Исследование методом РФЭС различий в стабильности комплексов [M(COD)CL]2 (M = Ir, Rh), закрепленных на модифицированном силикагеле в реакциях спин-селективного гидрирования непредельных углеводородов параводородом
- Авторы: Нартова А.В.1, Квон Р.И.1, Ковтунова Л.М.1, Дмитрачков А.М.1, Сковпин И.В.1,2, Бухтияров В.И.1
-
Учреждения:
- ФГБУН ФИЦ Институт катализа им. Г.К. Борескова СО РАН
- Международный томографический центр СО РАН
- Выпуск: Том 65, № 2 (2024)
- Страницы: 214-223
- Раздел: СТАТЬИ
- URL: https://journal-vniispk.ru/0453-8811/article/view/265007
- DOI: https://doi.org/10.31857/S0453881124020096
- EDN: https://elibrary.ru/DWMTEJ
- ID: 265007
Цитировать
Полный текст
Аннотация
Методом РФЭС исследованы изменения состава закрепленных катализаторов [M(COD)Cl]2–NH2–C3H6–SiO2 и [M(COD)Cl]2–P(Ph)2–C2H4–SiO2 (где M = Ir, Rh) в реакциях газофазного селективного гидрирования пропилена, пропина и 1,3-бутадиена с параводородом (п-H2). В качестве индикатора сохранности структуры закрепленного комплекса как на стадии приготовления образцов, так и в реакции предложено атомное отношение M/Cl. На основании сопоставления данных РФЭС и результатов каталитического тестирования с использованием индуцированной параводородом поляризации ядер показано, что стабильность закрепленного комплекса {[M(COD)Cl]2–Линкер–SiO2} в процессе активации водорода является ключевым фактором в каталитическом поведении систем. На стабильность комплекса оказывает влияние не только выбранные металл и линкер, но и природа гидрируемого субстрата.
Полный текст
ВВЕДЕНИЕ
Одно из важнейших направлений современного катализа – создание и исследование так называемых одноцентровых катализаторов [1–13]. Интерес исследователей к соединениям [M(COD)Cl]2, где М – переходный металл, связан с идеей их использования для приготовления таких одноцентровых иммобилизованных катализаторов, являющихся гетерогенными аналогами гомогенных систем [1–8]. Для закрепления этих комплексов на пористых оксидных носителях применяют модификацию последних прививанием специфических молекул – линкеров, содержащих функциональные группы как для связывания с поверхностью носителя, так и для координации с центральным ионом металлорганического комплекса [14–18], в частности, фосфиновые и амино-группы в терминальном положении [14].
При изучении реакций гидрирования на подобных системах очень информативно использование такого явления, как химическое обогащение спиновых изомеров непредельных углеводородов, лежащее в основе метода индуцированной параводородом поляризации ядер (ИППЯ) [19, 20]. Метод ИППЯ заключается в сохранении первоначальной спиновой корреляции между атомами водорода, пришедшими из одной молекулы параводорода (п-H2), в интермедиатах и продуктах реакции гидрирования субстратов. При этом наблюдается существенное усиление сигналов ядерного магнитного резонанса (ЯМР) [21]. С применением ИППЯ показана зависимость каталитического поведения закрепленных систем от природы металла и линкера [3].
Однако для объяснения обнаруженных закономерностей информации, полученной только методом ЯМР, недостаточно. Так как в рассматриваемых системах предполагается формирование субмонослойного покрытия закрепленным комплексом на поверхности оксидного носителя, рентгеновская фотоэлектронная спектроскопия (РФЭС) выглядит весьма подходящим методом. С другой стороны, поскольку в литературе приводятся данные, указывающие на разрушающее влияние рентгеновского излучения на структуру комплексов [1, 2, 22, 23], применение РФЭС требует дополнительных экспериментов и отработки методики проведения измерений.
Так, для понимания изменений в составе одноцентровых катализаторов гидрирования и их функционирования важной характеристикой является способ закрепления комплекса на гетероатоме линкера. Для этого необходимо оценить:
- заполнение поверхности носителя молекулами линкеров (согласно паспортным данным производителя (“Sigma-Aldrich”), молекулы линкера закрепляются ортогонально поверхности с гетероатомом в терминальном положении);
- покрытие поверхности модифицированного носителя иммобилизованными комплексами [M(COD)Cl]2 в зависимости от используемого типа линкеров и металла.
Из соотношения металл/линкер можно будет сделать вывод о возможных и наиболее вероятных способах иммобилизации комплекса на поверхности носителя. А именно: происходит ли разрушение димеров, существующих в растворе предшественника, и закрепление на поверхности в виде мономеров; если происходит закрепление димеров, координируется ли димерный комплекс с одним или двумя молекулами линкера.
В настоящей работке представлены результаты сопоставления данных РФЭС и ИППЯ ЯМР в реакциях селективного гидрирования пропилена, пропина и 1,3-бутадиена с параводородом (п-H2) для катализаторов [M(COD)Cl]2–NH2–C3H6–SiO2 и [M(COD)Cl]2–P(Ph)2–C2H4–SiO2 (где M = Ir, Rh).
ЭКСПЕРИМЕНТАЛЬНАЯ ЧАСТЬ
Синтез одноцентровых катализаторов
В качестве носителей катализаторов использовали модифицированные диоксиды кремния NH2–C3H6–SiO2 (“Sigma-Aldrich”, 364258) и P(Ph)2–C2H4–SiO2, (“Sigma-Aldrich”, 538019). Исходя из технического описания продукта, производителем была оценена латеральная плотность молекул при равномерном распределении линкера по всей поверхности носителя (табл. 1).
Таблица 1. Латеральная плотность молекул линкера по поверхности носителя
Носитель | S, м2/г | C линкера, мл М г–1 | X, молекула/см2 | X/Si* |
SiOx–N | 550 | 1.0 | 1.09 × 1014 | 0.19 |
SiOx–P | 500 | 0.7 | 8.40 × 1013 | 0.15 |
Примечание. X – количество молекул линкера на см2 поверхности носителя; X/Si* – количество молекул линкера на один поверхностный атом кремния.
Для синтеза [M(COD)Cl]2–NH2–C3H6–SiO2 навески 2 г модифицированного носителя и 0.16 г [Ir(COD)Cl]2 (“STREM Chemicals”, 77-0400, 99%, COD – 1,5-циклооктадиен) (или 0.12 г [Rh(COD)Cl]2, синтезированного по методике [24]) помещали в колбу шленка и сушили в вакууме в течение 30 мин, затем заполняли аргоном. Далее добавляли 5 мл бензола, предварительно перегнанного в атмосфере аргона. Реакционную смесь выдерживали 2 суток при перемешивании, после осадок отфильтровывали, промывали бензолом до бесцветных промывных вод и сушили в вакууме в течение 2 ч. Содержание Ir – 3.9 вес. %, Rh – 3.2 вес. % по данным элементного анализа. Образцы маркированы как Ir–N и Rh–N.
Для синтеза [M(COD)Cl]2–P(Ph)2–C2H4–SiO2 навески 0.4 г модифицированного носителя и 0.15 г [Ir(COD)Cl]2 (или 0.13 г [Rh(COD)Cl]2) помещали в колбу шленка и сушили в вакууме в течение 30 мин, затем заполняли аргоном. Далее добавляли 5 мл бензола, предварительно перегнанного в атмосфере аргона. Реакционную смесь выдерживали 2 суток при перемешивании, после осадок отфильтровывали, промывали бензолом до бесцветных промывных вод и сушили в вакууме в течение 2 ч. Содержание Ir – 3.3 вес. %, Rh – 3.4 вес. % по данным элементного анализа. Образцы маркированы как Ir–Р и Rh–Р.
Каталитические тесты
В работе иммобилизованные катализаторы изучали в газофазном гидрировании пропилена, пропина и 1,3-бутадиена с параводородом (п-H2). Эксперименты выполняли согласно экспериментальному подходу PASADENA [5], в соответствии с которым присоединение п-H2 происходит в сильном магнитном поле. По этой причине гидрирование осуществляли непосредственно в спектрометре ЯМР AV 300 (“Bruker”, Германия, 7.1 Тл, 300 МГц). Эффект ИППЯ регистрировали в спектрах 1H ЯМР реакционной смеси путем приложения радиочастотного (RF) импульса 45° во время потока реагентов через слой катализатора в ампуле реактора. Определение усиления сигнала ЯМР продуктов гидрирования проводили путем сравнения сигнала ИППЯ с соответствующим сигналом, зарегистрированным в термическом равновесии. Спектр 1H ЯМР в термическом равновесии записывали в ампуле без катализатора после остановки в ней потока реакционной смеси с применением RF-импульса 90°.
При гидрировании 1,3-бутадиена во всех экспериментах использовали реакционную смесь 1,3-бутадиен/п-H2 в молярном соотношении 1 : 4. Стандартную 10 мм ЯМР-ампулу с закручивающейся крышкой применяли в качестве реактора. Смесь реагентов подавали в ЯМР-ампулу реактора из баллона при помощи ротаметра фирмы “Aalborg Instruments & Controls, Inc.” (США) по системе тефлоновых капилляров. Скорость потока реагентов во всех экспериментах с ИППЯ была 2 мл/с. Навеску катализатора (20 мг) помещали на дно ампулы реактора и опускали в спектрометр ЯМР. При помощи тефлонового капилляра, проходившего до дна ЯМР-ампулы, реагенты пропускали через катализатор. Гидрирование проводили при давлении 1 атм. Температуру реакции варьировали в диапазоне 25–120 С. После реакции смесь подавали в ампулу, которую применяли для регистрации спектров продуктов реакции в условиях термического равновесия. Конверсию 1,3-бутадиена вычисляли исходя из разницы интенсивностей сигнала ЯМР 1,3-бутадиена до и после пропускания смеси реагентов через катализатор.
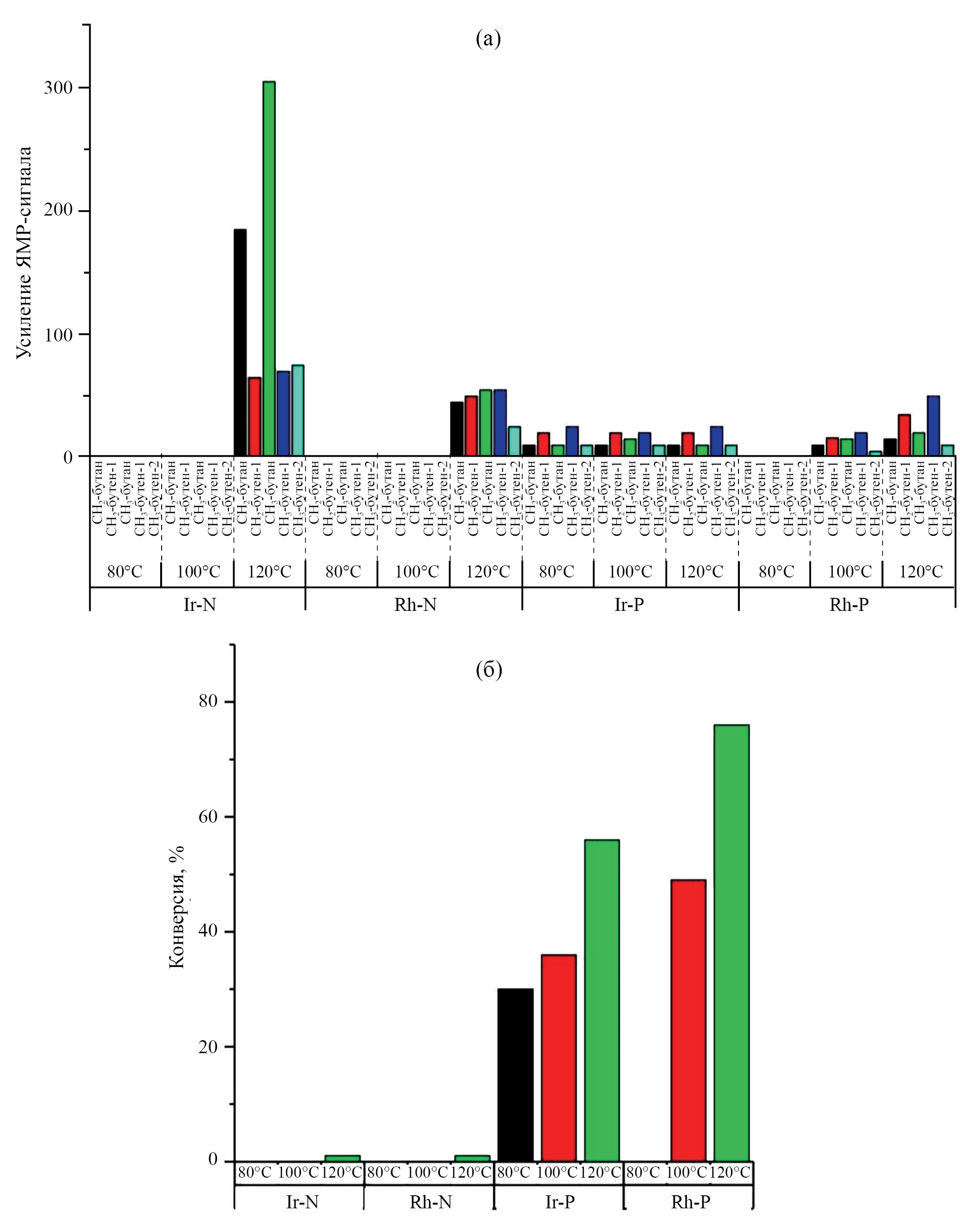
Результаты каталитических тестов для пропилена и пропина подробно описаны в работе [3]. На рис. 1 приведены данные об усилении ЯМР-сигналов и о конверсии 1,3-бутадиена в присутствии исследуемых катализаторов.
Рис. 1. Данные об усилении ЯМР-сигнала (а) и конверсии (б) в реакции гидрирования 1,3-бутадиена параводородом в присутствии исследуемых катализаторов.
РФЭС-исследование
Исследования образцов методом РФЭС осуществляли на фотоэлектронном спектрометре PHOIBOS-150/MCD-9 (“SPECS Surface Nano Analysis GmbH”, Германия) с использованием немонохроматизированного излучения MgKα мощностью до 150 Вт. Перед проведением измерений энергетическая шкала спектрометра была откалибрована по положениям линий Au4f7/2 (84.0 эВ) и Cu2p3/2 (932.7 эВ). Образцы закрепляли на штатном держателе образцов вдавливанием в проводящий медный скотч 3Mтм без дополнительного растирания. Давление остаточных газов в камере анализатора в ходе записи спектров не превышало 3 × 10–7 Па. Обработку спектров выполняли в программном пакете XPSPeak 4.1 с применением функции Гаусса–Лоренца и вычитанием фона по методу Ширли. Ошибка измерений интенсивности сигналов не превышала 10%, положения пиков на шкале энергий связи – 0.1 эВ. Для учета эффекта подзарядки в качестве внутреннего стандарта использовали линию Si2p с энергией связи 103.3 эВ [25]. Для количественного анализа применяли атомные отношения, рассчитываемые как отношения интенсивностей основных линий элементов, отнесенные к факторам элементной чувствительности с учетом функции пропускания анализатора [25]. Состав приповерхностных слоев оценивали с помощью программного пакета Tougaard QUASES-IMFP-TPP2M Ver 2.2 [26]. Эксперименты по восстановлению образцов осуществляли в ячейке высокого давления спектрометра при давлении Н2 1 атм при комнатной температуре и 100°С в течение 60 мин.
Степень покрытия SiO2 линкерами оценивали согласно следующей процедуре. Поскольку измеряемым экспериментально параметром является соотношение сигналов N1s/Si2p или P2p/Si2p, где N1s – РФЭС-сигнал от гетероатома в составе линкера вида NH2–C3H6, а P2p – сигнал от гетероатома в линкере P(Ph)2–C2H4), сначала из расчета степени экранировки сигнала для каждого из слоев SiO2 в программе Quases IMFP определяли вклад верхнего слоя оксида кремния в общую интенсивность сигнала Si2p. Для аморфного SiO2 эта величина составила 13.1%. Дополнительно была рассчитана степень ослабления сигнала Si2p монослоем молекул линкеров, которая составила 0.83 для азотного линкера и 0.77 для фосфинового. Расчет показывает, что соотношение N/Si* (т.е. количество молекул линкера на один поверхностный атом кремния) равно 0.79–0.85, а P/Si* – 0.68–0.73. Поскольку величины покрытия далеки от единицы, проведена дополнительная коррекция, учитывающая вклад поверхностных атомов кремния, не занятых линкером:
где IL(Si2p) – сигнал от поверхности SiO2, покрытого линкером, а IV(Si2p) – сигнал от свободной поверхности SiO2. С учетом такой коррекции соотношение X/Si* составляет 0.4–0.5 (приведено в табл. 2). Это означает, что при равномерном распределении молекул линкеров на поверхности гранул расстояние между молекулами линкера составит от 0.58 до 0.65 нм. Отметим, что исходя из паспортных данных производителя, при равномерном распределении линкера по всей поверхности носителя латеральная плотность молекул в два-три раза ниже (табл. 1).
РЕЗУЛЬТАТЫ И ИХ ОБСУЖДЕНИЕ
В литературе описано воздействие рентгеновского излучения на комплексы состава [M(COD)Cl]2 [1], поэтому для оценки влияния условий записи РФЭ-спектров были проведены эксперименты по продолжительной регистрации спектров кристаллических исходных биядерных комплексов [Ir(COD)Cl]2. На рис. 2 приведено изменение спектров линии Cl2p под действием рентгеновского облучения в условиях сверхвысокого вакуума (СВВ).
Рис. 2. Изменение атомного соотношения Cl/Ir в ходе длительной записи РФЭ-спектров кристаллов комплекса [Ir(COD)Cl]2 в условиях СВВ.
По данным РФЭС, продолжительное воздействие рентгеновским пучком приводит падению интенсивности сигнала Cl2p и уменьшению рассчитанного отношения Cl/Ir на 13.5%. С использованием описанного выше подхода в пакете программ QUASES-IMFP-TPP2M были выполнены расчеты вклада хлора из верхнего слоя кристаллического комплекса в общую интенсивность сигнала Cl2p. Оказалось, что зафиксированное в эксперименте снижение интенсивности сигнала Cl2p отвечает удалению ровно половины (50.2%) атомов хлора из верхнего слоя. Таким образом, по крайней мере в условиях СВВ (парциальное давление водорода ~1 × 10–9 мбар, температура образца ~50°C), в устойчивой форме комплекса атомное соотношение Ir/Cl = 2. Поэтому в дальнейшем атомное отношение Ir/Cl (и Me/Cl в целом) определяли из спектров, записанных в режиме “быстрой регистрации” с энергией пропускания HV = 50 эВ в течение 5–10 мин после включения рентгеновского источника перед записью прецизионных линий (HV = 10 эВ, полная ширина на полувысоте пика Au4f7/2 – 0.93 эВ) продолжительностью 60–90 мин.
Закрепление биядерного комплекса [M(COD)Cl]2 на поверхности модифицированного оксидного носителя через координацию атома М к линкеру подразумевает формирование субмонослойного покрытия. При этом можно ожидать иммобилизации комплекса как с сохранением димера и координацией либо через один, либо через оба атома металла, так и с разрушением димера и с независимой координацией моноядерных комплексов [M(COD)Cl]. При этом в обоих случаях стехиометрическое соотношение металла к хлору, выполняющему функцию противоиона для M+, должно быть как в исходном комплексе – 1 : 1. Тогда атомное отношение M/Cl прямо указывает на сохранность комплекса или его разрушение по сравнению с исходным образцом. На рис. 3 показаны в сравнении районы P2s + Cl2p спектров образца Rh–P в зависимости от условий реакции и после восстановления в ячейке, зарегистрированных в режиме быстрой записи для минимизации воздействия рентгена на образец.
Рис. 3. Район P2s + Cl2p спектра РФЭС для образца Rh–P в зависимости от условий реакции и после восстановления в ячейке.
В табл. 2 приведены оценки покрытия носителя SiO2 линкерами, выполненные по методике, описанной в экспериментальной части. Из таблицы видно, что плотность линкеров на поверхности носителя (т.е. расстояние между соседними молекулами линкеров) является достаточной для того, чтобы допустить координацию комплекса через оба атома металла. Из данных табл. 2 следует, что линкеров на поверхности модифицированного носителя в два-три раза больше, чем металла. Следовательно, не все линкеры заняты комплексами.
Таблица 2. Атомные отношения элементов
Образец | Условияа | Линкер/Si | Линкер/Si* | M/Si | Линкер/M | M/Cl |
Rh–P | Исходный | 0.074 | 0.50 | 0.030 | 2.5 | 1.0 |
Пропилен | 0.072 | 0.49 | 0.025 | 2.9 | 1.7 | |
Пропин | 0.076 | 0.51 | 0.031 | 2.5 | 1.0 | |
Бутадиен | 0.076 | 0.51 | 0.023 | 3.3 | 2.1 | |
H2, 100°C | 0.067 | 0.46 | 0.029 | 2.3 | 9.2 | |
Ir–P | Исходный | 0.069 | 0.47 | 0.037 | 1.9 | 1.4 |
Пропилен | 0.066 | 0.45 | 0.034 | 1.9 | 1.4 | |
Пропин | 0.066 | 0.45 | 0.033 | 2.0 | 1.5 | |
Бутадиен | 0.061 | 0.42 | 0.032 | 1.9 | 2.5 | |
Rh–N | Исходный | 0.086 | 0.43 | 0.031 | 2.8 | 1.1 |
Пропилен | 0.080 | 0.41 | 0.020 | 4.0 | 1.3 | |
Бутадиен | 0.080 | 0.41 | 0.020 | 4.0 | 0.9 | |
Ir–N | Исходный | 0.092 | 0.44 | 0.030 | 3.1 | 1.1 |
Пропилен | 0.080 | 0.41 | 0.027 | 3.0 | 1.2 | |
Пропин | 0.078 | 0.40 | 0.025 | 3.1 | 1.1 | |
Бутадиен | 0.079 | 0.40 | 0.025 | 3.2 | 1.0 | |
H2, 100°C | 0.084 | 0.42 | 0.026 | 3.2 | 2.2 |
аДля образцов после реакции гидрирования указан субстрат. Температура реакции во всех случаях была 120°С.
В модели субмонослойного покрытия значения отношений Линкер/Si, М/Si и M/Cl (табл. 2), полученные на основе анализа спектров РФЭС, позволяют предположить структуру закрепленного комплекса в катализаторе. Важно отметить, что это возможно благодаря тому, что на SiO2 хлор не удерживается, а, следовательно, весь регистрируемый в РФЭС хлор относится только к комплексу [4].
Из табл. 2 видно, что образцы до реакции находятся в виде закрепленного комплекса с неизмененным отношением Ir/Cl. Исключение составляет образец Ir–P, для которого атомное отношение Ir/Cl = 1.4. Рост этого отношения может фиксироваться, если происходит полное разрушение части закрепленного комплекса уже на стадии приготовления. Лишь для этого образца из серии наблюдается конверсия в случае пропилена при 40°С и пропина – при 60°С [3], что можно рассматривать как косвенное указание на такое разложение комплекса с формированием металлического иридия, причем именно на стадии приготовления, так как температура реакции (40 и 60°С) недостаточно высока для разрушения комплекса в реакционных условиях.
С целью изучения влияния активации водорода на закрепленных катализаторах на структуру активного центра образцы Rh–P и Ir–N были прогреты в 1 атм Н2, после чего были записаны спектры РФЭС. В табл. 2 приведены результаты количественного анализа спектров РФЭС после прогрева в водороде при 100°С, из которых видно, что взаимодействие водорода с закрепленным комплексом, иными словами, активация водорода, может приводить к разрушению комплекса в условиях реакции. Комплекс в Rh–Р-катализаторе значительно менее стабилен в тех же условиях (Rh/Cl = 9.2), нежели Ir–N (Ir/Cl = 2.2). Сопоставление данных для катализатора Rh–P при прогреве в водороде при комнатной температуре, когда комплекс стабилен, и после прогрева в водороде при 100°С, когда наблюдается полное его разрушение, указывает именно на активацию водорода. А вот в образце Ir–N уход хлора схож с тем, что наблюдался при облучении рентгеном кристаллического предшественника.
Сопоставление данных РФЭС для свежеприготовленных образцов и образцов после реакции гидрирования при 120°С (табл. 2) показывает, что в ходе реакции некоторая часть линкеров удаляется (до 15% в бутадиене). После реакции типично падение отношения M/Si, формально не коррелирующее с уходом линкера. При этом из анализа данных видно, что в целом N-линкер менее устойчив на поверхности SiO2, чем Р-линкер, а в Ir-катализаторах отрыв и N-, и P-линкера проходит легче, чем в Rh-системах. Сделанные наблюдения позволяют предполагать отрыв как свободных линкеров, так и линкеров, координированных к комплексу, причем для Ir отрыв протекает легче. Падение M/Si может быть объяснено как уходом комплекса, так и агломерацией активного компонента при разрушении комплекса с восстановлением до металла и формированием наночастиц. Последнее наблюдалось в явном виде для катализатора Rh–N в гидрировании пропина при 120°С по изменениям в спектре Rh3d [3], где в дополнение к компоненте Rh3d5/2 с энергией связи 309.7 эВ, относящейся к Rh1+, появляется состояние с положением 307.5 эВ, соответствующее металлу. Однако в целом можно предполагать, что и разрушение комплекса, и его отрыв вместе с линкером идут параллельно.
В реакции гидрирования пропина стабильность комплекса в катализаторах Rh–P и Ir–N несколько выше, чем в реакции гидрирования пропилена. Согласно результатам экспериментов в ячейке высокого давления, можно предполагать, что это связано с механизмом активации водорода, который приводит к разрушению комплекса. Если на начальном этапе происходит активация водорода с появлением активированного комплекса {M---H2}, который взаимодействует с C≡C-связью, а образующийся C=C-фрагмет блокирует активный центр для водорода, координируясь на нем и замедляя процесс разрушения комплекса. Кроме того, можно предполагать, что активированный водород от соседнего M из димера способен гидрировать С=С-фрагмент до уже неудерживаемого, некоординирующегося C–C-фрагмента. В случае гидрирования пропилена и бутадиена освобождение центра происходит сразу при гидрировании субстрата. Наличие активности [3] в реакции гидрирования пропина можно рассматривать как доказательство идеи об активации водорода на обоих центрах М из димера и переносе водорода между центрами М из димера.
Важное отличие гидрирования бутадиена состоит в том, что в случае Р-лиганда наблюдается наиболее интенсивное разложение комплекса (M/Cl > 2) из всей серии рассмотренных экспериментов по каталитическому тестированию (табл. 2), что сочетается с высокой конверсией (рис. 1) как для Ir, так и Rh. Координированный к N-линкеру комплекс стабилен (M/Cl = 1) (конверсия очень низка, а усиление сигнала ЯМР выше, чем в случае Р-линкера (рис. 1)) для обоих металлов. Можно предположить, что стабильность этого комплекса в случае гидрирования бутадиена связана с особенностями активации водорода, описанными выше, в экспериментах по восстановлению катализаторов в ячейке высокого давления. Также видно, что сохранение отношения M/Cl = 1 при протекании реакции гидрирования бутадиена сочетается с уменьшением отношения M/Si, что указывает на уход комплекса с поверхности без агломерации в результате разложения. Выраженным отличием образца Rh–N в гидрировании бутадиена является наличие усиление при 120°С ЯМР-сигнала (рис. 1) при низкой конверсии при этой же температуре, не наблюдавшееся при гидрировании пропилена и пропина [3]. В случае Р-линкера комплекс, наоборот, сильнее разрушается в бутадиене (табл. 2), что коррелирует с высокой конверсией (рис. 1). Сопоставление усиления ЯМР-сигнала и значений конверсии в зависимости природы субстрата (пропилен/бутадиен) для Rh–N-катализатора указывает на диаметрально противоположное его поведение в реакциях гидрирования этих углеводородов: наблюдается высокая конверсия при отсутствии усиления сигнала в случае пропилена [3] и низкая конверсия при наличии усиления в случае бутадиена (рис. 1). Таким образом, можно предполагать влияние субстрата на активацию водорода, например, подавление активации водорода на соседнем атоме димера.
Сопоставление данных о каталитическом поведении всех изученных систем для всех субстратов с атомным отношением M/Cl как индикатором сохранности структуры комплекса указывает на то, что сохранение комплекса (M/Cl = 1) коррелирует с высоким усилением ЯМР сигнала, а разрушение комплекса (M/Cl > 1) – с низким усилением и ростом конверсии. Формирование активированного комплекса {M---H2} подразумевает ослабление связи Cl с М, вплоть до удаления Cl и разрушения комплекса с восстановлением центрального иона до металла. Повышение эффективности процесса активации Н2 приводит к росту активности (конверсии). В целом, стабильность закрепленного комплекса {[M(COD)Cl]2–Линкер–SiO2} в процессе активации водорода является ключевым фактором в каталитическом поведении систем. Это объясняет влияние на каталитическое поведение как природы пары металл–линкер, силы связывания комплекса {[M(COD)Cl]2–Линкер} с поверхностью SiO2, так и природы гидрируемого субстрата. Именно поэтому не удается найти универсальный закрепленный катализатор, демонстрирующий высокое усиление ЯМР-сигнала и высокую селективность пара-присоединения п-Н2 в сочетании с высокой конверсией по всем субстратам.
ЗАКЛЮЧЕНИЕ
В работе исследована серия закрепленных катализаторов [M(COD)Cl]2–NH2–C3H6–SiO2 и [M(COD)Cl]2–P(Ph)2–C2H4–SiO2 (где M = Ir, Rh) в реакциях газофазного селективного гидрирования пропилена, пропина и 1,3-бутадиена с параводородом (п-H2). Анализ данных об атомных отношениях M/Cl для образцов до и после реакции при 120°С указывает на то, что сохранение комплекса (M/Cl = 1) коррелирует с высоким усилением ЯМР-сигнала, а разрушение комплекса (M/Cl > 1) – с низким усилением и ростом конверсии. При этом процесс активации водорода протекает по-разному с точки зрения глубины разрушения комплекса в зависимости от состава закрепленного комплекса. На основе сопоставления данных РФЭС и результатов каталитического тестирования показано, что стабильность закрепленного комплекса {[M(COD)Cl]2–Линкер–SiO2} в процессе активации водорода является ключевым фактором в каталитическом поведении систем, на которую оказывает влияние не только выбранные металл и линкер, но и природа субстрата.
ФИНАНСИРОВАНИЕ
Работа выполнена в Институте катализа СО РАН при финансовой поддержке Российского научного фонда (№ 19-13-00172-П).
КОНФЛИКТ ИНТЕРЕСОВ
Авторы заявляют об отсутствии конфликта интересов, требующего раскрытия в данной статье.
Сокращения и обозначения: ИППЯ – индуцированная параводородом поляризации ядер; п-H2 – параводород; ЯМР – ядерный магнитный резонанс; РФЭС – рентгеновская фото-электронная спектроскопия; СВВ – сверхвысокий вакуум.
Об авторах
А. В. Нартова
ФГБУН ФИЦ Институт катализа им. Г.К. Борескова СО РАН
Автор, ответственный за переписку.
Email: nartova@catalysis.ru
Россия, просп. Акад. Лаврентьева, 5, Новосибирск, 630090
Р. И. Квон
ФГБУН ФИЦ Институт катализа им. Г.К. Борескова СО РАН
Email: nartova@catalysis.ru
Россия, просп. Акад. Лаврентьева, 5, Новосибирск, 630090
Л. М. Ковтунова
ФГБУН ФИЦ Институт катализа им. Г.К. Борескова СО РАН
Email: nartova@catalysis.ru
Россия, просп. Акад. Лаврентьева, 5, Новосибирск, 630090
А. М. Дмитрачков
ФГБУН ФИЦ Институт катализа им. Г.К. Борескова СО РАН
Email: nartova@catalysis.ru
Россия, просп. Акад. Лаврентьева, 5, Новосибирск, 630090
И. В. Сковпин
ФГБУН ФИЦ Институт катализа им. Г.К. Борескова СО РАН; Международный томографический центр СО РАН
Email: nartova@catalysis.ru
Россия, просп. Акад. Лаврентьева, 5, Новосибирск, 630090; ул. Институтская, 3А, Новосибирск, 630090
В. И. Бухтияров
ФГБУН ФИЦ Институт катализа им. Г.К. Борескова СО РАН
Email: nartova@catalysis.ru
Россия, просп. Акад. Лаврентьева, 5, Новосибирск, 630090
Список литературы
- Fernando N.K., Cairns A.B., Murray C.A., Thompson A.L., Dickerson J.L, Garman E.F., Ahmed N., Ratclif L.E., Regoutz A. // J. Phys. Chem. A. 2021. V. 125. P. 7473. https://doi.org/10.1021/acs.jpca.1c05759
- Квон Р.И., Нартова А.В., Ковтунова Л.М., Бухтияров В.И. // ЖСХ. 2023. Т. 64. № 2. C. 106142. https://doi.org/10.26902/jsc_id106142
- Skovpin I.V., Kovtunova L.M., Nartova A.V., Kvon R.I., Bukhtiyarov V.I., Koptyug I.V. // Catal. Sci. Technol. 2022. V. 12. № 10. P. 3247. https://doi.org/10.1039/d1cy02258j
- Nartova A.V., Kvon R.I., Kovtunov, L.M., Skovpin I.V., Koptyug I.V., Bukhtiyarov V.I. // Int. J. Mol. Sci. 2023. V. 24. № 21. P. 15643. https://doi.org/10.3390/ijms242115643
- Bowers C.R., Weitekamp D.P. // J. Am. Chem. Soc. 1987. V. 109. P. 5541. https://doi.org/10.1021/ja00252a049
- Сковпин И.В., Свиязов С.В., Буруева Д.Б., Ковтунова Л.М., Нартова А.В., Квон Р.И., Бухтияров В.И., Коптюг И.В. // Докл. РАН. Химия, Науки о материалах. 2023. Т. 512. С. 120. https://doi.org/10.31857/S2686953522600933
- Immobilized Catalysts. Ed. Kirschning A. Berlin, Heidelberg, Springer Berlin Heidelberg, 2004. V. 242. 336 p.
- Can L., Yan L. Eds. Bridging Heterogeneous and Homogeneous Catalysis. Wiley-VCH Verlag GmbH & Co. KGaA, Weinheim, Germany, 2014.
- Рассолов А.В., Иванов Г.А., Брагина Г.О., Баева Г.Н., Смирнова Н.С., Казаков А.В., Усачев Н.Я., Стахеев А.Ю. // Кинетика и катализ. 2021. T. 62. № 5. C. 591. https://doi.org/10.31857/S0453881121050075
- Рассолов А.В., Брагина Г.О., Баева Г.Н., Машковский И.С., Смирнова Н.С., Герасимов Е.Ю., Бухтияров А.В., Зубавичус Я.В, Стахеев А.Ю. // Кинетика и катализ. 2022. T. 63. № 6. C. 798. https://doi.org/10.31857/S045388112005010X
- Помогайло А.Д., Калинина К.С., Голубева Н.Д., Джардималиева Г.И., Помогайло С.И., Кнерельман С.И., Протасова С.Г., Ионов А.М. // Кинетика и катализ. 2015. Т. 56. C. 704. https://doi.org/10.7868/S0453881115050159
- Motokura K., Ding S., Usui K., Kong Y. // ACS Catal. 2021. V. 11. P. 11985. https://doi.org/10.1021/acscatal.1c03426
- Esfandiari M., Havaei G., Zahiri S., Mohammadnezhad G. // Coord. Chem. Rev. 2022. V. 472. P. 214778. https://doi.org/10.1016/j.ccr.2022.214778
- Quignard F., Choplin A. Comprehensive Coordination Chemistry II, eBook, Elsevier. 2003. P. 445.
- Zhang J.F., Zhong R., Zhou Q., Hong X., Huang S., Cui H.Z., Hou X.F. // ChemCatChem. 2017.V. 9. P. 2496.
- Balcar H., Čejka J., Sedlaček J., Svoboda J., Zednik J., Bastl Z., Bosaček V., Vohlidal J. // J. Mol. Catal. A: Chem. 2003. V. 203. P. 287.
- Reinhard S., Šoba P., Rominger F., Blume J. // Adv. Synth. Catal. 2003. V. 345. P. 589.
- Arshad M., Ghiac M. // Appl. Catal. A: Gen. 2011. V. 399. P. 75.
- Gutmann T., Ratajczyk T., Xu Y., Breitzke H., Grunberg A., Dillenberger S., Bommerich U., Trantzschel T., Bernarding J., Buntkowsky G. // Solid State NMR. 2010. V. 38. № 4. P. 90. https://doi.org/10.1016/j.ssnmr.2011.03.001
- Duckett S.B., Mewis R.E. // Acc. Chem. Res. 2012. V. 45. P. 1247. https://doi.org/10.1021/ar2003094
- Eills J., Budker D., Cavagnero S., Chekmenev E.Y., Elliot S.J., Jannin S., Lesage A., Matysik J., Meersmann T., Prisner T., Reimer J.A., Yang H., Koptyug I.V. // Chem. Rev. 2023. V. 123. P. 1417. https://doi.org/10.1021/acs.chemrev.2c00534
- Freakley S.J., Ruiz-Esquius J., Morgan D.J. // Surface and Interface Analysis, 2017. V. 49. № 8. P. 794. https://doi.org/10.1002/sia.6225
- Смирнов М.Ю., Ковтунова Л.М., Калинкин А.В., Сковпин И.В., Коптюг И.В., Бухтияров В.И. // Кинетика и катализ. 2023. T. 64. № 6. C. 1.
- Giordano G., Crabtree R.H., Heintz R.M., Forster D., Morris D.E. / Inorganic syntheses. Ed. Shriver D.F. Wiley, 1979. V. XIX. P. 218.
- Moulder J.F., Stckle W.F., Sobol P.E., Bomben K.D. // Handbook of X-Ray Photoelectron Spectroscopy, Eden Prairie. MN: Perkin-Elmer, 1992, 261 p.
- Tougaard QUASES-IMFP-TPP2M Ver 2.2 Calculation of inelastic electron mean free path. http://www.quases.com/products/quases-imfp-tpp2m/
Дополнительные файлы





