Тест-система на основе конкурентного иммуноферментного анализа для выявления антител к вирусу бешенства животных (Rhabdoviridae: Lyssavirus)
- Авторы: Лобанова В.А.1,2, Царькова К.Н.1, Богомолова О.А.1, Матвеева И.Н.1, Клюкина В.И.1
-
Учреждения:
- ФГБНУ «Всероссийский научно-исследовательский и технологический институт биологической промышленности»
- ФГБОУ ВО «Российский государственный аграрный университет – МСХА имени К.А. Тимирязева»
- Выпуск: Том 67, № 4 (2022)
- Страницы: 331-340
- Раздел: ОРИГИНАЛЬНЫЕ ИССЛЕДОВАНИЯ
- URL: https://journal-vniispk.ru/0507-4088/article/view/118240
- DOI: https://doi.org/10.36233/0507-4088-127
- ID: 118240
Цитировать
Полный текст
Аннотация
Введение. Основным направлением профилактики бешенства является вакцинация домашних и диких плотоядных животных. Для рутинной оценки эффективности антирабической вакцинации Международным эпизоотическим бюро (МЭБ) рекомендован иммуноферментный анализ (ИФА). Актуальной задачей остаётся разработка модификаций ИФА с большей диагностической специфичностью (ДС) и чувствительностью (ДЧ).
Цель работы – конструирование и валидация тест-системы на основе конкурентного ИФА (кИФА) для выявления антител к вирусу бешенства (ВБ).
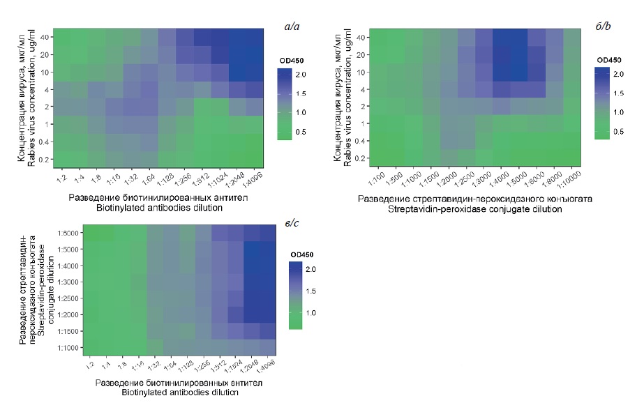
Материалы и методы. Разработку тест-системы проводили в соответствии с рекомендациями МЭБ. Определяли дозу ВБ для сенсибилизации планшетов, состав блокирующего буфера; оптимальные разведения компонентов; порядок интерпретации результатов ИФА.
Результаты. Повторяемость результатов кИФА в рамках одной лаборатории была удовлетворительной: коэффициент вариации – 7,95–13,61%, коэффициент детерминации (КД) между результатами реакции нейтрализации (FAVN) и кИФА – 0,988, p < 0,001. Нижний порог обнаружения антител составил менее 0,02 МЕ/мл. Разработанная тест-система не демонстрировала кросс-реактивности в отношении антител к вирусу чумы плотоядных, вирусу парагриппа, парвовирусу, коронавирусу, аденовирусу собак (I и II серотипа). При исследовании 137 сывороток крови собак ДС и ДЧ кИФА составили 83,1 и 94,9% соответственно, КД между результатами кИФА и FAVN – 0,968, p < 0,001.
Обсуждение. Диагностикумы для определения уровня антител к ВБ на основе непрямого ИФА недостаточно чувствительны по сравнению с референс-тестами. Оптимальным решением являются варианты кИФА с применением биотинилированных антител. Разработанная тест-система по ДС и ДЧ не уступает коммерческой тест-системе кИФА BioPro ELISA Rabies Ab: ДС 66,7%, ДЧ 94,4%.
Заключение. Таким образом, разработанная тест-система на основе кИФА может быть использована для выявления антител к ВБ в сыворотке крови собак при оценке эффективности программ массовой вакцинации.
Полный текст
Открыть статью на сайте журналаОб авторах
Варвара Андреевна Лобанова
ФГБНУ «Всероссийский научно-исследовательский и технологический институт биологической промышленности»; ФГБОУ ВО «Российский государственный аграрный университет – МСХА имени К.А. Тимирязева»
Автор, ответственный за переписку.
Email: varvara.ustinova1995@gmail.com
ORCID iD: 0000-0001-9757-784X
SPIN-код: 4888-9180
аспирант отдела иммунологии Всероссийского научно-исследовательского и технологического института биологической промышленности (ФГБНУ ВНИТИБП); ассистент кафедры биотехнологии Российского государственного аграрного университета – МСХА имени К.А. Тимирязева
Россия, 141142, Московская область, г.о. Лосино-Петровский; 127434, г. МоскваКристина Николаевна Царькова
ФГБНУ «Всероссийский научно-исследовательский и технологический институт биологической промышленности»
Email: car-cristina@rambler.ru
ORCID iD: 0000-0003-0694-9834
младший научный сотрудник отдела иммунологии
Россия, 141142, Московская область, г.о. Лосино-ПетровскийОлеся Анатольевна Богомолова
ФГБНУ «Всероссийский научно-исследовательский и технологический институт биологической промышленности»
Email: noo_vnitibp@mail.ru
ORCID iD: 0000-0001-6442-226X
SPIN-код: 3155-3489
кандидат биологических наук, старший научный сотрудник отдела иммунологии
Россия, 141142, Московская область, г.о. Лосино-ПетровскийИрина Николаевна Матвеева
ФГБНУ «Всероссийский научно-исследовательский и технологический институт биологической промышленности»
Email: biolog1967@mail.ru
ORCID iD: 0000-0003-0849-2524
SPIN-код: 6054-5026
доктор биологических наук, профессор, заведующая отделом молекулярной биологии и вирусологии
Россия, 141142, Московская область, г.о. Лосино-ПетровскийВалентина Ивановна Клюкина
ФГБНУ «Всероссийский научно-исследовательский и технологический институт биологической промышленности»
Email: klyukinavi@yandex.ru
ORCID iD: 0000-0002-4295-1424
SPIN-код: 6675-9170
доктор биологических наук, профессор, заведующая отделом иммунологии
Россия, 141142, Московская область, г.о. Лосино-ПетровскийСписок литературы
- OIE Manual of Diagnostic Tests and Vaccines for Terrestrial Animals – 2018. Chapter 3.1.17. Rabies (infection with Rabies virus and other Lyssaviruses). Available at: https://www.woah.org/fileadmin/Home/eng/Health_standards/tahm/3.01.17_RABIES.pdf
- Караулов А.К., Варкентин А.В., Петрова О.Н., Таценко Е.Е., Семёнова Н.А., Щербин С.В. и др. Отчет по эпизоотической ситуации в РФ за 2021 г. Available at: https://fsvps.gov.ru/sites/default/files/files/iac/2022/2021_31_12_godovoy_otchet.pdf
- Лобанова В.А., Клюкина В.И. Биотехнологические аспекты совершенствования методов выявления антител к вирусу бешенства животных. Вестник биотехнологии и физико-химической биологии им. Ю. А. Овчинникова. 2021; 17(1): 62–75.
- Sugiyama M., Yoshiki R., Tatsuno Y., Hiraga S., Itoh O., Gamoh K., et al. A new competitive enzyme-linked immunosorbent assay demonstrates adequate immune levels to rabies virus in compulsorily vaccinated Japanese domestic dogs. Clin. Diagn. Lab. Immunol. 1997; 4(6): 727–30. https://doi.org/10.1128/cdli.4.6.727-730.1997
- Bedeković T., Šimić I., Krešić N., Lojkić I., Mihaljević Ž., Sučec I., et al. Evaluation of ELISA for the detection of rabies virus antibodies from the thoracic liquid and muscle extract samples in the monitoring of fox oral vaccination campaigns. BMC Vet. Res. 2016; 12: 76. https://doi.org/10.1186/s12917-016-0701-0
- Mojžiš M., Korytár P., Jerg S. Development and validation of ELISA test for detection of rabies anti-glycoprotein antibodies. In: Proceedings of the International Conference on Rabies in the Americas (RITA XIX). Atlanta; 2008: 48–9.
- Wasniewski M., Cliquet F. Evaluation of ELISA for detection of rabies antibodies in domestic carnivores. J. Virol. Methods. 2012; 179(1): 166–75. https://doi.org/10.1016/j.jviromet.2011.10.019
- Wasniewski M., Almeida I., Baur A., Bedekovic T., Boncea D., Chaves L.B., et al. First international collaborative study to evaluate rabies antibody detection method for use in monitoring the effectiveness of oral vaccination programmes in fox and raccoon dog in Europe. J. Virol. Methods. 2016; 238: 77–85. https://doi.org/10.1016/j.jviromet.2016.10.006
- Лобанова В.А., Клюкина В.И. Получение компонентов тест-системы на основе конкурентного иммуноферментного анализа для выявления антител к вирусу бешенства. Ветеринарный врач. 2022; (2): 29–39. https://doi.org/10.33632/1998-698X.2022_29_39
- Burns R., ed. Immunochemical Protocols. Totowa, NJ: Humana Press; 2005.
- Gibbs J., Vessels M., Rothenberg M. Effective blocking procedures in ELISA assays. Application note. Available at: https://www.corning.com/catalog/cls/documents/application-notes/CLS-DD-AN-456.pdf
- Новиков Д.А., Новочадов В.В. Статистические методы в медико-биологическом эксперименте (типовые случаи). Волгоград; 2005.
- Esterhuysen J.J., Prehaud C., Thomson G.R. A liquid-phase blocking ELISA for the detection of antibodies to rabies virus. J. Virol. Methods. 1995; 51(1): 31–42. https://doi.org/10.1016/0166-0934(94)00098-2
- Хисматуллина Н.А., Гулюкин А.М., Сабирова В.В., Гафарова А.З., Елаков А.Л. Разработка и применение блок-иммуноферментной тест-системы для контроля эффективности вакцинопрофилактики бешенства. Ветеринарная медицина. 2012; (96): 64–6.
- Aronthippaitoon Y., Samer W., Atuntee T., Thananchai H., Thongkorn K., Pongsopawijit P., et al. A cost effective easy competitive enzyme-linked immunosorbent assay suitable for monitoring protective immunity against the rabies virus in the serum of humans and dogs. Jpn J. Infect. Dis. 2019; 72(2): 99–105. https://doi.org/10.7883/yoken.JJID.2018.248
- Fontana D., Rodriguez M.C., Garay E., Russo S., Prieto C. Optimization and validation of a blocking ELISA for quantitation of anti-rabies immunoglobulins in multispecies sera. Appl. Microbiol. Biotechnol. 2020; 104(9): 4127–39. https://doi.org/10.1007/s00253-020-10490-6
- Zhang S., Liu Y., Zhang F., Hu R. Competitive ELISA using a rabies glycoprotein-transformed cell line to semi-quantify rabies neutralizing-related antibodies in dogs. Vaccine. 2009; 27(15): 2108–13. https://doi.org/10.1016/j.vaccine.2009.01.126
- Korimbocus J., Dehay N., Tordo N., Cano F., Morgeaux S. Development and validation of a quantitative competitive ELISA for potency testing of equine anti rabies sera with other potential use. Vaccine. 2016; 34(28): 3310–6. https://doi.org/10.1016/j.vaccine.2016.04.086
- Muhamuda K., Madhusudana S.N., Ravi V. Development and evaluation of a competitive ELISA for estimation of rabies neutralizing antibodies after post-exposure rabies vaccination in humans. Int. J. Infect. Dis. 2007; 11(5): 441–5. https://doi.org/10.1016/j.ijid.2006.09.013
- Servat A., Cliquet F. OIE Reference Laboratory for Rabies; WHO. Collaborative study to evaluate a new ELISA test to monitor the effectiveness of rabies vaccination in domestic carnivores. Virus. Res. 2006; 120(1-2): 17–27. https://doi.org/10.1016/j.virusres.2006.02.011
- Wasniewski M., Labbe A., Tribout L., Rieder J., Labadie A., Schereffer J.L., et al. Evaluation of a rabies ELISA as an alternative method to seroneutralisation tests in the context of international trade of domestic carnivores. J. Virol. Methods. 2014; 195: 211–20. https://doi.org/10.1016/j.jviromet.2013.10.021
- Feyssaguet M., Dacheux L., Audry L., Compoint A., Morize J.L., Blanchard I., et al. Multicenter comparative study of a new ELISA, PLATELIA RABIES II, for the detection and titration of anti-rabies glycoprotein antibodies and comparison with the rapid fluorescent focus inhibition test (RFFIT) on human samples from vaccinated and non-vaccinated people. Vaccine. 2007; 25(12): 2244–51. https://doi.org/10.1016/j.vaccine.2006.12.012
- Welch R.J., Anderson B.L., Litwin C.M. An evaluation of two commercially available ELISAs and one in-house reference laboratory ELISA for the determination of human anti-rabies virus antibodies. J. Med. Microbiol. 2009; 58(Pt. 6): 806–10. https://doi.org/10.1099/jmm.0.006064-0
- Cliquet F., McElhinney L.M., Servat A., Boucher J.M., Lowings J.P., Goddard T., et al. Development of a qualitative indirect ELISA for the measurement of rabies virus-specific antibodies from vaccinated dogs and cats. J. Virol. Methods. 2004; 117(1): 1–8. https://doi.org/10.1016/j.jviromet.2003.12.001
Дополнительные файлы







