Например, согласно [28] в гидрировании фенилацетилена с ростом размера частиц Pd в образце 1%Pd/Al₂O₃ от 1.5 до 22 нм соотношение скоростей r₁ : r₂ возрастает от 0.4 до 1.6. Для изученного нами катализатора Pd–P/ZSM-5(1) значения r₁ : r₂ в гидрировании фенилацетилена и гексина-1 меньше единицы и составляют 0.8 и 0.61, соответственно (рис. 4).
Рис. 4. Сравнение активности Pd-содержащих катализаторов в гидрировании ацетиленовых производных (синие столбцы): фенилацетилена (а), гексина-1 (б), 2-метилбутин-2-ола (в) и бутин-2-диола-1,4 (г) и образующихся из них олефинов (зеленые столбцы). Селективность отмечена красной линией.
Таблица 1. Характеристика Pd и Pd–P катализаторов
Катализатор | Начальное отношение Pd : P, мас. доли | Содержание, мас. % | dПЭМ, нм | Дисперсность, % | Размер ОКР, нм | ||
AAС | МС ИСП | ||||||
Pd | Pd | P | |||||
Pd/ZSM-5 | – | 1.03 | 0.96 | – | 34.2 ± 13.7 | 2.37 | –а |
Pd–P/ZSM-5(1) | 3.0 : 0.26 | 2.61 | 2.66 | 0.32 | 9.2 ± 1.8 | 10.7 | 6.7 |
Pd–P/ZSM-5(2) | 3.0 : 0.26 | 2.58 | 2.40 | 0.24 | 12.1 ± 2.9 | 7.8 | 4.3 |
Pd–P/MCM-41(1) | 3.0 : 0.26 | –б | 2.41 | 0.26 | 13.1 ± 4.7 | 7.5 | 5.1 |
Противоположная зависимость выявлена в случае гидрирования терминального алкинола – 2-метил-3-бутин-2-ола (МБИ) – в ДМФА в присутствии образца Pd–P/ZSM-5(1). Удельная скорость гидрирования ацетиленового спирта (164 мин⁻¹) в практически 2 раза превышает удельную скорость насыщения аллилового спирта 2-метил-3-бутен-2-ола (МБE) (83 мин⁻¹) (рис. 4). Логично предположить, что иное соотношение скоростей гидрирования тройной и двойной связей терминального ацетиленового спирта в сравнении с терминальными алкинами может быть результатом размерной чувствительности и/или модифицирующего действия фосфора. Например, в работе [30] при модифицировании палладия висмутом наблюдалось изменение соотношения скоростей гидрирования МБИ и МБE. При отношении Pd : Bi = 7 (Pd7Bi/SiO₂) кажущаяся удельная скорость гидрирования МБE была даже больше, чем таковая МБИ. При эквимольных соотношениях висмута к палладию (Pd1Bi/SiO₂) гидрирование МБE было практически подавлено. По данным [30], это обусловлено адсорбцией висмута на ступенчатых и краевых участках Pd-катализаторов, которые ответственны за полное гидрирование МБИ до 2-метилбутан-2-ола (МБА). Однако превышение скорости гидрирования тройной связи МБИ над скоростью гидрирования двойной связи МБE характерно для всех рассмотренных нами катализаторов, которые отличаются и дисперсностью, и присутствием (или отсутствием) фосфорного модификатора (рис. 4). Следовательно, кинетический профиль гидрирования МБИ в ДМФА в присутствии Pd–P-катализаторов обусловлен иными причинами. В жидкофазном гидрировании нельзя исключить влияние растворителя на каталитический процесс. Действительно, замена апротонного основного растворителя (ДМФА) на гексан привела к кардинальным изменениям кинетического профиля гидрирования 2-метил-3-бутин-2-ола. Как и при гидрировании других терминальных алкинов под действием Pd–P/ZSM-5(1) тройная связь 2-метил-3-бутин-2-ола стала насыщаться медленнее олефиновой. А именно, в гексане удельная скорость гидрирования тройной связи МБИ (88 мин⁻¹) в 1.8 раза меньше удельной скорости насыщения С=С-связи аллилового спирта (159 мин⁻¹). По данным [30], кинетические кривые гидрирования 2-метил-3-бутин-2-ола в гексане в присутствии Pd/SiO₂ или катализатора Линдлара аналогичной дисперсности показывают близость скоростей образования и насыщения 2-метил-3-бутен-2-ола. Это вновь указывает на более прочную адсорбцию ацетиленового спирта на поверхности Pd–P-образцов. Таким образом, применение апротонного оснóвного растворителя (ДМФА) позволяет обеспечить дополнительный кинетический контроль селективности в гидрировании алкинолов.
Рис. 5. ПЭМ-снимки катализаторов 1%Pd/ZSM-5 (а), 3%Pd–P/ZSM-5(1) (б), 3%Pd–P/ZSM-5(2) (в) и 3%Pd–P/MCM-41(1) (г). На вставках показано распределение по размеру Pd-содержащих частиц.
Иные свойства присущи Pd–P-катализаторам в гидрировании бутин-2-диола-1,4 (БИД). Гидрирование БИД, как и других рассмотренных выше ацетиленовых производных, в присутствии Pd-катализаторов представляет собой типичную последовательную реакцию, на первой стадии которой образуется бутен-2-диол-1,4 (БEД). Дальнейшее гидрирование БEД приводит к насыщенному спирту – бутандиолу-1,4:
При 95%-ной конверсии бутин-2-диола-1,4 селективность по моноену достигает 96–97%. В качестве побочных продуктов гидрирования бутен-2-диола-1,4 методом ГЖХ и хроматомасс-спектрометрии были идентифицированы 2-гидрокситетрагидрофуран и 2,3-дигидрофуран (рис. 3).
При сопоставлении закономерностей протекания реакций насыщения терминальных алкинов и алкинола и гидрирования бутин-2-диола-1,4 выявлены следующие изменения в свойствах нанесенных Pd–P-катализаторов. Во-первых, в отличие от гидрирования терминальных алкинов и алкинола, наиболее эффективными в гидрировании бутин-2-диола-1,4 являются катализаторы Pd-P/ZSM-5(2) и Pd-P/МСМ-41(1). По активности в этой реакции они превосходят немодифицированный Pd/ZSM-5 в 30 и 21 раз соответственно. При этом фосфор оказывает положительный эффект и на TOF (рис. 4, 6). По частоте оборотов реакции катализаторы образуют ряд: Pd/ZSM-5 (28 мин⁻¹) < Pd-P/ZSM-5(1) (44 мин⁻¹) < Pd-P/МСМ-41(1) (134 мин⁻¹) < Pd-P/ZSM-5(2) (195 мин⁻¹). Значительный рост TOF указывает, что промотирующее действие фосфора на свойства Pd-содержащих образцов в гидрировании бутин-2-диола-1,4 нельзя объяснить только повышением их дисперсности. Тем более что наиболее активные Pd-P/ZSM-5(2) и Pd-P/МСМ-41(1) характеризуются бóльшим размером частиц, чем Pd-P/ZSM-5(1).
Рис. 6. Сравнение частоты оборотов гидрирования ацетиленовых производных (синие столбцы): фенилацетилена (а), гексина-1 (б), 2-метилбутин-2-ола (в) и бутин-2-диола-1,4 (г) и образующихся из них олефинов (зеленые столбцы) под действием Pd-содержащих катализаторов.
Во-вторых, в зависимости от катализатора меняется кинетический профиль реакции, а именно соотношение скоростей насыщения тройной и двойной связи. Для образцов Pd/ZSM-5 и Pd-P/ZSM-5(1) скорость гидрирования тройной связи в 5 и 2 раза, соответственно, меньше скорости гидрирования двойной связи (рис. 3). В присутствии Pd-Р/ZSM-5(2) и Pd-Р/МСМ-41(1) скорость гидрирования тройной связи, наоборот, превышает скорость гидрирования двойной связи в 1.6–1.2 раза. На первый взгляд, кинетические закономерности гидрирования бутин-2-диола-1,4 должны быть аналогичны таковым для гидрирования дизамещенных алкинов и алкинолов: из-за стерического фактора тройная связь насыщается с большей скоростью, чем двойная. Но зависимость соотношения скоростей гидрирования тройной связи бутин-2-диола-1,4 и двойной связи образующегося бутен-2-диола-1,4 от природы катализатора указывает на проявление иных факторов. Близкий размер Pd–P-частиц в различных Pd–P-катализаторах позволяет исключить размерный эффект. Кинетический профиль гидрирования бутин-2-диола-1,4 в присутствии Pd/ZSM-5 и Pd-P/ZSM-5(1) может свидетельствовать о более прочной адсорбции алкиндиола на поверхности этих образцов в сравнении с Pd-P/ZSM-5(2) и Pd-P/МСМ-41(1). В чем же принципиальное различие между ними, если массовое содержание Pd и Р в Pd–P-катализаторах и размер частиц близки (табл. 1)?
Данные ПЭМ ВР и электронной дифракции катализаторов Pd-P/ZSM-5(2) и Pd–P/МСМ-41(1) указывают на меньшую их структурную упорядоченность в сравнении с катализаторами Pd-P/ZSM-5(1) и Pd/ZSM-5 (рис. 7, 8). Хотя необходимо отметить, что на снимках ПЭМ ВР есть межплоскостные расстояния 2.32 Å, 2.36 Å, 2.41 Å (рис. 7). Они указывают на присутствие отдельных частиц в катализаторах Pd-P/ZSM-5(2) и Pd–P/МСМ-41(1) в виде кристаллических фосфидов, в частности, Pd3P0.95 (межплоскостное расстояние d/n = 2.32401 Å, I/I0 = 75; d/n = 2.37072 Å, I/I0 = 66; d/n = 2.43594 Å, I/I0 = 62, # 01-089-3046).
Высказанное предположение согласуется с данными рентгенофазового анализа (РФА). На дифрактограммах Pd–P-катализаторов, кроме рефлексов носителя, регистрируется только уширенный пик в области углов отражения 2θ = 35°–45°. Центр тяжести широкого пика в этой области дифракции (2θ = 40°) совпадает с межплоскостным расстоянием Pd(111), а также рефлексами фосфидов, обогащенных палладием.
Рис. 7. ПЭМ-снимки высокого разрешения катализатора Pd–P/МСМ-41(1) (а, б, в) и Pd–P/ZSM-5(2) (г, д, е).
При этом Pd–P-катализаторы отличаются между собой величиной области когерентного рассеяния (ОКР) (табл. 1). ОКР – показатель структурной упорядоченности или размер бездефектной области кристалла [31]. ОКР образца Pd–P/ZSM-5(1) (6.7 нм) несколько превышает эту величину для Pd–P/ZSM-5(2) (4.3 нм) и Pd–P/МСМ-41(1) (5.1 нм). Обращает внимание не само значение ОКР, а его отличие от размера частиц, определенного методом ПЭМ. Наименьшее относительное отклонение среднечисленного диаметра Pd–P-частиц (по ПЭМ-снимкам) от величины ОКР (37%) наблюдается для катализатора Pd–P/ZSM-5(1), приготовленного химическим восстановлением в присутствии цеолита Na-ZSM-5. Для образца Pd–P/ZSM-5(2), приготовленного осаждением Pd-P-частиц из коллоидного раствора на цеолит Na-ZSM-5, этот показатель достигает 180%. Полученные данные косвенно указывают на бóльшую шероховатость поверхности Pd–P-частиц катализатора Pd–P/ZSM-5(2) в противоположность образцу Pd–P/ZSM-5(1). Т.е. кристаллическая поверхность цеолита Na-ZSM-5 благоприятствует формированию более структурно упорядоченных частиц катализатора Pd–P/ZSM-5(1).
Рис. 8. Профили дифракционных картин катализаторов Pd–P/ZSM-5(1) (а), Pd–P/ZSM-5(2) (б) и Pd–P/МСМ-41(1) (в). На вставках – электронограммы этих катализаторов.
Для Pd–P/МСМ-41(1) относительное отклонение среднечисленного диаметра Pd–P-частиц (по ПЭМ-снимкам) от величины ОКР составляет 156%. Т.е. по степени упорядоченности и дисперсности образец Pd–P/МСМ-41(1) ближе к Pd–P/ZSM-5(2). Следует отметить, что в отличие от цеолита Na-ZSM-5 носитель МСМ-41 по данным РФА представлен кристаллической и аморфной фазами. Присутствие в нем аморфной фазы, вероятно, является одной из причин меньшей структурной упорядоченности формирующихся на его поверхности Pd–P-частиц.
Сравнение свойств катализаторов в гидрировании бутин-2-диола-1,4 и их структурных характеристик позволяет высказать следующую гипотезу. Наблюдаемое замедление скорости гидрирования тройной связи бутин-2-диола-1,4 под действием образцов Pd/ZSM-5 и Pd–P/ZSM-5(1) указывает на более прочную адсорбцию молекул субстрата. Это характерно как для немодифицированного, так и модифицированного фосфором катализатора. Повышение энергии адсорбции алкидинола может быть обусловлено дополнительным связыванием молекул субстрата с активными центрами палладия не только C≡C-связью, но и гидрокси-группами. В этом случае скорость гидрирования алкиндиолов будет в большей степени зависеть от размера ансамбля палладия, т. е. от структурной упорядоченности частиц.
ЗАКЛЮЧЕНИЕ
Рассмотрены свойства нанесенных на цеолитные носители палладиевых катализаторов, модифицированных фосфором. Среди изученных образцов наибольшей активностью в жидкофазном гидрировании терминальных алкинов и алкинолов в мягких условиях обладает Pd–P/ZSM-5(1), а в гидрировании бутин-2-диола-1,4 – Pd–P/ZSM-5(2). По данным ПЭМ, промотирующий эффект фосфора в гидрировании терминальных алкинов обусловлен повышением дисперсности. В реакции насыщения дизамещенных ацетиленовых спиртов сильное влияние на свойства приготовленных образцов оказывает степень шероховатости поверхности. На примере ацетиленовых спиртов показана возможность изменения соотношения скоростей гидрирования тройной и двойной связей в результате варьирования природы растворителя и структурной упорядоченности частиц катализатора.
ФИНАНСИРОВАНИЕ
Исследование выполнено в рамках базовой части государственного задания в сфере научной деятельности Минобрнауки России (код темы: FZZE-2023-0006; соглашение № 075-03-2023-036) при использовании оборудования Центра коллективного пользования аналитическим оборудованием ИГУ (http://ckp-rf.ru/ckp/3264/), ЦКП “Байкальский центр нанотехнологий” ИРНИТУ (электронный микроскоп Tecnai G2), ЦКП Изотопно-геохимических исследований (масс-спектрометр высокого разрешения ELEMENT 2).
КОНФЛИКТ ИНТЕРЕСОВ
Авторы заявляют об отсутствии конфликта интересов, требующего раскрытия в данной статье.
About the authors
L. B. Belykh
Irkutsk State University
Author for correspondence.
Email: belykh@chem.isu.ru
Russian Federation, K. Marx, 1, 664003 Irkutsk
T. P. Sterenchuk
Irkutsk State University
Email: belykh@chem.isu.ru
Russian Federation, K. Marx, 1, 664003 Irkutsk
N. I. Skripov
Irkutsk State University
Email: belykh@chem.isu.ru
Russian Federation, K. Marx, 1, 664003 Irkutsk
E. A. Milenkaya
Irkutsk State University
Email: belykh@chem.isu.ru
Russian Federation, K. Marx, 1, 664003 Irkutsk
T. A. Kornaukhova
Irkutsk State University
Email: belykh@chem.isu.ru
Russian Federation, K. Marx, 1, 664003 Irkutsk
S. A. Skornikova
Federal State Budget Educational Institution of Higher Education, Irkutsk National Research Technical University
Email: belykh@chem.isu.ru
Russian Federation, Lermontova, 83, 664074 Irkutsk
S. S. Kolesnikov
Federal State Budget Educational Institution of Higher Education, Irkutsk National Research Technical University
Email: belykh@chem.isu.ru
Russian Federation, Lermontova, 83, 664074 Irkutsk
S. S. Kolesnikov
Federal State Budget Educational Institution of Higher Education, Irkutsk National Research Technical University
Email: belykh@chem.isu.ru
Russian Federation, Lermontova, 83, 664074 Irkutsk
F. K. Schmidt
Irkutsk State University
Email: belykh@chem.isu.ru
Russian Federation, K. Marx, 1, 664003 Irkutsk
References
- Johnston S.K., Cherkasov N., Pérez-Barrado E., Aho E., Murzin D. Y., Ibhadon D. Y., Francesconi M. G. // Appl. Catal. A. Gen. 2017. V. 544. P. 40.
- Vilе G., Albani D., Almora-Barrios N., Lоpez N., Pеrez-Ramirez J. // ChemCatChem. 2016. V. 8. P. 21.
- Denisova E.A., Kostyukovich A. Yu., Fakhrutdinov A. N., Korabelnikova V. A., Galushko A. S., nanikov V. P. // ACS Catal. 2022. V. 12. P. 6980.
- Li Y., Yan K., Cao Y., Ge X., Zhou X., Yuan W., Chen D., Duan X. // ACS Catal. 2022. V. 12. P. 12138.
- Garcia-Ortiz A., Vidal J. D., Iborra S., Climent M. J., Cored J., Ruano D., Pérez-Dieste V., Concepción P., Corma P. // J. Catal. 2020. V. 389. P. 706.
- Gong T., Huang Y., Qin L., Zhang W., Li J., Hui L., Feng L. // Appl. Surf. Sci. 2019. V. 495. P. 143495.
- Рассолов А.В., Брагина А. В., Баева Г. Н., Машковский И. С., Смирнова Н. С., Герасимов Е. Ю., Бухтияров Е. Ю., Зубавичус Е. Ю., Стахеев А. Ю. // Кинетика и катализ. 2022. Т 63. № 6. С. 798. (Rassolov A. V., Bragina G. O., Baeva G. N., Mashkovsky I. S., Smirnova N. S., Gerasimov E. Yu., Zubavichus Y. V., Stakheev A. Y. // Kinet. Catal. 2022. V. 63. № 6. P. 756.)
- Liu Y., McCue A. J., Li D. // ACS Catal. 2021. V. 11. P. 9102.
- Albani D., Shahrokhi D., Chen Z., Mitchell Z., Hauert Z., López N., Pérez-Ramírez J. // Nature Commun. 2018. V. 9. P. 2634.
- Crespo-Quesada M., Yarulin A., Jin M., Xia Y., Kiwi-Minsker Y. // J. Am. Chem. Soc. 2011. V. 133. P. 12787.
- Belykh L.B., Skripov L. B., Sterenchuk L. B., Gvozdovskaya L. B., Sanzhieva L. B., Schmidt F. K. // J. Nanopart. Res. 2019. V. 21. № 9. P. 198.
- Скрипов Н.И., Белых Н. И., Стеренчук Н. И., Гвоздовская Н. И., Жердев В. В., Дашабылова Т. М., Шмидт Ф. К. // Кинетика и катализ. 2020. Т. 61. № 4. C. 526. (Skripov N. I., Belykh L. B., Sterenchuk T. P., Gvozdovskaya K. L., Zherdev V. V., Dashabylova T. M., Schmidt F. K. // Kinet. Catal. 2020. V. 61. № 4. P. 575.)
- Скрипов Н.И., Белых Н. И., Стеренчук Н. И., Корнаухова Т. А., Миленькая Е. А., Шмидт Ф. К. // Кинетика и катализ. 2022. Т. 63. № 2. С. 223. (Skripov N. I., Belykh L. B., Sterenchuk T. P., Kornaukhova T. A., Milenkaya E. A., Schmidt F. K. // Kinet. Catal. 2022. V. 63. № 2. P. 197.)
- Belykh L.B., Skripov N. I., Sterenchuk T. P., Akimov V. V., Tauson V. L., Savanovich T. A., Schmidt F. K. // Appl. Catal. A: Gen. 2020. V. 589. Р. 117293.
- Belykh L.B., Skripov N. I., Sterenchuk T. P., Akimov V. V., Tauson V. L., Milenkaya E. A., Schmidt F. K. // Eur. J. Inorg. Chem. 2021. V. 44. P. 4586.
- Гордон А., Форд Р. Спутник химика. Москва: Мир, 1976. 572 с. (Gordon A. J., Ford R. A. The Chemist’s Companion; Wiley & Sons: New York, 1972.)
- Matthews J.C., Nashua N. H., Wood L. L. USA, Patent 3,474,464, 1969.
- Замалютин В.В., Кацман Е. А., Рябов А. В., Скрябина М. А., Шпынева М. А., Данюшевский В. Я., Флид В. Р. // Кинетика и катализ. 2022. Т. 63. № 2. С. 267. (Zamalyutin V. V., Katsman E. A., Ryabov A. V., Skryabina M. A., Shpyneva M. A., Danyushevsky V. Y., Flid V. R. // Kinet. Catal. 2022. V. 63. № 2. P. 234.)
- Стахеев А.Ю., Марков П. В., Тараненко А. С., Брагина Г. О., Баева Г. Н., Ткаченко О. П., Машковский И. С., Кашин А. С. // Кинетика и катализ. 2015. Т. 56. № 6. С. 721. (Stakheev A. Yu., Markov P. V., Taranenko A. S., Bragina G. O., Baeva G. N., Tkachenko O. P., Mashkovskii I. S., Kashin A. S. // Kinet. Catal. 2015. V. 56. № 6. P. 733.)
- Al-Wadhaf H.A. // Catal. Indust. 2015. V. 7. № 3. P. 234.
- Жармагамбетова А.К., Сейткалиева А. К., Талгатов Э. Т., Ауезханова А. С., Джардималиева Г. И., Помогайло А. Д. // Кинетика и катализ. 2016. Т. 57. № 3. С. 362. (Zharmagambetova A. K., Seitkalieva K. S., Talgatov E. T., Auezkhanova A. S., Dzhardimalieva G. I., Pomogailo G. I. // Kinet. Catal. 2016. V. 57. № 3. P. 360.)
- Mastalir A., Kiraly Z., Berger F. // Appl. Catal. A: Gen. 2004. V. 269. № 1–2. P. 161.
- Hamilton C.A., Jackson S. D., Kelly G. J., Spence G. J., de Bruin D. // Appl. Catal. A: Gen. 2002. V. 237. № 1–2. P. 201.
- Al-Wadhaf H.A., Karpov V. M., Katsman E. A. // Catal. Comm. 2018. V. 116. P. 67.
- Semagina N., Grasemann M., Xanthopoulos N., Renken A., Kiwi-Minsker A. // J. Catal. 2007. V. 251. № 1. P. 213.
- Carenco S., Leyva-Perez A., Concepcion P., Boissiere C., Mezailles N., Sanchez C., Corma A. // Nano Today. 2012. V. 7. № 1. P. 21.
- Liu Y., McCue A.J., Miao C., Feng J., Li D., Anderson J. A. // J. Catal. 2018. V. 364. P. 406.
- Markov P.V., Mashkovsky I. S., Bragina G. O., Warna J., Gerasimov E. Yu., Bukhtiyarov V. I., Stakheev A. Yu., Murzin D. Yu. // Chem. Eng. J. 2019. V. 358. P. 520.
- Белых Л.Б., Скрипов Н. И., Стеренчук Т. П., Акимов В. В., Таусон В. Л., Лихацкий М. Н., Миленькая Е. А., Корнаухова Т. А., Шмидт Т. А. // Кинетика и катализ. 2023. № 6. С. 749.
- Cherkasov N., Ibhadon A. O., McCue A.O., Anderson A. O., Johnston S. K. // Appl. Catal. A: Gen. 2015. V. 497. P. 22.
- Khoshkhoo M.S., Scudino S., Thomas J., Gemming T., Wendrock H., Eckert J. // Mater. Lett. 2013. V. 108. P. 343.
Supplementary files











