The method for the vizualization of the dynamics of catalyst transformations based on the results of competing experiments
- Authors: Kurokhtina A.A.1, Larina E.V.1, Lagoda N.A.1, Schmidt A.F.1
-
Affiliations:
- Irkutsk State University
- Issue: Vol 65, No 2 (2024)
- Pages: 188-198
- Section: ARTICLES
- URL: https://journal-vniispk.ru/0453-8811/article/view/265005
- DOI: https://doi.org/10.31857/S0453881124020071
- EDN: https://elibrary.ru/DWRCDF
- ID: 265005
Cite item
Full Text
Abstract
Present paper demonstrates that relative reactivity estimated under competition of several similar substrates can be applied for the demonstrative visualization of the dynamics of active catalyst in a complex catalytic process. The fundamental advantage of the proposed approach is that the state of an active catalyst can be monitored throughout the catalytic reaction without differentiation of the kinetic data on the concentrations of the substances reacted.
Keywords
Full Text
ВВЕДЕНИЕ
Установление роли различных соединений катализатора, формирующихся в ходе многомаршрутных каталитических реакций [1], представляет собой трудоемкую задачу, которая зачастую не имеет однозначного решения. Сложность различения активных и неактивных, т.е. находящихся за пределами основного каталитического цикла, форм катализатора обусловлена постоянно протекающими в ходе процесса взаимопревращениями этих форм [2]. Наиболее распространенным в литературе подходом к установлению природы каталитически активных соединений в настоящее время можно считать использование одного или комбинации нескольких физико-химических методов исследования, позволяющих отслеживать изменение количества той или иной формы катализатора в результате каталитической реакции (ЯМР-, ИК-, УФ-спектроскопия, ICP-MS, электронная микроскопия, рентгеновские методы и т.д.) с одновременной фиксацией каталитической активности [3–8]. Поскольку сам по себе факт присутствия в реакционной системе того или иного соединения катализатора недостаточен для формулировки вывода о его роли в катализе, такая задача может быть решена с помощью одновременного отслеживания закономерностей изменения количества наблюдаемой формы катализатора и концентраций превращающихся субстратов и/или образующихся продуктов реакции во времени [9, 10]. Этот вариант экспериментальных процедур существенно более трудоемок, что является основным ограничивающим фактором такого рода исследований, которые, тем не менее, присутствуют в научной литературе [8, 11–13]. Ранее для решения задачи установления природы истинного катализатора сложных реакций нами был предложен метод анализа закономерностей дифференциальной селективности по так называемым фазовым траекториям [14, 15], которые представляют собой зависимости выходов продуктов двух конкурирующих или параллельных реакций друг от друга. Наклон фазовой траектории в любой точке является отношением скоростей этих конкурирующих или параллельных реакций, которое однозначно характеризует величину дифференциальной селективности катализатора [14, 15]. Принципиально важно, что метод не требует дифференциальных кинетических данных о скоростях реакций. Таким образом, сравнительное исследование дифференциальной селективности по фазовым траекториям реакции при варьировании условий ее проведения дает информацию о характере влияния изменившихся параметров на состояние активной формы катализатора. Более того, в зависимости от сложности так называемого узла сопряжения конкурирующих или параллельных реакций [1, 16], в котором определяется селективность, анализ формы фазовой траектории реакции с помощью линейного регрессионного анализа или методов численного интегрирования (подробно см. в [15, 17]) может быть использован для отслеживания трансформации каталитической системы по мере развития процесса. Для решения задачи визуализации эволюционных изменений активного катализатора в ходе реакции можно применить иной подход, сущность которого заключается в определении временных закономерностей относительной реакционной способности однотипных конкурирующих субстратов. В настоящей работе мы попытались продемонстрировать возможности и преимущества предлагаемого подхода с анализом относительной реакционной способности субстратов для отслеживания динамических превращений активного катализатора в ходе развития каталитического процесса, используя в качестве объектов исследования реакции кросс-сочетания арилгалогенидов с арилборными производными (реакция Сузуки–Мияуры) [18] и алкенами (реакция Мицороки–Хека) [19].
ЭКСПЕРИМЕНТАЛЬНАЯ ЧАСТЬ
Все эксперименты проводили без применения инертной атмосферы. Отбираемые пробы реакционной смеси анализировали на газожидкостном хроматографе Кристалл 5000.2 (“Хроматэк”, Россия, ДИП, колонка HP-5 15 м) и хромато-масс-спектрометре GC-MS QP-2010 Ultra (“Shimadzu”, Япония) с ионизацией электронным ударом (энергия ионизации – 70 эВ, колонка GsBP-5MS размером 0.25 мкм × 0.25 мм × 30 м, газ-носитель – гелий) с программированным нагревом от 110 до 250°С. Полученные масс-спектры сравнивали с библиотечными (библиотеки сравнения Wiley, NIST, NIST05). Значения аналитических выходов продуктов находили методом внутреннего стандарта (нафталин) с применением факторов отклика, определяемых по аутентичным образцам. Материальный баланс реакции рассчитывали в каждой пробе реакционной смеси с учетом количества израсходовавшихся субстратов и образовавшихся в результате реакции целевых продуктов. Отклонения баланса от теоретического значения не превышали 5%.
Для оценки воспроизводимости каждый эксперимент выполняли 3 раза. Математическую обработку кинетических данных и построение зависимостей относительной реакционной способности конкурирующих субстратов от степени превращения осуществляли с помощью средств программы “Microsoft Excel 2007” [20].
Приготовление катализаторов
Для получения 4% Pd/C к 20 мл толуола добавляли 1 г углеродного материала (“Сибунит” [21], фракция 0.2–0.25 мм) и ацетат палладия в количестве, соответствующем 4 мас. % Pd (0.09 г). Перемешивали в течение 30 мин при температуре 90–99°С. Полноту адсорбции ацетата палладия углем контролировали по интенсивности поглощения в растворе при 300 нм. Для формирования на поверхности угля наноразмерных частиц металлического палладия к раствору добавляли 0.04 мл муравьиной кислоты и перемешивали еще 20 мин. Полученный катализатор отфильтровывали, промывали ацетоном и сушили в вакууме.
Pd/Al2O3 получали по аналогичной методике.
Каталитические эксперименты
В конкурентной реакции Сузуки–Мияуры конкурирующие бромбензол и 4-бромацетофенон (по 5 ммоль каждого) и нафталин в качестве внутреннего стандарта для хроматографии (1 ммоль) растворяли при комнатной температуре в 5 мл N,N-диметилформамида (ДМФА). Полученный раствор вводили в стеклянный реактор, снабженный резиновой мембраной и магнитным мешальником, содержащий фенилборную кислоту (5 ммоль), ацетат натрия (6.5 ммоль) в качестве основания и палладиевый предшественник катализатора (0.008–0.08 ммоль). Реакцию начинали, помещая реактор в предварительно нагретую до 140°С масляную баню при перемешивании (480 об/мин). Пробы реакционной смеси периодически отбирали из реактора с помощью шприца с металлической иглой. Для хроматографического анализа 100 мкл пробы реакционного раствора экстрагировали 100 мкл хлороформа. Продолжительность реакции составляла 3–7 ч.
В качестве палладиевого предшественника катализатора использовали: PdCl2, Pd/C, Pd/Al2O3.
В конкурентной реакции Мицороки–Хека конкурирующие 4-хлорацетофенон и 1,4-дихлорбензол (по 5 ммоль каждого) и нафталин в качестве внутреннего стандарта для хроматографии (0.5 ммоль) растворяли при комнатной температуре в 2.5 мл N-метилпирролидона (NMP). Полученный раствор вводили в стеклянный реактор, снабженный резиновой мембраной и магнитным мешальником, содержащий н-бутилакрилат (0.625 ммоль), ацетат натрия (3.25 ммоль) в качестве основания, NBu4Br (2.5 г) и палладиевый предшественник катализатора (0.006–0.015 ммоль). Реакцию начинали, помещая реактор в предварительно нагретую до 140°С масляную баню при перемешивании (480 об/мин). Пробы реакционной смеси периодически отбирали из реактора с помощью шприца с металлической иглой. Для хроматографического анализа 100 мкл пробы реакционного раствора экстрагировали 100 мкл смеси толуол/вода (1/1). Продолжительность реакции составляла 1–2 ч.
В качестве палладиевого предшественника катализатора использовали: PdCl2, Pd(OAc)2, Pd/C, Pd/Al2O3.
РЕЗУЛЬТАТЫ И ИХ ОБСУЖДЕНИЕ
Различные варианты метода конкурирующих реакций достаточно часто применяются в кинетических исследованиях сложных каталитических процессов. Основное преимущество конкурентного варианта исследований – возможность оценки в некотором виде дифференциальной селективности катализатора, которая, в отличие от каталитической активности (скорости реакции), не подвержена влиянию его превращений за пределами каталитического цикла (формирование, дезактивация/отравление, повторная реактивация). Поскольку протекание таких превращений – это неотъемлемая часть подавляющего большинства каталитических процессов [2, 3, 22–28], при планировании исследования и/или интерпретации получаемых данных оптимальным является применение методов, результаты которых не зависят от изменяющейся концентрации каталитически активных соединений. Использование близких по свойствам конкурирующих за общий катализатор субстратов удовлетворяет этому условию, поскольку позволяет перейти от оценки активности катализатора к оценке его селективности. Кроме того, такой вариант значительно упрощает интерпретацию результатов по сравнению с “неконкурентными” экспериментами, поскольку, в отличие от каталитической активности, определяемой всей совокупностью последовательно-параллельных стадий каталитической реакции, величина селективности характеризует свойства так называемого узла сопряжения конкурентной реакции [1, 16], образованного значительно меньшим числом элементарных стадий.
Одним из типичных вариантов применения конкурентных экспериментов в исследованиях каталитических процессов является установление параметров гамметовских зависимостей, описывающих чувствительность относительной реакционной способности конкурирующих субстратов к природе их заместителей. Чаще всего в этом случае оцениваются величины эффективных констант скоростей превращения конкурирующих субстратов путем определения средних (или, значительно реже, начальных [26, 29]) скоростей их расходования или накопления соответствующих продуктов за конечный промежуток времени [30, 31]. Очевидно, что в таком случае результаты оценки относительных реакционных способностей становятся зависимыми от особенностей кинетики реакции (периоды автоускорения, процессы дезактивации, приводящие к падению скорости реакции и т.д.). Кроме того, определение скоростей требует процедуры дифференцирования интегральных кинетических данных о количествах субстратов или продуктов в различные моменты времени, что также может стать источником дополнительных ошибок. На наш взгляд, возможен иной подход к оценке относительных реакционных способностей конкурирующих субстратов, позволяющий избежать упомянутых сложностей. В том случае, если скорость стадии взаимодействия субстрата с катализатором, входящей в узел сопряжения конкурентной реакции, имеет первые порядки по концентрациям субстрата и катализатора, для произвольного момента времени будет справедливо уравнение:
(1)
где – эффективная константа скорости превращения субстрата S1 в продукт реакции, и – концентрации субстрата S1 и катализатора Сat в момент времени t.
В случае реакции пары конкурирующих субстратов S1 и S2 отношение скоростей их превращения на общем катализаторе Сat в узле сопряжения двух реакций может быть найдено следующим образом:
(2)
Отсюда:
(3)
Интегрирование уравнения (3) приводит к получению уравнения (4):
(4)
где и – концентрации конкурирующих субстратов S1 и S2 в момент времени t, и – концентрации этих субстратов в начальный момент времени.
В таком случае отношение эффективных констант скоростей превращения конкурирующих субстратов, т.е. их относительная реакционная способность, будет выглядеть как:
(5)
где krel – относительная реакционная способность конкурирующих субстратов S2 и S1.
Находимое по уравнению (5) значение относительной реакционной способности характеризует свойства селективностьопределяющих стадий, которые, в свою очередь, определяются свойствами общего для конкурирующих субстратов интермедиата каталитического цикла Cat. При этом, как следует из уравнения (5), для оценки krel в данный момент реакции t требуется лишь знание интегральных кинетических данных о концентрациях конкурирующих субстратов в этот момент времени. В том случае, если более удобным для конкретных условий конкурентной реакции является фиксирование не текущих концентраций конкурирующих субстратов , а концентраций образующихся из них продуктов, можно перейти к этим величинам через количество субстрата, израсходовавшегося на образование продуктов Р к моменту времени t:
(6)
где – суммарная концентрация продукта(ов) превращения субстрата S1 к моменту времени t.
В таком случае можно преобразовать уравнение (5) как:
(7)
Из вида уравнений (5) и (7) следует, что относительная реакционная способность krel может рассматриваться, с одной стороны, как функция времени, а с другой –меняющихся в ходе реакции концентраций конкурирующих субстратов и/или образующихся из них продуктов. При этом, поскольку величина krel определяется свойствами селективностьопределяющих стадий, в том числе природой общего для конкурирующих субстратов интермедиата каталитического цикла, изменение этой величины в ходе развития реакции означает изменение природы этого общего интермедиата. Кроме того, сравнительное исследование закономерностей krel в ходе конкурирующих реакций, отличающихся условиями их проведения, может быть использовано для оценки влияния варьируемых условий на состояние каталитически активных соединений, ответственных за превращение конкурирующих субстратов. Важно отметить, что чувствительность наблюдаемых кинетических закономерностей (величины максимальной и/или средней скорости, продолжительности периода автоускорения, времени активной работы катализатора и т.д.) к условиям реакции может быть обусловлена изменением количества активного катализатора при сохранении его природы. В таком случае значение krel также должно оставаться постоянным. Таким образом, изменение krel при варьировании условий протекания процесса является однозначным индикатором трансформации каталитически активного центра. Для того чтобы нивелировать возможные различия в кинетических параметрах, обусловленные нестационарностью концентрации (не природы) каталитически активных частиц, сравнение закономерностей krel в ходе каталитического процесса при варьировании условий реакции удобно проводить, отслеживая возможные изменения этого параметра с ростом степени превращения субстратов. В том случае, если конкурирующие субстраты S1 и S2 превращаются в продукты реакции в результате взаимодействия с неким общим реагентом R, степень конверсии общего реагента Х (при условии отсутствия его побочных превращений) может быть рассчитана как:
(8)
где Х – степень превращения общего для конкурирующих субстратов реагента, – его начальная концентрация.
Таким образом, проведение конкурентного эксперимента с кинетическим контролем концентраций конкурирующих субстратов и/или образующихся из них продуктов позволяет отслеживать возможные изменения природы общего для конкурирующих субстратов активного интермедиата каталитического цикла в результате эволюции каталитической системы в ходе реакции путем построения зависимостей krel = f (X) или krel = f (t), являющихся проекциями на соответствующие координатные плоскости трехмерной функции krel = f /(X,t). С другой стороны, сопоставление таких зависимостей в серии экспериментов с варьированием условий их проведения позволяет сделать вывод о возможном влиянии варьируемых условий на природу каталитически активных соединений.
Предлагаемый способ оценки относительной реакционной способности конкурирующих субстратов с использованием данных об их концентрациях (уравнение (5)) корректен также в случае образования более чем одного продукта из каждого из конкурирующих субстратов. Принципиально важным в этой ситуации является накопление таких продуктов в результате превращений интермедиатов каталитических циклов, формирующихся из субстратов и одного общего катализатора в узле сопряжения конкурирующих процессов [32]. Следует отметить, что результаты оценки относительной реакционной способности субстратов по данным об их текущих концентрациях по уравнению (5) могут приводить к искаженным выводам о состоянии общего для конкурирующих субстратов интермедиата только при одновременной активации конкурирующих субстратов несколькими активными формами катализатора, ответственными за образование разных продуктов. В таком случае наблюдаемые вариации krel могут означать не только изменение природы общих интермедиатов, но также и возможное изменение их относительных количеств, что ограничивает однозначность интерпретаций экспериментально наблюдаемых закономерностей krel, оставаясь, однако, важной экспериментальной информацией, требующей учета при формулировке гипотез механизма. При этом гипотеза одновременной активности нескольких различных типов активных частиц также может быть проверена экспериментально при наличии возможности оценки величины дифференциальной селективности в условиях параллельной реакции превращения данного типа субстратов с образованием двух или более продуктов [33].
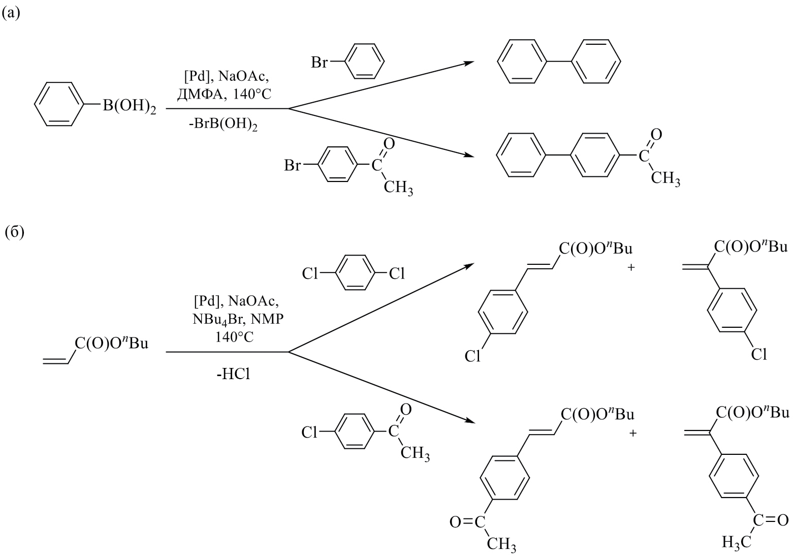
Предложенный подход был апробирован на реакциях кросс-сочетания Сузуки–Мияуры и Мицороки–Хека (схема 1). Проведение этих реакций в условиях конкуренции пары арилгалогенидов позволяет исследовать закономерности изменения состояния соединения катализатора, участвующего в стадии окислительного присоединения арилгалогенида, в которой, согласно общепринятым представлениям о механизмах каталитических циклов этих процессов [7, 8, 18, 19, 28], осуществляется такая конкуренция (схема 2). Следует тем не менее отметить, что оценка относительной реакционной способности пары однотипных конкурирующих субстратов может проводиться без привязки к конкретной гипотезе о природе стадий, определяющих селективность, поскольку, вне зависимости от природы общего интермедиата и механизма стадии его взаимодействия с субстратом, в случае неизменности природы интермедиата значение krel должно оставаться постоянным.
Схема 1. Реакции Сузуки–Мияуры (а) и Мицороки–Хека (б) в условиях конкуренции пары арилгалогенидов.
Схема 2. Принципиальная схема реакций Сузуки–Мияуры и Мицороки–Хека при использовании пары конкурирующих арилгалогенидов.
Известно, что функционирование палладиевых каталитических систем реакций кросс-сочетания арилгалогенидов характеризуется множественными динамическими превращениями различных потенциально активных форм катализатора в ходе каталитического процесса [2, 22, 23, 26, 28, 34]. Возможное изменение природы активного катализатора в ходе этих реакций может быть обусловлено, с одной стороны, взаимными превращениями различных растворенных и твердых форм катализатора, вносящих различные вклады в каталитическое превращение субстрата [2, 22, 23, 26, 28, 35]. С другой стороны, лигандное окружение активных частиц палладия также может меняться вследствие изменения в ходе реакции соотношения количеств способных к координации к палладию нейтральных и анионных частиц (накопление т.н. эндогенных галогенид-ионов в результате конверсии арилгалогенида [33, 36–39], возможные побочные превращения фосфиновых лигандов [40, 41] и т.д., схема 3). В том случае, если эволюция каталитической системы приводит к изменениям природы каталитически активных частиц или относительных вкладов двух или более каталитически активных форм в конверсию субстратов, это неизбежно должно сказаться на наблюдаемом значении krel.
Схема 3. Общая схема взаимопревращения сосуществующих форм катализатора в ходе реакций сочетания арилгалогенидов.
Ранее для реакции Сузуки–Мияуры было неоднократно продемонстрировано, что в зависимости от природы арилгалогенидного субстрата и предшественника катализатора основной вклад в каталитическое превращение могут вносить как истинно растворенные молекулярные комплексы палладия, что соответствует реализации механизма гомогенного катализа, так и гетерогенные (наноразмерные и более крупные) частицы по механизму гетерогенного катализа [42–44]. Для т.н. “безлигандных” каталитических систем на основе палладия (т.е. таких, в составе которых отсутствуют фосфиновые, азотсодержащие, карбеновые или любые другие стабилизирующие палладий сильные органические лиганды) полученные нами данные указывали на протекание реакции в растворе по механизму гомогенного катализа при использовании арилиодидов или арилхлоридов в качестве субстратов [45, 46], в то время как превращение арилбромидов в значительной степени обеспечивается гетерогенными частицами палладия [45, 47, 48].
Учитывая данные предыдущих исследований, можно было ожидать, что в реакции Сузуки–Мияуры величина относительной реакционной способности при применении арилбромидов в качестве конкурирующих субстратов будет проявлять чувствительность к варьированию природы палладиевого предшественника катализатора вследствие различного состава и/или строения гетерогенных частиц палладия, обладающих каталитической активностью. Действительно, величины пары конкурирующих арилбромидов (cхема 1а) в экспериментах с варьированием палладиевых предшественников катализатора не совпадали (рис. 1). Принципиально важным является то, что построение зависимостей krel = f (X) однозначно демонстрировало не только несовпадение абсолютных значений относительной реакционной способности конкурирующих арилбромидов при использовании предшественников различной природы, но и отличающийся характер изменения этой величины в ходе эволюции каталитического процесса. При проведении эксперимента с применением растворимого предшественника катализатора PdCl2 при более высокой его загрузке величина krel падала с ростом степени превращения фенилборной кислоты, достигая стационарного значения (~5.6–5.8, рис. 1). В то же время в эксперименте с уменьшенным в 10 раз количеством растворимого PdCl2 величина также изменялась, но в противоположном направлении, увеличиваясь с повышением степени превращения фенилборной кислоты, и также достигала примерно постоянного значения (~13). Учитывая данные о нелинейном характере процесса агломерации молекулярных комплексов палладия (схема 3) с образованием наноразмерной и далее более грубодисперсной фазы металлического палладия [25, 28], справедливо предположить формирование более крупных агрегатов палладия в случае более высокой концентрации предшественника. Вместе с тем установление стационарных значений krel по достижении некоторой степени превращения фенилборной кислоты (около 50%) согласуется с установлением стационарного распределения палладия между различными (активными и неактивными) формами в результате эволюции каталитического процесса в соответствии с концепцией саморегулирования каталитических систем реакций кросс-сочетания [2, 49].
Рис. 1. Зависимости величин относительной реакционной способности конкурирующих 4-бромацетофенона и бромбензола, krel = k4-бромацетофенон/kбромбензол, рассчитанной по уравнению (7), от конверсии фенилборной кислоты в реакции Сузуки–Мияуры при варьировании природы и загрузки палладиевого предшественника катализатора.
Применение нанесенных на нерастворимые подложки гетерогенных предшественников катализатора сопровождалось изменениями абсолютных значений krel относительно зафиксированных при тех же степенях превращения в экспериментах PdCl2, и при этом изменения этой величины в результате развития реакции также имели иной характер (рис. 1). При использовании палладия, нанесенного на мезопористый углеродный носитель (сибунит [21]), величина krel слабо менялась в ходе реакции, позволяя предположить ее протекание на присутствующих на поверхности носителя гетерогенных частицах палладия [47]. Применение палладиевого предшественника на другом мезопористом носителе – окиси алюминия – сопровождалось изменением krel в ходе реакции, которая, тем не менее, при больших степенях превращения оказывалась близкой к значению, зафиксированному в эксперименте с Pd/C (рис. 1). На наш взгляд, полученные данные об изменении относительной реакционной способности конкурирующих арилбромидов в ходе эволюции каталитической системы реакции Сузуки–Мияуры однозначно указывают на существование нескольких (как минимум двух) различных каталитически активных форм, превращающихся друг в друга в ходе процесса, и при этом по меньшей мере одна из этих форм имеет гетерогенную природу (схема 3).
В отличие от реакции Сузуки–Мияуры, для которой в литературе представлены многочисленные свидетельства варьирования относительных вкладов в катализ истинно растворенных и гетерогенных палладиевых соединений, для родственной реакции Мицороки–Хека в течение продолжительного времени большинством исследователей принята точка зрения об истинно гомогенном механизме катализа вне зависимости от условий ее проведения [22, 28, 35, 50, 51]. В случае такого механизма использование различных растворимых и нерастворимых палладиевых предшественников катализатора в реакции Мицороки–Хека приводит к образованию одного и того же типа активных молекулярных комплексов Pd0 и PdII, стабилизированных присутствующими в реакционной системе анионными и/или нейтральными лигандами (экзо- или эндогенные анионы галогенов и основания, фосфиновые/азотсодержащие или иные сильные органические лиганды, молекулы растворителя) [28, 33–36, 38, 39, 50]. Таким образом, при сохранении лигандного состава реакционной системы постоянное варьирование природы предшественника катализатора (растворимый или нерастворимый) не приведет к изменению природы активных частиц.
Закономерности относительной реакционной способности конкурирующих 4-хлорацетофенона и 1,4-дихлорбензола в реакции Мицороки–Хека (схема 1б) в условиях применения растворимых и нерастворимых гетерогенных палладиевых предшественников катализатора приведены на рис. 2. Поскольку в реакции Мицороки–Хека в качестве продуктов превращения каждого из конкурирующих арилгалогенидов образуются α- и β-региоизомерные дизамещенные алкены, krel рассчитывали по уравнению (7) с использованием суммарных концентраций таких продуктов. Как следует из полученных данных, величины krel при применении растворимых (PdCl2 и Pd(OAc)2) и нерастворимого (Pd/C) предшественников катализатора незначительно варьировались лишь при очень низких степенях превращения общего для конкурирующих арилхлоридов алкена, достигая примерно одинакового значения, которое далее оставалось практически неизменным на всем протяжении каталитической реакции. Существенные отклонения krel на начальном этапе реакции были лишь в случае использования другого гетерогенного предшественника – Pd/Al2O3 – и тоже при очень низких степенях превращения, после чего наблюдаемое значение относительной реакционной способности совпадало со значениями, найденными в экспериментах с другими предшественниками (рис. 2). Полученные закономерности позволяют сделать заключение об образовании в условиях реакции Мицороки–Хека при применении различных растворимых и нерастворимых предшественников преимущественно одной стабильной на протяжении практически всего каталитического процесса активной формы катализатора, которой, в соответствии с приведенными выше рассуждениями, являются истинно растворенные молекулярные комплексы палладия.
Рис. 2. Зависимости величин относительной реакционной способности конкурирующих 4-хлорацетофенона и 1,4-дихлорбензола krel = k4-хлорацетофенон/kдихлорбензол, рассчитанной по уравнению (7), от конверсии н-бутилакрилата в реакции Мицороки–Хека при варьировании природы и загрузки палладиевого предшественника катализатора.
ЗАКЛЮЧЕНИЕ
Приведенные в настоящей работе данные наглядно демонстрируют возможность анализа эволюционных изменений катализатора в результате развития каталитического процесса без использования специализированного оборудования. Немаловажно, что для оценки величины относительной реакционной способности конкурирующих субстратов krel, являющейся наглядной характеристикой природы каталитически активных частиц, требуются исключительно первичные кинетические данные о концентрациях конкурирующих субстратов или образующихся из них продуктов. Сравнительное исследование закономерностей krel в ходе одного эксперимента и в серии экспериментов с направленным варьированием условий наглядно визуализирует возможные изменения активного катализатора. Полученные с помощью предлагаемого подхода данные о существенном вкладе гетерогенного механизма катализа в “безлигандных” условиях реакции Сузуки–Мияуры и гомогенного механизма катализа в реакции Мицороки–Хека согласуются с результатами предыдущих исследований [19, 28, 35, 42–45, 47, 48], демонстрируя адекватность подхода в качестве инструмента изучения механизмов каталитических процессов, осложненных множественными превращениями активных и неактивных форм катализатора.
ФИНАНСИРОВАНИЕ
Работа выполнена при финансовой поддержке Российского научного фонда (грант № 19-13-00051-П) с использованием оборудования Центра коллективного пользования аналитическим оборудованием ИГУ (http://ckp-rf.ru/ckp/3264/).
КОНФЛИКТ ИНТЕРЕСОВ
Авторы заявляют об отсутствии конфликта интересов, требующего раскрытия в данной статье.
Сокращения и обозначения: ДМФА – N,N-диметилформамид, NMP – N-метилпирролидон.
About the authors
A. A. Kurokhtina
Irkutsk State University
Email: aschmidt@chem.isu.ru
Chemical Department
Russian Federation, K. Marx str., 1, Irkutsk, 664003E. V. Larina
Irkutsk State University
Email: aschmidt@chem.isu.ru
Chemical Department
Russian Federation, K. Marx str., 1, Irkutsk, 664003N. A. Lagoda
Irkutsk State University
Email: aschmidt@chem.isu.ru
Chemical Department
Russian Federation, K. Marx str., 1, Irkutsk, 664003A. F. Schmidt
Irkutsk State University
Author for correspondence.
Email: aschmidt@chem.isu.ru
Chemical Department
Russian Federation, K. Marx str., 1, Irkutsk, 664003References
- Темкин О.Н. // Кинетика и катализ. 2012. Т. 53. С. 326. (Temkin O.N. // Kinet. Catal. 2012. V. 53. P. 313.)
- Galushko A.S., Kashin A.S., Eremin D.B., Polynski M.V., Pentsak E.O., Chernyshev V.M., Ananikov V.P. / In: Nanoparticles in Catalysis: Advances in Synthesis and Applications. Wiley Online Books, 2021. P. 13.
- Martín A.J., Mitchell S., Mondelli C., Jaydev S., Pérez-Ramírez J. // Nature Catal. 2022. V. 5. P. 854.
- Li Y., Zakharov D., Zhao S., Tappero R., Jung U., Elsen A., Baumann Ph., Nuzzo R.G., Stach E.A., Frenkel A.I. // Nature Commun. 2015. V. 6. P. 1.
- Galushko A.S., Boiko D.A., Pentsak E.O., Eremin D.B., Ananikov V.P. // J. Am. Chem. Soc. 2023. V. 145. P. 9092.
- Lu Y., Wu Q., Zhang C., Xu M., Yuan Y., Yao J. // Chem. Commun. 2022. V. 58. P. 6538.
- Wen S., Niu Y., Li S., Zhang L., Zhang Y., Botton G.A., Wan Y., Zhang B. // ACS Nano. 2021. V. 15. P. 8621.
- Yuan N., Pascanu V., Huang Z., Valiente A., Heidenreich N., Leubner S., Inge A.K., Gaar J., Stock N., Persson I., Martín-Matute B., Zou X. // J. Am. Chem. Soc. 2018. V. 140. P. 8206.
- Bañares M.A. // Adv. Mater. 2011. V. 23. P. 5293.
- Schmidt A.F., Kurokhtina A.A., Larina E.V. // Mendeleev Commun. 2017. V. 27. P. 213.
- Lv C., Cheng H., He W., Shah M.I.A., Xu C., Meng X., Jiao L., Wei S., Li J., Liu L., Li Y. // Nano Res. 2016. V. 9. P. 2544.
- Kaftan A., Kusche M., Laurin M., Wasserscheid P., Libuda J. // Appl. Catal. B: Environ. 2017. V. 201. P. 169.
- Tillekaratne A., Simonovis J.P., Zaera F. // Surf. Sci. 2016. V. 652. P. 134.
- Schmidt A.F., Kurokhtina A.A., Larina E.V. // Catal. Sci. Technol. 2014. V. 4. P. 3439.
- Шмидт А.Ф., Курохтина А.А. // Кинетика и катализ. 2012. Т. 53. № 6. С. 760. (Schmidt A.F., Kurokhtina A.A. // Kinet. Catal. 2012. V. 53. P. 714.)
- Темкин О.Н. Гомогенный металлокомплексный катализ. Кинетические аспекты. Москва: ИКЦ “Академкнига”, 2008. 918 с. (Temkin O.N. Homogeneous Catalysis with Metal Complexes. Kinetic Aspects and Mechanisms. Chichester: John Wiley & Sons Ltd. 2012. 803 p.)
- Шмидт А.Ф., Курохтина А.А., Ларина Е.В., Лагода Н.А. // Тонкие химические технологии. 2023. Т. 18. № 4. С. 328. (Schmidt A.F., Kurokhtina A.A., Larina E.V., Lagoda N.A. // Fine Chem. Tech. 2023. V. 18. P. 328.)
- Suzuki A. // Angew. Chem. Int. Ed. 2011. V. 50. P. 6722.
- The Mizoroki–Heck Reaction.Ed. Oestreich M. Munster: John Wiley & Sons Ltd., 2009. 587 р.
- Excel for Scientists and Engineers: Numerical Methods. 2nd Ed. E.J. Billo. John Wiley & Sons, 2007. 480 р.
- Мироненко Р.М., Бельская О.Б., Лихолобов В.А. // Российский химический журнал. 2019. T. 62. № 1–2. С. 141. (Mironenko R.M., Belskaya O.B., Likholobov V.A. // Rus. J. Gen. Chem. 2020. V. 90. P. 532.)
- Newton O., Hellgardt K., Richardson J., Hii K.K.M. // J. Catal. 2023. V. 424. P. 29.
- Jeddi N., Scott N.W.J., Fairlamb I.J.S. // ACS Catal. 2022. V. 12. Р. 11615.
- Hammond C. // Green Chem. 2017. V. 19. Р. 2711.
- Finney E.E., Finke R.G. // Ind. Eng. Chem. Res. 2017. V. 56. P. 10271.
- Reay A.J., Fairlamb I.J.S. // Chem. Commun. 2015. V. 51. P. 16289.
- Crabtree R.H. // Chem. Rev. 2015. V. 115. P. 127.
- Schmidt A.F., al Halaiqa A., Smirnov V.V. // Synlett. 2006. V. 18. P. 2861.
- Ivančič A., Košmrlj J., Gazvoda M. // Commun. Chem. 2023. V. 6. P. 51.
- Nunes C.M, Monteiro A.L. // J. Brazil. Chem. Soc. 2007. V. 18. P. 1443.
- Hong S.-B., Liang L.-C. // RSC Adv. 2022. V. 12. P. 28862.
- Ларина Е.В., Курохтина А.А., Лагода Н.А., Шмидт А.Ф. // Кинетика и катализ. 2022. Т. 63. № 2. С. 234. (Larina E.V., Kurokhtina A.A., Lagoda N.A., Schmidt A.F. // Kinet. Catal. 2022. V. 62. P. 207.)
- Larina E.V., Kurokhtina A.A., Vidyaeva E.V., Lagoda N.A., Schmidt A.F. // Mol. Catal. 2021. V. 513. P. 111778.
- Ananikov V.P., Beletskaya I.P. // Organometallics. 2012. V. 31. P. 1595.
- Gnad C., Abram A., Urstöger A., Weigl F., Schuster M., Köhler K. // ACS Catal. 2020. V. 10. P. 6030.
- Amatore C., Jutand A. // Acc. Chem. Res. 2000. V. 33. P. 314.
- Kurokhtina A.A., Larina E.V., Yarosh E.V., Lagoda N.A., Schmidt A.F. // Organometallics. 2018. V. 37. P. 2054.
- Шмидт А.Ф., Смирнов В.В. // Кинетика и катализ. 2005. Т. 46. С. 529. (Shmidt A.F., Smirnov V.V. // Kinet. Catal. 2005. V. 46. P. 495.)
- Schroeter F., Strassner T. // Inorg. Chem. 2018. V. 57. P. 5159.
- Altan O. // Appl. Organomet. Chem. 2022. V. 36. P. e6690.
- Amatore C., Jutand A., M’Barki M.A. // Organometallics. 1992. V. 11. P. 3009.
- Scott N.W.J., Ford M.J., Jeddi N., Eyles A., Simon L., Whitwood A.C., Tanner T., Willans C.E. Fairlamb I.J.S. // J. Am. Chem. Soc. 2021. V. 143. P. 9682.
- De Tovar J., Rataboul F., Djakovitch L. // ChemCatChem. 2020. V. 12. P. 5797.
- Van Vaerenbergh B., Lauwaert J., Thybaut J.W., Vermeir P., De Clercq J. // Chem. Eng. J. 2019. V. 374. P. 576.
- Шмидт А.Ф., Курохтина А.А., Ларина Е.В. // Кинетика и катализ. 2012. Т. 53. № 1. С. 86. (Schmidt A.F., Kurokhtina A.A., Larina E.V. // Kinet. Catal. 2012. V. 53. P. 84.)
- Lagoda N.A., Larina E.V., Vidyaeva E.V., Kurokhtina A.A., Schmidt A.F. // Org. Proc. Res. Dev. 2021. V. 25. P. 916.
- Kurokhtina A.A., Larina E.V., Schmidt A.F., Malaika A., Krzyżyńska B., Rechnia P., Kozłowski M. // J. Mol. Catal. A: Chem. 2013. V. 379. P. 327.
- Шмидт А.Ф., Курохтина А.А., Ларина Е.В., Лагода Н.А., Явсин Д.А., Гуревич С.А., Зеликман В.М., Кротова И.Н., Ростовщикова Т.Н., Тарханова И.Г. // Кинетика и катализ. 2023. Т. 64. № 1. С. 39. (Schmidt A.F., Kurokhtina A.A., Larina E.V., Lagoda N.A., Yavsin D.A., Gurevich S.A., Zelikman V.M., Krotova I.N., Rostovshchikova T.N., Tarkhanova I.G. // Kinet. Catal. 2023. V. 64. P. 32.)
- Шмидт А.Ф., Халайка А. // Кинетика и катализ. 1998. Т. 39. № 6. С. 875. (Shmidt A.F., Khalaika A. // Kinet. Catal. 1998. V. 39. P. 803.)
- Biffis A., Centomo P., del Zotto A., Zecca M. // Chem. Rev. 2018. V. 118. P. 2249.
- Phan N.T.S., van der Sluys M., Jones C.W. // Adv. Synth. Catal. V. 348. P. 609.
Supplementary files







